Low Power Wide Area Networks (LPWAN) at Sea: Performance Analysis of Offshore Data Transmission by Means of LoRaWAN Connectivity for Marine Monitoring Applications
Abstract
1. Introduction
2. Related Works
LoRa Transmission over Water Basins
3. Application Scenario
4. Transmission Channel Analysis
4.1. Link Budget
4.2. Fresnel Zone
5. Data Transmission Tests
5.1. Test String Selection
5.2. End Node Installation
5.3. Gateways Installation
5.4. Measurements
- Antennas on both the sides were not installed by making use of overhead spots in order to limit the complexity related to their installation which was thought to be only a temporary one;
- As a direct consequence of the last point, only a limited clearance of the first Fresnel zone (far from being the ) was available;
- For the transmission the bigger CR was adopted which might had caused the loss of some packets due to the inability of the Gateways to restore corrupted data.
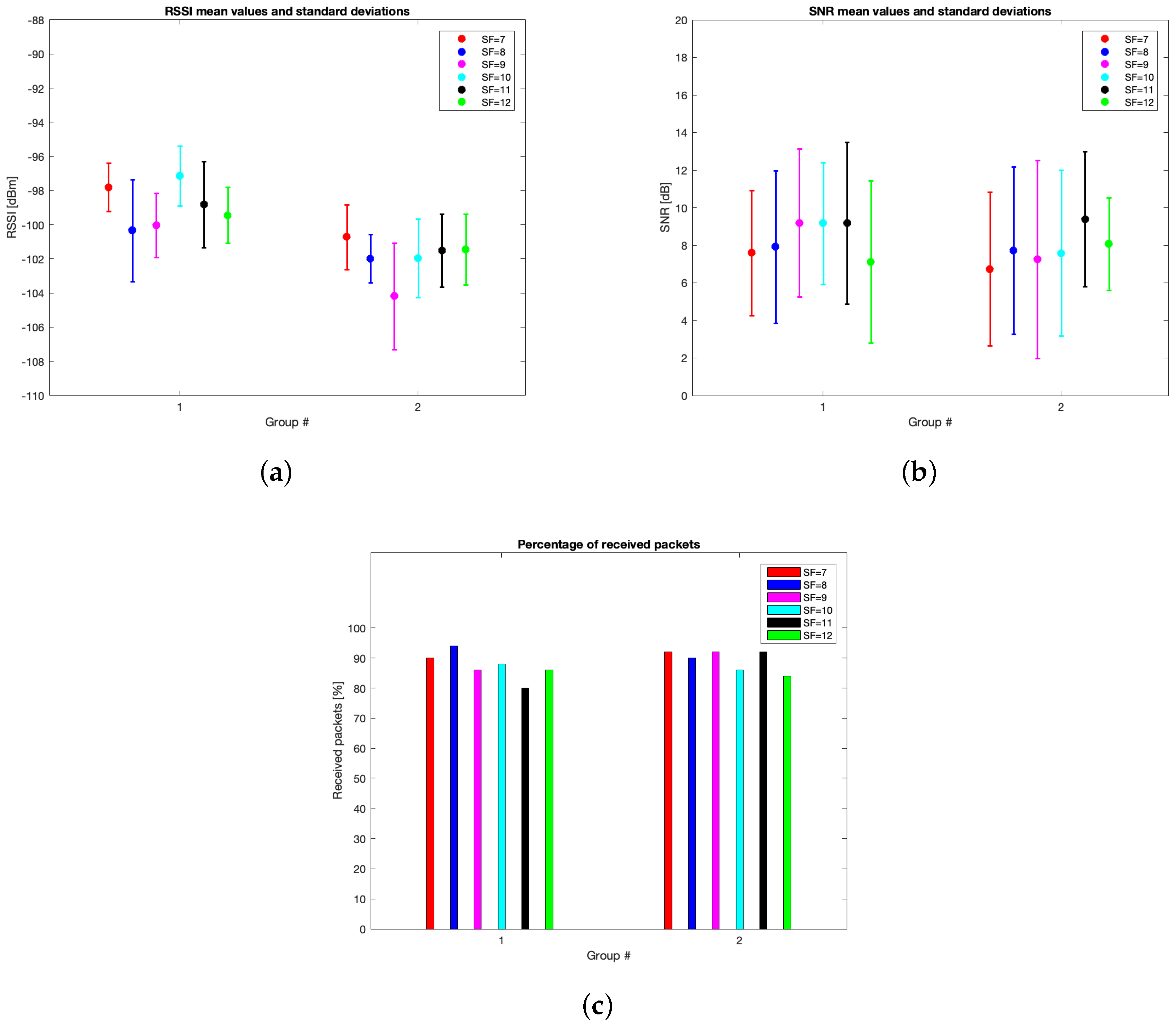
6. Results and Discussion
6.1. Group Specific Discussion
6.1.1. Group
6.1.2. Group
6.2. Overall Discussion
Groups Comparison
- Such a SF provided acceptable rates of received packets even though it was not the best one;
- In both groups and it turned out in having some of the best RSSI mean values and standard deviations, as well as satisfactory SNR statistics. While the differences among the RSSI values achieved using the different SFs can be attributed more to statistic fluctuations rather than to actual better performances, mostly due to the small number of transmitted packets, it is however possible to state that in the proposed conditions the performances of the six SFs are almost comparable, and do not suggest any particular choice in this sense;
- Its most important feature for the application scenario is that it is the SF ensuring the shortest ToA for the same packet length thus reducing power requirements.
7. Conclusions
Author Contributions
Funding
Acknowledgments
Conflicts of Interest
References
- Centenaro, M.; Vangelista, L.; Zanella, A.; Zorzi, M. Long-range communications in unlicensed bands: The rising stars in the IoT and smart city scenarios. IEEE Wirel. Commun. 2016, 23, 60–67. [Google Scholar] [CrossRef]
- Magrin, D.; Centenaro, M.; Vangelista, L. Performance evaluation of LoRa networks in a smart city scenario. In Proceedings of the 2017 IEEE International Conference on Communications (ICC), Paris, France, 21–25 May 2017; pp. 1–7. [Google Scholar]
- Cerchecci, M.; Luti, F.; Mecocci, A.; Parrino, S.; Peruzzi, G.; Pozzebon, A. A low power IoT sensor node architecture for waste management within smart cities context. Sensors 2018, 18, 1282. [Google Scholar] [CrossRef] [PubMed]
