Experimental Study on Damage Detection in ECC-Concrete Composite Beams Using Piezoelectric Transducers
Abstract
1. Introduction
2. PZT Sensing Methodology for SHM
3. Experimental Program
3.1. Material Properties
3.2. The Test Specimens
3.3. Test Description
4. Test Results and Discussion
4.1. Flexural Behavior
4.2. Measured Conductance Signatures
- (1)
- The intact beam before applying bending loads is defined as “healthy state (D0)”;
- (2)
- At midspan deflection δ = 3 mm before the yielding point of steel reinforcement, which relate to a deflection ductility μδ = 0.48 and μδ = 0.45 for BE1 and BE2, respectively (μδ = δ/δy, the midspan deflections related to yielding point δy are 6.2 mm and 6.7 mm for BE1 and BE2 as shown in Table 2). This state is defined as “damage level 1 (D1)”.
- (3)
- At midspan deflection δ=12.4 and 13.4 mm after steel yielding for BE1 and BE2, that corresponded to μδ = 2.0 are defined as “damage level 2 (D2)”, and at the same way, δ = 18.6 and 20.1 mm corresponded to μδ = 3.0 for BE1 and BE2, respectively, are defined as “damage level 3 (D3)”.
5. Conclusions
- (1)
- The ECC layer in the RC beams significantly increases the ultimate deflection due to its unique high ductility, which is beneficial to the structural safety.
- (2)
- The maximum crack width is less than 0.08 mm and a small crack spacing of 3-6 mm is observed in this work, which demonstrates that the development of cracks in ECC-concrete composite beams is well controlled due to the fiber bridging effect of ECC materials. This is very helpful to prevent corrosion of steel reinforcements, in particular for aggressive environments.
- (3)
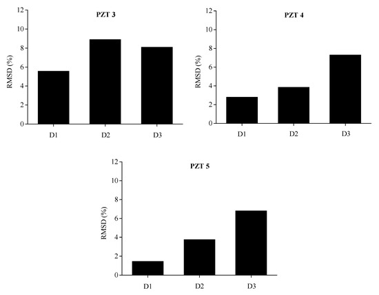
- Damage detection has been successfully implemented using the statistical scalar index RMSD, which is calculated from the variations of PZT conductance measurements. The upwards trending of RMSD value confirms the increase of damage severity in the host concrete beam.
- (4)
- The location of the occurred damages are also estimated by using an array of PZT sensors externally bonded on the ECC layer, since the RMSD value of PZT transducer placed near the region of higher damage severity is higher than those for other PZT sensors.
Author Contributions
Funding
Conflicts of Interest
References
- Li, V.C.; Mishra, D.K.; Wu, C. Matrix design for pseudo strain-hardening fiber reinforced cementitious composites. Mater. Struct. 1995, 28, 586–595. [Google Scholar] [CrossRef]
- Li, V.C.; Wang, S.; Wu, C. Tensile strain-hardening behavior of polyvinyl alcohol engineered cementitious composite (PVA-ECC). ACI Mater. J. 2001, 98, 483–492. [Google Scholar]
- Fischer, G.; Li, V.C. Design of engineered cementitious composites (ECC) for processing and workability requirement. Brittle Matrix Compos. 2003, 7, 29–36. [Google Scholar]
- Wang, S.; Li, V.C. Polyvinyl alcohol fiber reinforced engineered cementitious composites: Material design and performances. Available online: http://citeseerx.ist.psu.edu/viewdoc/download?doi=10.1.1.67.4523&rep=rep1&type=pdf (accessed on 22 June 2019).
