Monitoring Aquaculture Water Quality: Design of an Early Warning Sensor with Aliivibrio fischeri and Predictive Models
Abstract
1. Introduction
2. Material and Methods
2.1. Uniform Ray Design Method
2.2. Reagents and Equipment
2.3. Single Stressors Study
2.4. Mixture Study: Preparation and Test
2.5. Data Processing
2.5.1. Toxicity Linear Models for the Single Stressors Study
2.5.2. Model Fitting and Statistical Evaluation
2.6. Lab-On-A-Chip Study
3. Results and Discussion
3.1. Single Stressors Analysis
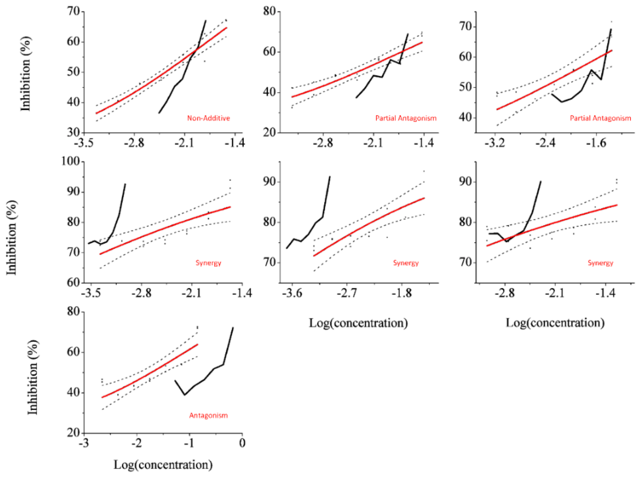
3.2. Comparison of LIA and LCA Models
3.3. Microfluidic Chip for RAS
3.3.1. Chip Design
3.3.2. Assay Protocol
3.3.3. Tests on Chip
3.3.4. Comparison with Current Solutions and Possible Integration
4. Conclusions
Supplementary Materials
Author Contributions
Funding
Acknowledgments
Conflicts of Interest
References
- AQUI-S New Zealand LTD Stress in Fish. Available online: https://www.aqui-s.com/stress-management/stress-in-fish (accessed on 14 April 2018).
- Hjeltnes, B.; Baeverfjord, G.; Erikson, U.; Mortensen, S.; Rosten, T.; Østergård, P.; Norwegian Scientific Committee for Food Safety (VKM) Opinion of the Panel on Animal Health and Welfare of the Norwegian Scientific Committee for Food Safety. Risk Assessment of Recirculation Systems in Salmonid Hatcheries. Available online: https://vkm.no/english/riskassessments/allpublications/riskassessmentofrecirculationsystemsinsalmonidhatcheries.4.72c3261615e09f2472f46f9b.html (accessed on 13 August 2018).
- Wahid, H.; Ahmad, S.; Nor, M.A.M.; Rashid, M.A. Prestasi kecekapan pengurusan kewangan dan agihan zakat: Perbandingan antara majlis agama islam negeri di Malaysia. J. Ekon. Malays. 2017, 51, 39–54. [Google Scholar] [CrossRef]
- Kolarevic, J.; Baeverfjord, G.; Takle, H.; Ytteborg, E.; Megård Reiten, B.K.; Nergård, S.; Fyhn Terjesen, B. Performance and welfare of Atlantic salmon smolt reared in recirculating or flow through aquaculture systems. Aquaculture 2014, 432, 15–25. [Google Scholar] [CrossRef]
- Kristensen, T.; Åtland, Å.; Rosten, T.; Urke, H.A.; Rosseland, B.O. Important influent-water quality parameters at freshwater production sites in two salmon producing countries. Aquac. Eng. 2009, 41, 53–59. [Google Scholar] [CrossRef]
- Chui, J.S.W.; Poon, W.T.; Chan, K.C.; Chan, A.Y.W.; Buckley, T.A. Nitrite-induced methaemoglobinaemia—Aetiology, diagnosis and treatment. Anaesthesia 2005, 60, 496–500. [Google Scholar] [CrossRef] [PubMed]
- Bergheim, A.; Fivelstad, S. Atlantic Salmon (Salmo salar L.) in aquaculture: Metabolic rate and water flow requirements. Salmon Biol. Ecol. Impacts Econ. Import. 2014, 8, 155–171. [Google Scholar]