- Petajajarvi, J.; Mikhaylov, K.; Hamalainen, M.; Iinatti, J. Evaluation of LoRa LPWAN technology for remote health and wellbeing monitoring. In Proceedings of the 2016 10th International Symposium on Medical Information and Communication Technology (ISMICT), Worcester, MA, USA, 20–23 March 2016; pp. 1–5. [Google Scholar]
- Song, Y.; Lin, J.; Tang, M.; Dong, S. An Internet of energy things based on wireless LPWAN. Engineering 2017, 3, 460–466. [Google Scholar] [CrossRef]
- Addabbo, T.; Fort, A.; Mugnaini, M.; Panzardi, E.; Pozzebon, A.; Vignoli, V. A city-scale IoT architecture for monumental structures monitoring. Measurement 2019, 131, 349–357. [Google Scholar] [CrossRef]
- Hernandez, D.M.; Peralta, G.; Manero, L.; Gomez, R.; Bilbao, J.; Zubia, C. Energy and coverage study of LPWAN schemes for Industry 4. In Proceedings of the 2017 IEEE International Workshop of Electronics, Control, Measurement, Signals and their Application to Mechatronics (ECMSM), San Sebastian, Spain, 24–26 May 2017; pp. 1–6. [Google Scholar]
- Rizzi, M.; Ferrari, P.; Flammini, A.; Sisinni, E.; Gidlund, M. Using LoRa for industrial wireless networks. In Proceedings of the 2017 IEEE 13th International Workshop on Factory Communication Systems (WFCS), Trondheim, Norway, 31 May–2 June 2017; pp. 1–4. [Google Scholar]
- Addabbo, T.; Fort, A.; Mugnaini, M.; Parri, L.; Parrino, S.; Pozzebon, A.; Vignoli, V. An IoT Framework for the Pervasive Monitoring of Chemical Emissions in Industrial Plants. In Proceedings of the 2018 Workshop on Metrology for Industry 4.0 and IoT, Brescia, Italy, 16–18 April 2018; pp. 269–273. [Google Scholar]
- Kang, J.J.; Khodasevych, I.; Adibi, S. A disaster recovery system for location identification-based low power wide area networks (LPWAN). In Proceedings of the 2017 27th International Telecommunication Networks and Applications Conference (ITNAC), Melbourne, Australia, 22–24 November 2017; pp. 1–6. [Google Scholar]
- Awadallah-Estevez, S.; Moure-Garcia, A.D.; Torres-Gonzalez, P.; Villasante-Marcos, V. An Internet of Things (IoT) application on volcano monitoring. EGU Gen. Assem. Conf. Abstr. 2018, 20, 14344. [Google Scholar]
- Hristov, G.; Raychev, J.; Kinaneva, D.; Zahariev, P. Emerging Methods for Early Detection of Forest Fires Using Unmanned Aerial Vehicles and Lorawan Sensor Networks. In Proceedings of the 2018 28th EAEEIE Annual Conference (EAEEIE), Reykjavik, Iceland, 26–28 September 2018; pp. 1–9. [Google Scholar]