- Zhang, Z.G.; Yuvaraj, A.; Di, J.; Qian, S.Z. Matrix design of light weight, high strength, high ductility ECC. Constr. Build. Mater. 2019, 210, 188–197. [Google Scholar] [CrossRef]
- Kim, D.J.; Naaman, A.E.; El-Tawil, S. Comparative flexural behavior of four fiber reinforced cementitious composites. Cem. Concr. Compos. 2008, 30, 917–928. [Google Scholar] [CrossRef]
- Blunt, J.D.; Ostertag, C.P. Deflection hardening and workability of hybrid fiber composites. ACI Mater. J. 2009, 106, 265–272. [Google Scholar]
- Zhang, J.; Leung, C.K.Y.; Gao, Y. Simulation of crack propagation of fiber reinforced cementitious composite under direct tension. Eng. Fract. Mech. 2011, 78, 2439–2454. [Google Scholar] [CrossRef]
- Yuan, F.; Pan, J.L.; Wu, Y.F. Numerical study on flexural behaviors of steel reinforced engineered cementitious composite (ECC) and ECC concrete composite beams. Sci. China Technol. Sci. 2014, 57, 637–645. [Google Scholar] [CrossRef]
- Xu, S.; Hou, L.; Zhang, X. Flexural and shear behaviors of reinforced ultrahigh toughness cementitious composite beams without web reinforcement under concentrated load. Eng. Struct. 2012, 39, 176–186. [Google Scholar] [CrossRef]
- Khan, M.I.; Abbass, W. Flexural behavior of high-strength concrete beams reinforced with a strain hardening cement-based composite layer. Constr. Build. Mater. 2016, 125, 927–935. [Google Scholar] [CrossRef]
- Meng, D.; Lee, C.K.; Zhang, Y.X. Flexural and shear behaviours of plain and reinforced polyvinylalcohol-engineered cementitious composite beams. Eng. Struct. 2017, 151, 261–272. [Google Scholar] [CrossRef]
- Zhang, Z.G.; Qian, S.Z.; Ma, H. Investigating mechanical properties and self-healing behavior of micro-cracked ECC with different volume of fly Ash. Constr. Build. Mater. 2014, 52, 17–23. [Google Scholar] [CrossRef]
- Zhang, Z.G.; Zhang, Q. Self-healing ability of engineered cementitious composites (ECC) under different exposure environments. Constr. Build. Mater. 2017, 156, 142–151. [Google Scholar] [CrossRef]
- Zhang, Z.G.; Hu, J.; Ma, H. Feasibility study of ECC with self-healing capacity applied on long-span steel bridge deck overlay. Int. J. Pavement Eng. 2019, 20, 884–893. [Google Scholar] [CrossRef]
- Herbert, E.M.; Li, V.C. Self-healing of microcracks in engineered cementitious composites (ECC) under a natural environment. Materials 2013, 6, 2831–2845. [Google Scholar] [CrossRef] [PubMed]
- Zhang, Z.; Qian, S.; Liu, H.; Li, V.C. Ductile concrete material with self-healing capacity for jointless concrete pavement use. Transport Res Rec. 2017, 2640, 78–83. [Google Scholar] [CrossRef]
- Zhang, Z.G.; Zhang, Q.; Li, V.C. Multiple-scale Investigations on Self-healing Induced Mechanical Property Recovery of ECC. Cem. Concr. Compos. 2019, 103, 293–302. [Google Scholar] [CrossRef]
- Gencturk, B.; Elnashai, A.; Lepech, M.; Billington, S. Behavior of concrete and ECC structures under simulated earthquake motion. J. Struct. Eng. 2013, 139, 389–399. [Google Scholar] [CrossRef]
- Qudah, S.; Maalej, M. Application of engineered cementitious composites (ECC) ininterior beam–column connections for enhanced seismic resistance. Eng. Struct. 2014, 69, 235–245. [Google Scholar] [CrossRef]
- Hosseini, F.; Gencturk, B.; Aryan, H.; Cadaval, G. Seismic behavior of 3-D ECC beam-column connections subjected to bidirectional bending and torsion. Eng. Struct. 2018, 172, 751–763. [Google Scholar] [CrossRef]
- Kim, Y.Y.; Fischer, G.; Li, V.C. Performance of bridge deck link slabs designed with ductile ECC. ACI Struct. J. 2004, 101, 792–801. [Google Scholar]