- Dalsgaard, J.; Lund, I.; Thorarinsdottir, R.; Drengstig, A.; Arvonen, K.; Pedersen, P.B. Farming different species in RAS in Nordic countries: Current status and future perspectives. Aquac. Eng. 2013, 53, 2–13. [Google Scholar] [CrossRef]
- Backhaus, T.; Altenburger, R.; Boedeker, W.; Faust, M.; Scholze, M.; Grimme, L.H. Predictability of the toxicity of a multiple mixture of dissimilarly acting chemicals to Vibrio fischeri. Environ. Toxicol. Chem. 2000, 19, 2348–2356. [Google Scholar] [CrossRef]
- Abbas, M.; Adil, M.; Ehtisham-ul-Haque, S.; Munir, B.; Yameen, M.; Ghaffar, A.; Shar, G.A.; Asif Tahir, M.; Iqbal, M. Vibrio fischeri bioluminescence inhibition assay for ecotoxicity assessment: A review. Sci. Total Environ. 2018, 626, 1295–1309. [Google Scholar] [CrossRef] [PubMed]
- Backhaus, T.; Scholze, M.; Grimme, L.H. The single substance and mixture toxicity of quinolones to the bioluminescent bacterium Vibrio fischeri. Aquat. Toxicol. 2000, 49, 49–61. [Google Scholar] [CrossRef]
- Tong, F.; Zhao, Y.; Gu, X.; Gu, C.; Lee, C.C.C. Joint toxicity of tetracycline with copper(II) and cadmium(II) to Vibrio fischeri: Effect of complexation reaction. Ecotoxicology 2014, 24, 346–355. [Google Scholar] [CrossRef] [PubMed]
- Tsai, H.-F.; Tsai, Y.-C.; Yagur-Kroll, S.; Palevsky, N.; Belkin, S.; Cheng, J.-Y. Water pollutant monitoring by a whole cell array through lens-free detection on CCD. Lab Chip 2015, 15, 1472–1480. [Google Scholar] [CrossRef] [PubMed]
- Zhao, X.; Dong, T. A microfluidic device for continuous sensing of systemic acute toxicants in drinking water. Int. J. Environ. Res. Public Health 2013, 10, 6748–6763. [Google Scholar] [CrossRef] [PubMed]
- Roda, A.; Mirasoli, M.; Michelini, E.; Di Fusco, M.; Zangheri, M.; Cevenini, L.; Roda, B.; Simoni, P. Progress in chemical luminescence-based biosensors: A critical review. Biosens. Bioelectron. 2016, 76, 164–179. [Google Scholar] [CrossRef] [PubMed]
- Futra, D.; Heng, L.Y.; Surif, S.; Ahmad, A.; Ling, T.L. Microencapsulated Aliivibrio fischeri in alginate microspheres for monitoring heavy metal toxicity in environmental waters. Sensors 2014, 14, 23248–23268. [Google Scholar] [CrossRef] [PubMed]
- Woutersen, M.; Belkin, S.; Brouwer, B.; Van Wezel, A.P.; Heringa, M.B. Are luminescent bacteria suitable for online detection and monitoring of toxic compounds in drinking water and its sources? Anal. Bioanal. Chem. 2011, 400, 915–929. [Google Scholar] [CrossRef] [PubMed]
- Jouanneau, S.; Durand-Thouand, M.J.; Thouand, G. Design of a toxicity biosensor based on Aliivibrio fischeri entrapped in a disposable card. Environ. Sci. Pollut. Res. 2016, 23, 4340–4345. [Google Scholar] [CrossRef] [PubMed]