- Jalaian, B.; Gregory, T.; Suri, N.; Russell, S.; Sadler, L.; Lee, M. Evaluating LoRaWAN-based IoT devices for the tactical military environment. In Proceedings of the 2018 IEEE 4th World Forum on Internet of Things (WF-IoT), Singapore, 5–8 February 2018; pp. 124–128. [Google Scholar]
- Abrardo, A.; Pozzebon, A. A Multi-Hop LoRa Linear Sensor Network for the Monitoring of Underground Environments: The Case of the Medieval Aqueducts in Siena, Italy. Sensors 2019, 19, 402. [Google Scholar] [CrossRef] [PubMed]
- Grunwald, A.; Schaarschmidt, M.; Westerkamp, C. LoRaWAN in a rural context: Use cases and opportunities for agricultural businesses. In Proceedings of the Mobile Communication-Technologies and Applications; 24. ITG-Symposium, Osnabrueck, Germany, 15–16 May 2019; pp. 1–6. [Google Scholar]
- Haxhibeqiri, J.; De Poorter, E.; Moerman, I.; Hoebeke, J. A survey of lorawan for iot: From technology to application. Sensors 2018, 18, 3995. [Google Scholar] [CrossRef] [PubMed]
- Petajajarvi, J.; Mikhaylov, K.; Roivainen, A.; Hanninen, T.; Pettissalo, M. On the coverage of LPWANs: Range evaluation and channel attenuation model for LoRa technology. In Proceedings of the 2015 14th International Conference on ITS Telecommunications (ITST), Copenhagen, Denmark, 2–4 December 2015; pp. 55–59. [Google Scholar]
- Petajajarvi, J.; Mikhaylov, K.; Pettissalo, M.; Janhunen, J.; Iinatti, J. Performance of a low-power wide-area network based on LoRa technology: Doppler robustness, scalability, and coverage. Int. J. Distrib. Sens. Netw. 2017, 13. [Google Scholar] [CrossRef]
- Sanchez-Iborra, R.; Sanchez-Gomez, J.; Ballesta-Vinas, J.; Cano, M.D.; Skarmeta, A. Performance evaluation of LoRa considering scenario conditions. Sensors 2018, 18, 772. [Google Scholar] [CrossRef] [PubMed]
- Aref, M.; Sikora, A. Free space range measurements with Semtech LoRaTM technology. In Proceedings of the 2014 2nd International Symposium on Wireless Systems within the Conferences on Intelligent Data Acquisition and Advanced Computing Systems, Offenburg, Germany, 11–12 September 2014; pp. 19–23. [Google Scholar]
- Wixted, A.J.; Kinnaird, P.; Larijani, H.; Tait, A.; Ahmadinia, A.; Strachan, N. Evaluation of LoRa and LoRaWAN for wireless sensor networks. In Proceedings of the 2016 IEEE SENSORS, Orlando, FL, USA, 30 October–2 November 2016; pp. 1–3. [Google Scholar]
- Pasolini, G.; Buratti, C.; Feltrin, L.; Zabini, F.; De Castro, C.; Verdone, R.; Andrisano, O. Smart city pilot projects using LoRa and IEEE802. 15.4 technologies. Sensors 2018, 18, 1118. [Google Scholar] [CrossRef] [PubMed]
- Radcliffe, P.J.; Chavez, K.G.; Beckett, P.; Spangaro, J.; Jakob, C. Usability of LoRaWAN technology in a central business district. In Proceedings of the 2017 IEEE 85th Vehicular Technology Conference (VTC Spring), Sydney, Australia, 4–7 June 2017; pp. 1–5. [Google Scholar]