- Lepech, M.D.; Li, V.C. Application of ECC for bridge deck link slabs. RILEM J. Mater. Struct. 2009, 42, 1185–1195. [Google Scholar] [CrossRef]
- Lepech, M.D.; Li, V.C. Sustainable pavement overlays using engineered cementitious composites. J. Pavement Res. Tech. 2010, 3, 241–250. [Google Scholar]
- Park, G.; Sohn, H.; Farrar, C.R.; Inman, D.J. Overview of piezoelectric impedance-based health monitoring and path forward. Shock Vib. Dig. 2003, 35, 451–463. [Google Scholar] [CrossRef]
- Annamdas, V.G.; Radhika, M.A. Electromechanical impedance of piezoelectric transducers for monitoring metallic and non-metallic structures: A review of wired, wireless and energy-harvesting methods. J. Intell. Mater. Syst. Struct. 2013, 24, 1021–1042. [Google Scholar] [CrossRef]
- Wongi, S.; Jongdae, B. A review of the piezoelectric electromechanical impedance based structural health monitoring technique for engineering structures. Sensors 2018, 18, 1307. [Google Scholar]
- Liang, C.; Sun, F.P.; Rogers, C.A. Coupled electro-mechanical analysis of adaptive material system-determination of the actuator power consumption and system energy transfer. J. Intell. Mater. Syst. Struct. 1994, 5, 12–20. [Google Scholar] [CrossRef]
- Min, J.; Park, S.; Yun, C.B.; Lee, C.G.; Lee, C. Impedance-based structural health monitoring incorporating neural network technique for identification of damage type and severity. Eng. Struct. 2012, 39, 210–220. [Google Scholar] [CrossRef]
- Sevillano, E.; Sun, R.; Gil, A.; Perera, R. Interfacial crack-induced debonding identification in FRP-strengthened RC beams from PZT signatures using hierarchical clustering analysis. Compos. Part B Eng. 2016, 87, 322–335. [Google Scholar] [CrossRef]
- Wang, D.S.; Song, H.Y.; Zhu, H.P. Numerical and experimental studies on damage detection of a concrete beam based on PZT admittances and correlation coefficient. Constr. Build. Mater. 2013, 49, 564–574. [Google Scholar] [CrossRef]
- Kim, J.T.; Park, J.H.; Hong, D.S.; Cho, H.M.; Na, W.B.; Yi, J.H. Vibration and impedance monitoring for prestress-loss prediction in PSC girder bridges. Smart Struct. Syst. 2009, 5, 81–94. [Google Scholar] [CrossRef]
- Sun, R.; Sevillano, E.; Perera, R. Identification of intermediate debonding damage in FRP-strengthened RC beams based on a multi-objective updating approach and PZT sensors. Compos. Part B Eng. 2017, 109, 248–258. [Google Scholar] [CrossRef]
- Wang, Y.; Li, X.; Li, J.; Wang, Q.; Xu, B.; Deng, J. Debonding damage detection of the CFRP-concrete interface based on piezoelectric ceramics by the wave-based method. Constr. Build. Mater. 2019, 210, 514–524. [Google Scholar] [CrossRef]
- Tseng, K.K.; Wang, L. Structural damage identification for thin plates using smart piezoelectric transducers. Comput. Methods Appl. Mech. Eng. 2005, 194, 3192–3209. [Google Scholar] [CrossRef]
- Yan, W.; Cai, J.B.; Chen, W.Q. An electromechanical impedance model of a cracked composite beam with adhesively bonded piezoelectric patches. J. Sound Vib. 2011, 330, 287–307. [Google Scholar] [CrossRef]
- Sun, R.; Sevillano, E.; Perera, R. Debonding detection of FRP strengthened concrete beams by using impedance measurements and an ensemble PSO adaptive spectral model. Compos. Struct. 2015, 125, 374–387. [Google Scholar] [CrossRef]
- Yang, Y.; Divsholi, B.S. Sub-frequency interval approach in electromechanical impedance technique for concrete structure health monitoring. Sensors 2010, 10, 11644–11661. [Google Scholar] [CrossRef]