- Raies, A.B.; Bajic, V.B. In silico toxicology: computational methods for the prediction of chemical toxicity. Wiley Interdiscip. Rev. Comput. Mol. Sci. 2016, 6, 147–172. [Google Scholar] [CrossRef] [PubMed]
- Zadorozhnaya, O.; Kirsanov, D.; Buzhinsky, I.; Tsarev, F.; Abramova, N.; Bratov, A.; Muñoz, F.J.; Ribó, J.; Bori, J.; Riva, M.C.; et al. Water pollution monitoring by an artificial sensory system performing in terms of Vibrio fischeri bacteria. Sens. Actuators B Chem. 2015, 207, 1069–1075. [Google Scholar] [CrossRef]
- Tanaka, Y.; Tada, M. Generalized concentration addition approach for predicting mixture toxicity. Environ. Toxicol. Chem. 2017, 36, 265–275. [Google Scholar] [CrossRef] [PubMed]
- Qin, L.T.; Wu, J.; Mo, L.Y.; Zeng, H.H.; Liang, Y.P. Linear regression model for predicting interactive mixture toxicity of pesticide and ionic liquid. Environ. Sci. Pollut. Res. 2015, 22, 12759–12768. [Google Scholar] [CrossRef] [PubMed]
- Liu, S.S.; Xiao, Q.F.; Zhang, J.; Yu, M. Uniform design ray in the assessment of combined toxicities of multi-component mixtures. Sci. Bull. 2016, 61, 52–58. [Google Scholar] [CrossRef]
- FAQ-251 How to Compute EC50/IC50 in Dose Response Fitting. Available online: https://www.originlab.com/doc/Quick-Help/compute-ec50-ic50 (accessed on 12 April 2018).
- Belden, J.B.; Gilliom, R.; Lydy, M.J. How well can we predict the aquatic toxicity of pesticide mixtures. Integr. Environ. Assess. Manag. 2007, 3, 364–372. [Google Scholar] [CrossRef] [PubMed]
- Zhang, Y.-H.; Liu, S.-S.; Song, X.-Q.; Ge, H.-L. Prediction for the mixture toxicity of six organophosphorus pesticides to the luminescent bacterium Q67. Ecotoxicol. Environ. Saf. 2008, 71, 880–888. [Google Scholar] [CrossRef] [PubMed]
- Price, M.H.H. Sub-Lethal Metal Toxicity Effects on Salmonids: A Review. 2013. Available online: https://www.semanticscholar.org/paper/Sub-lethal-Metal-Toxicity-Effects-on-Salmonids-%3A-A/44c535a15f3811f0945ad1d186e95fa822a61600 (accessed on 13 August 2018).
- Shi, X.; Xiang, Y.; Wen, L.X.; Chen, J.F. CFD analysis of flow patterns and micromixing efficiency in a Y-type microchannel reactor. Ind. Eng. Chem. Res. 2012, 51, 13944–13952. [Google Scholar] [CrossRef]
- Mele, E. The Application of Microfluidics to Continuous Water Toxicity Monitoring. Master’s Thesis, Cardiff University, Cardiff, Wales, UK, 2013. [Google Scholar]
- Bhalla, N.; Chung, D.W.Y.; Chang, Y.J.; Uy, K.J.S.; Ye, Y.Y.; Chin, T.Y.; Yang, H.C.; Pijanowska, D.G. Microfluidic platform for enzyme-linked and magnetic particle-based immunoassay. Micromachines 2013, 4, 257–271. [Google Scholar] [CrossRef]