- Reda, H.T.; Daely, P.T.; Kharel, J.; Shin, S.Y. On the application of IoT: Meteorological information display system based on LoRa wireless communication. IETE Tech. Rev. 2018, 35, 256–265. [Google Scholar] [CrossRef]
- Wendt, T.; Volk, F.; Mackensen, E. A benchmark survey of long range (LoRaTM) spread-spectrum-communication at 2.45 GHz for safety applications. In Proceedings of the 2015 IEEE 16th Annual Wireless and Microwave Technology Conference (WAMICON), Cocoa Beach, FL, USA, 13–15 April 2015; pp. 1–4. [Google Scholar]
- Jovalekic, N.; Drndarevic, V.; Darby, I.; Zennaro, M.; Pietrosemoli, E.; Ricciato, F. LoRa transceiver with improved characteristics. IEEE Wirel. Commun. Lett. 2018, 7, 1058–1061. [Google Scholar] [CrossRef]
- Li, L.; Ren, J.; Zhu, Q. On the application of LoRa LPWAN technology in Sailing Monitoring System. In Proceedings of the 2017 13th Annual Conference on Wireless On-Demand Network Systems and Services (WONS), Jackson, WY, USA, 21–24 February 2017; pp. 77–80. [Google Scholar]
- Cui, Y.; Liu, H.; Zhang, M.; Stankovski, S.; Feng, J.; Zhang, X. Improving Intelligence and Efficiency of Salt Lake Production by Applying a Decision Support System Based on IOT for Brine Pump Management. Electronics 2018, 7, 147. [Google Scholar] [CrossRef]
- Pramunanto, E.; Ulfa, M.; Kurniawan, A. Coast Panic-Emergency Situation Monitoring System on West and East Sailing Lane of Surabaya Using LORAWAN Technology. In Proceedings of the 2018 International Conference on Computer Engineering, Network and Intelligent Multimedia (CENIM), Surabaya, Indonesia, 26–27 November 2018; pp. 100–105. [Google Scholar]
- Sanchez-Iborra, R.; Liano, I.G.; Simoes, C.; Counago, E.; Skarmeta, A. Tracking and Monitoring System Based on LoRa Technology for Lightweight Boats. Electronics 2019, 8, 15. [Google Scholar] [CrossRef]
- Agbuya, F.; Apolinario, G.F.; Ramos, D.M.; Villanueva, J.M.; Zafe, P.; Hernandez, J.A.; Coquia, J. Design of a Real-Time Ocean Data-Logging Drifter Thru CLOUD Technology for Collecting Tidal Parameters. In Proceedings of the TENCON 2018—2018 IEEE Region 10 Conference, Jeju, Korea, 28–31 October 2018; pp. 0844–0849. [Google Scholar]
- Jovalekic, N.; Drndarevic, V.; Pietrosemoli, E.; Darby, I.; Zennaro, M. Experimental Study of LoRa Transmission over Seawater. Sensors 2018, 18, 2853. [Google Scholar] [CrossRef] [PubMed]
- LoRa Alliance. LoRaWAN 1.0.3 Regional Parameters 2018. Available online: https://lora-alliance.org/sites/default/files/2018-07/lorawan_regional_parameters_v1.0.3reva_0.pdf (accessed on 22 June 2018).