- Ai, D.; Zhu, H.; Luo, H.; Wang, C. Mechanical impedance based embedded piezoelectric transducer for reinforced concrete structural impact damage detection: A comparative study. Construct. Build. Mater. 2018, 165, 472–483. [Google Scholar] [CrossRef]
- Ghafari, E.; Yuan, Y.; Wu, C.; Nantung, T.; Lu, N. Evaluation the compressive strength of the cement paste blended with supplementary cementitious materials using a piezoelectric-based sensor. Construct. Build. Mater. 2018, 171, 504–510. [Google Scholar] [CrossRef]
- Zhang, Z.G.; Ding, Y.Z.; Qian, S.Z. Influence of bacterial incorporation on mechanical properties of engineered cementitious composites (ECC). Construct. Build Mater. 2019, 196, 195–203. [Google Scholar] [CrossRef]
- Zhang, Z.G.; Zhang, Q. Matrix tailoring of engineered cementitious composites (ECC) with non-oil-coated, low tensile strength PVA fiber. Construct. Build Mater. 2018, 161, 420–431. [Google Scholar] [CrossRef]
- Song, G.; Gu, H.; Mo, Y.L. Smart aggregates: Multi-functional sensors for concrete structures-a tutorial and a review. Smart Mater. Struct. 2008, 17, 033001. [Google Scholar] [CrossRef]
- Yan, S.; Sun, W.; Song, G.; Gu, H.; Huo, L.S.; Liu, B.; Zhang, Y.G. Health monitoring of reinforced concrete shear walls using smart aggregates. Smart Mater. Struct. 2009, 18, 1–6. [Google Scholar]
- Yan, S.; Ma, H.; Li, P.; Song, G.; Wu, J. Development and application of a structural health monitoring system based on wireless smart aggregates. Sensors 2017, 17, 1641. [Google Scholar] [CrossRef] [PubMed]
- Wang, Z.; Chen, D.; Zheng, L.; Huo, L.; Song, G. Influence of axial load on electromechanical impedance (EMI)of embedded piezoceramic transducers in steel fiber concrete. Sensors 2018, 18, 1782. [Google Scholar] [CrossRef]






















| Cement | Fly Ash | Silica Sand | Water | HRWRA | PE Fiber |
|---|---|---|---|---|---|
| 1 | 1 | 0.6 | 0.5 | 0.004 | 2% by volume |
| Beam Type | Yielding | Ultimate | Failure Mode | ||
|---|---|---|---|---|---|
| Load (kN) | Midspan Deflection (mm) | Load (kN) | Midspan Deflection (mm) | ||
| RC beam | 191 | 5.5 | 211 | 18.3 | Concrete crushing |
| BE1 | 205 | 6.2 | 212 | 23.1 | Concrete crushing |
| BE2 | 210 | 6.7 | 224 | 28.8 | Concrete crushing |
| Damage Level | μδ | Damage Description |
|---|---|---|
| D0 | 0 | Healthy state |
| D1 | 0.48(BE1), 0.45(BE2) | Flexural Cracking, Multiple micro-cracks in ECC layer |
| D2 | 2.0 | Steel yielding, Multiple micro-cracks in ECC layer |
| D3 | 3.0 | Steel yielding, Multiple micro-cracks in ECC layer |
© 2019 by the authors. Licensee MDPI, Basel, Switzerland. This article is an open access article distributed under the terms and conditions of the Creative Commons Attribution (CC BY) license (http://creativecommons.org/licenses/by/4.0/).
Share and Cite
Qin, F.; Zhang, Z.; Xie, B.; Sun, R. Experimental Study on Damage Detection in ECC-Concrete Composite Beams Using Piezoelectric Transducers. Sensors 2019, 19, 2799. https://doi.org/10.3390/s19122799
Qin F, Zhang Z, Xie B, Sun R. Experimental Study on Damage Detection in ECC-Concrete Composite Beams Using Piezoelectric Transducers. Sensors. 2019; 19(12):2799. https://doi.org/10.3390/s19122799
Chicago/Turabian StyleQin, Fengjiang, Zhigang Zhang, Bo Xie, and Rui Sun. 2019. "Experimental Study on Damage Detection in ECC-Concrete Composite Beams Using Piezoelectric Transducers" Sensors 19, no. 12: 2799. https://doi.org/10.3390/s19122799
APA StyleQin, F., Zhang, Z., Xie, B., & Sun, R. (2019). Experimental Study on Damage Detection in ECC-Concrete Composite Beams Using Piezoelectric Transducers. Sensors, 19(12), 2799. https://doi.org/10.3390/s19122799