- Zhu, X.; Li, D.; He, D.; Wang, J.; Ma, D.; Li, F. A remote wireless system for water quality online monitoring in intensive fish culture. Comput. Electron. Agric. 2010, 71, S3–S9. [Google Scholar] [CrossRef]
- Wiranto, G.; Maulana, Y.Y.; Hermida, I.D.P.; Syamsu, I.; Mahmudin, D. Integrated online water quality monitoring. In Proceedings of the 2015 International Conference on Smart Sensors and Application (ICSSA), Kuala Lumpur, Malaysia, 26–28 May 2015; pp. 111–115. [Google Scholar] [CrossRef]
- Yang, H.; Hassan, S.G.; Wang, L.; Li, D. Fault diagnosis method for water quality monitoring and control equipment in aquaculture based on multiple SVM combined with D-S evidence theory. Comput. Electron. Agric. 2017, 141, 96–108. [Google Scholar] [CrossRef]
- Parra, L.; Sendra, S.; García, L.; Lloret, J. Design and deployment of low-cost sensors for monitoring the water quality and fish behavior in aquaculture tanks during the feeding process. Sensors 2018, 18, 750. [Google Scholar] [CrossRef] [PubMed]
- Barbu, M.; Ceangă, E.; Caraman, S. Water Quality Modeling and Control in Recirculating Aquaculture Systems. Urban Agric. 2018, 2, 64. [Google Scholar] [CrossRef]






| Ray | Nitrite (mM) | Un-Ionized Ammonia (mM) | Copper (mM) | Aluminum (mM) | Zinc (mM) | Total Concentration (mM) |
|---|---|---|---|---|---|---|
| 1 | 8.99 × 10−7 | 2.32 × 10−2 | 5.25 × 10−3 | 3.60 × 10−4 | 1.22 × 10−3 | 3.00 × 10−2 |
| 2 | 1.93 × 10−5 | 3.01 × 10−2 | 6.13 × 10−3 | 1.48 × 10−4 | 9.11 × 10−4 | 3.73 × 10−2 |
| 3 | 1.48 × 10−4 | 3.74 × 10−2 | 4.91 × 10−3 | 4.41 × 10−4 | 5.70 × 10−4 | 4.35 × 10−2 |
| 4 | 7.90 × 10−4 | 1.86 × 10−2 | 5.83 × 10−3 | 2.21 × 10−4 | 1.41 × 10−3 | 2.69 × 10−2 |
| 5 | 3.66 × 10−3 | 2.67 × 10−2 | 4.44 × 10−3 | 5.39 × 10−4 | 1.06 × 10−3 | 3.64 × 10−2 |
| 6 | 1.70 × 10−2 | 3.35 × 10−2 | 5.55 × 10−3 | 2.89 × 10−4 | 7.55 × 10−4 | 5.71 × 10−2 |
| 7 | 9.04 × 10−2 | 4.21 × 10−2 | 6.48 × 10−3 | 6.72 × 10−4 | 1.64 × 10−3 | 1.41 × 10−1 |
| Chemical Specie | EC50 (M) | p | logXc | AL | AH |
|---|---|---|---|---|---|
| Nitrite (NO2−) | 3.66 × 10−6 | 0.26432 | −0.77343 | 0 | 100 |
| Ammonia (NH3-N) | 3.35 × 10−5 | 3.741 | −0.24315 | 0 | 100 |
| Zinc | 5.83 × 10−6 | 2.88562 | −1.09769 | 0 | 100 |
| Aluminum | 4.41 × 10−7 | 2.00837 | −1.92469 | 0 | 100 |
| Copper | 1.22 × 10−6 | 8.05861 | −0.431 | 0 | 100 |
| Model | LIA | LCA | ||||
|---|---|---|---|---|---|---|
| Ray | b0 | b1 | Pearson Correlation | b0 | b1 | Pearson Correlation |
| 1 | 1.26497 | 0.35818 | 0.98758 | −20.32265 | 11.06486 | 0.98916 |
| 2 | 1.059 | 0.397 | 0.943 | −21.28508 | 12.37994 | 0.94804 |
| 3 | 0.66542 | 0.51735 | 0.85178 | −18.64007 | 11.05947 | 0.84929 |
| 4 | 2.58719 | 0.28146 | 0.79365 | −13.15791 | 8.14889 | 0.79927 |