- Seybold, J.S. Introduction to RF Propagation; John Wiley & Sons: Hoboken, NY, USA, 2005. [Google Scholar]
- Shenzhen Rakwireless Technology Co., Ltd. RAK831 Lora Gateway Datasheet V1.3 2017. Available online: http://docs.rakwireless.com/en/LoRa/RAK831-LoRa-Gateway/Hardware-Specification/RAK831%20Datasheet%20V1.3.pdf (accessed on 22 June 2018).
- Zennaro, M.; Rainone, M.; Pietrosemoli, E. Radio Link Planning made easy with a Telegram Bot. In Proceedings of the International Conference on Smart Objects and Technologies for Social Good, Venice, Italy, 30 November–1 December 2016; pp. 295–304. [Google Scholar]


















| Point | Latitude [°] | Longitude [°] |
|---|---|---|
| A | ||
| B |
| Group | [m] | [m] | SFs | Transmitted Packets | [km] |
|---|---|---|---|---|---|
| 300 | |||||
| 300 |
| Quantity | Value |
|---|---|
| m | |
| H | m |
| dB | |
| dBm | |
| dBm | |
| D | km |
| Group | [%] |
|---|---|
| SF | [dBm] | [dBm] | [dB] | [dB] | Received Packets |
|---|---|---|---|---|---|
| 7 | 45 | ||||
| 8 | 47 | ||||
| 9 | 43 | ||||
| 10 | 44 | ||||
| 11 | 40 | ||||
| 12 | 43 |
| SF | [dBm] | [dBm] | [dB] | [dB] | Received Packets |
|---|---|---|---|---|---|
| 7 | 46 | ||||
| 8 | 45 | ||||
| 9 | 46 | ||||
| 10 | 43 | ||||
| 11 | 46 | ||||
| 12 | 42 |
© 2019 by the authors. Licensee MDPI, Basel, Switzerland. This article is an open access article distributed under the terms and conditions of the Creative Commons Attribution (CC BY) license (http://creativecommons.org/licenses/by/4.0/).
Share and Cite
Parri, L.; Parrino, S.; Peruzzi, G.; Pozzebon, A. Low Power Wide Area Networks (LPWAN) at Sea: Performance Analysis of Offshore Data Transmission by Means of LoRaWAN Connectivity for Marine Monitoring Applications. Sensors 2019, 19, 3239. https://doi.org/10.3390/s19143239
Parri L, Parrino S, Peruzzi G, Pozzebon A. Low Power Wide Area Networks (LPWAN) at Sea: Performance Analysis of Offshore Data Transmission by Means of LoRaWAN Connectivity for Marine Monitoring Applications. Sensors. 2019; 19(14):3239. https://doi.org/10.3390/s19143239
Chicago/Turabian StyleParri, Lorenzo, Stefano Parrino, Giacomo Peruzzi, and Alessandro Pozzebon. 2019. "Low Power Wide Area Networks (LPWAN) at Sea: Performance Analysis of Offshore Data Transmission by Means of LoRaWAN Connectivity for Marine Monitoring Applications" Sensors 19, no. 14: 3239. https://doi.org/10.3390/s19143239
APA StyleParri, L., Parrino, S., Peruzzi, G., & Pozzebon, A. (2019). Low Power Wide Area Networks (LPWAN) at Sea: Performance Analysis of Offshore Data Transmission by Means of LoRaWAN Connectivity for Marine Monitoring Applications. Sensors, 19(14), 3239. https://doi.org/10.3390/s19143239