| 5 | 2.41787 | 0.39283 | 0.83234 | −14.15261 | 9.11089 | 0.84284 |
| 6 | 1.80923 | 0.3959% | 0.75313 | −14.57845 | 10.50199 | 0.76132 |
| 7 | −0.33947 | 0.60823 | 0.8255 | −1.00294 | 1.15952 | 0.86081 |
| LCA | LIA | Real | |||||
|---|---|---|---|---|---|---|---|
| Ray | EC50 (M) | Deviation (%) | MDR | EC50 (M) | Deviation (%) | MDR | EC50 (M) |
| 1 | 3.79 × 10−3 | 2.81% | 1.03 | 5.43 × 10−2 | 193.31% | 13.93 | 3.90 × 10−3 |
| 2 | 4.32 × 10−3 | 3.22% | 0.97 | 8.73 × 10−2 | 1983.46% | 20.83 | 4.19 × 10−3 |
| 3 | 3.82 × 10−4 | 99.34% | 150.92 | 2.16 × 10−1 | 275.11% | 3.75 | 5.76 × 10−2 |
| 4 | 1.01 × 10−4 | 99.42% | 173.73 | 2.59 × 10−3 | 85.30% | 0.15 | 1.76 × 10−2 |
| 5 | 6.84 × 10−7 | 100.00% | 33,900.65 | 3.82 × 10−3 | 83.53% | 0.16 | 2.32 × 10−2 |
| 6 | 1.31 × 10−8 | 100.00% | 3,718,766.94 | 3.82 × 10−3 | 92.15% | 0.08 | 4.87 × 10−2 |
| 7 | 2.00 × 10−4 | 99.86% | 721.33 | 2.08 | 1342.41% | 14.42 | 1.44 × 10−1 |
| Stressor | Concentration (mg/L) | Concentration (mM) |
|---|---|---|
| Nitrite | 0.1 [4] | 2.17 × 10−3 |
| Un-ionized ammonia | 0.030–0.146 [7] | 1.76 × 10−3–8.57 × 10−3 |
| Copper | 0.0006–0.030 [2] | 9.44 × 10−6–4.72 × 10−4 |
| Aluminum | 0.015–0.020 [7] | 5.56 × 10−4–7.41 × 10−4 |
| Zinc | 0.053 [27] | 8.11 × 10−4 |
© 2018 by the authors. Licensee MDPI, Basel, Switzerland. This article is an open access article distributed under the terms and conditions of the Creative Commons Attribution (CC BY) license (http://creativecommons.org/licenses/by/4.0/).
Share and Cite
Da Silva, L.F.B.A.; Yang, Z.; Pires, N.M.M.; Dong, T.; Teien, H.-C.; Storebakken, T.; Salbu, B. Monitoring Aquaculture Water Quality: Design of an Early Warning Sensor with Aliivibrio fischeri and Predictive Models. Sensors 2018, 18, 2848. https://doi.org/10.3390/s18092848
Da Silva LFBA, Yang Z, Pires NMM, Dong T, Teien H-C, Storebakken T, Salbu B. Monitoring Aquaculture Water Quality: Design of an Early Warning Sensor with Aliivibrio fischeri and Predictive Models. Sensors. 2018; 18(9):2848. https://doi.org/10.3390/s18092848
Chicago/Turabian StyleDa Silva, Luís F. B. A., Zhaochu Yang, Nuno M. M. Pires, Tao Dong, Hans-Christian Teien, Trond Storebakken, and Brit Salbu. 2018. "Monitoring Aquaculture Water Quality: Design of an Early Warning Sensor with Aliivibrio fischeri and Predictive Models" Sensors 18, no. 9: 2848. https://doi.org/10.3390/s18092848
APA StyleDa Silva, L. F. B. A., Yang, Z., Pires, N. M. M., Dong, T., Teien, H.-C., Storebakken, T., & Salbu, B. (2018). Monitoring Aquaculture Water Quality: Design of an Early Warning Sensor with Aliivibrio fischeri and Predictive Models. Sensors, 18(9), 2848. https://doi.org/10.3390/s18092848
