QoS-Driven Adaptive Trust Service Coordination in the Industrial Internet of Things
Abstract
:1. Introduction
- A QoS-driven IIoT adaptive trust service coordination method is proposed that realizes the multi-index evaluation adaptation to the response time, availability, throughput, and reliability by collecting data corresponding to various QoS indicators in the IIoT through industrial sensor networks. The coordination process satisfies the Pareto-effective allocation idea, which can effectively realize the optimal allocation of the IIoT trust service resources.
- A blockchain-based adaptive trust evaluation model for the IIoT is proposed. Through the P2P ratings on coordination degree among service partners and adaptive filtering algorithms, the problem of possible attacks launched by malicious service providers in the IIoT is solved, which can improve the effectiveness, stability, and accuracy of assessments.
- An improved MOGWO is proposed to solve the QoS-driven self-adaptation trust service coordination fit method. Based on the basic wolf algorithm, a Pareto archive and update mechanism of storage space similarity in the Pareto solution set are introduced. This method enables adaptive use cases to be learned and developed, which can effectively improve the diversity of the final approximate Pareto-optimal frontier—the set of all Pareto-effective [25] solutions.
2. Problem Description
2.1. QoS-Driven Adaptive Trust Service Coordination Model in the IIoT
2.2. Adaptive Trust Evaluation Model Based on Blockchain in the IIoT
2.2.1. Attack Model
2.2.2. Trust Evaluation Mechanism
2.2.3. Malicious Rater Filtering Mechanism
| Algorithm 1. Adaptive malicious rating filter algorithm based on rating sets |
| Input: We use the random function to select 30% nodes, which act as malicious raters and initialize 10 service compositions that contain 10 to 20 service providers in each interaction round. Malicious raters launch bad mouthing attacks and ballot stuffing attacks while the ratings given by benign raters are random real numbers in the range of . Thus, the rating set obtained by service provider from its partners can be derived. Output: A blacklist of malicious raters is judged in the final. |
| 1 for each service composition 2 for each 3 4 end for 5 for each rating set in the composition |
| 6 Calculate the average rating and the variance of the set 7 Calculate the deviation set 8 if |
| 9 Select the rater which has the largest deviation 10 11 else 12 for each 13 if 14 15 end if 16 end for 17 end if 18 Update 19 for each 20 if & 21 add to the blacklist 22 end if 23 end for 24 end for 25 end for |
3. Trust Service Coordination Using Multi-Objective Gray-Wolf Optimization in the IIoT
3.1. Gray-Wolf Optimizer
3.2. Adaptive Trust Service Coordination of IIoT Based on the Multi-Objective Gray-Wolf Algorithm
| Algorithm 2. Multi-Objective Gray-Wolf Algorithm for IIoT service coordination |
| Input: The QWS [28] data set was collected by Al-Masri and Mahmoud of the University of Guelph, which contains 2507 actual service attribute parameters such as the response time, availability, throughput, and so on. However, this data set lacks the data of trust. To expand the QWS data set, trust data sets were generated via a simulation experiment based on the trust evaluation model in this paper. Output: A set of Pareto sets related to the service composition of industrial networking, and the solution set is judged according to the four indexes in the final. Begin: Calculates the wolf’s real-time location (corresponding to the service index of the service composition). |
| 1 Initialize the gray-wolf population (i = 1, 2, ..., n) |
| 2 Initialize a, A and C |
| 3 Calculate the fitness of each search agent |
| 4 Find non-dominated solutions and initialize the archive with them |
| 5 Calculate |
| 6 Add alpha and beta to the archive |
| 7 T = 1; |
| 8 while (t < Max number of iterations) |
| 9 for each search agent |
| 10 Update the position of the present search agent by equation |
| 11 end for |
| 12 Update a, A, and C |
| 13 Calculate the objective value of all search agents |
| 14 Find solutions that are not dominated |
| 15 Update archive |
| 16 if archive is full |
| 17 Run the similarity mechanism to omit one of the present archive members |
| 18 Add the new solution to archive |
| 19 end if |
| 20 if any newly added solution in the archive is beyond the hypercube |
| 21 Update grid to cover new solutions |
| 22 end if |
| 23 Update , |
| 24 Add alpha and beta to archive |
| 25 T = t + 1; |
| 26 end while |
| 27 return archive |
4. Experiments and Discussion
4.1. Experiments of the Adaptive Trust Evaluation Model
4.1.1. Experimental Environment
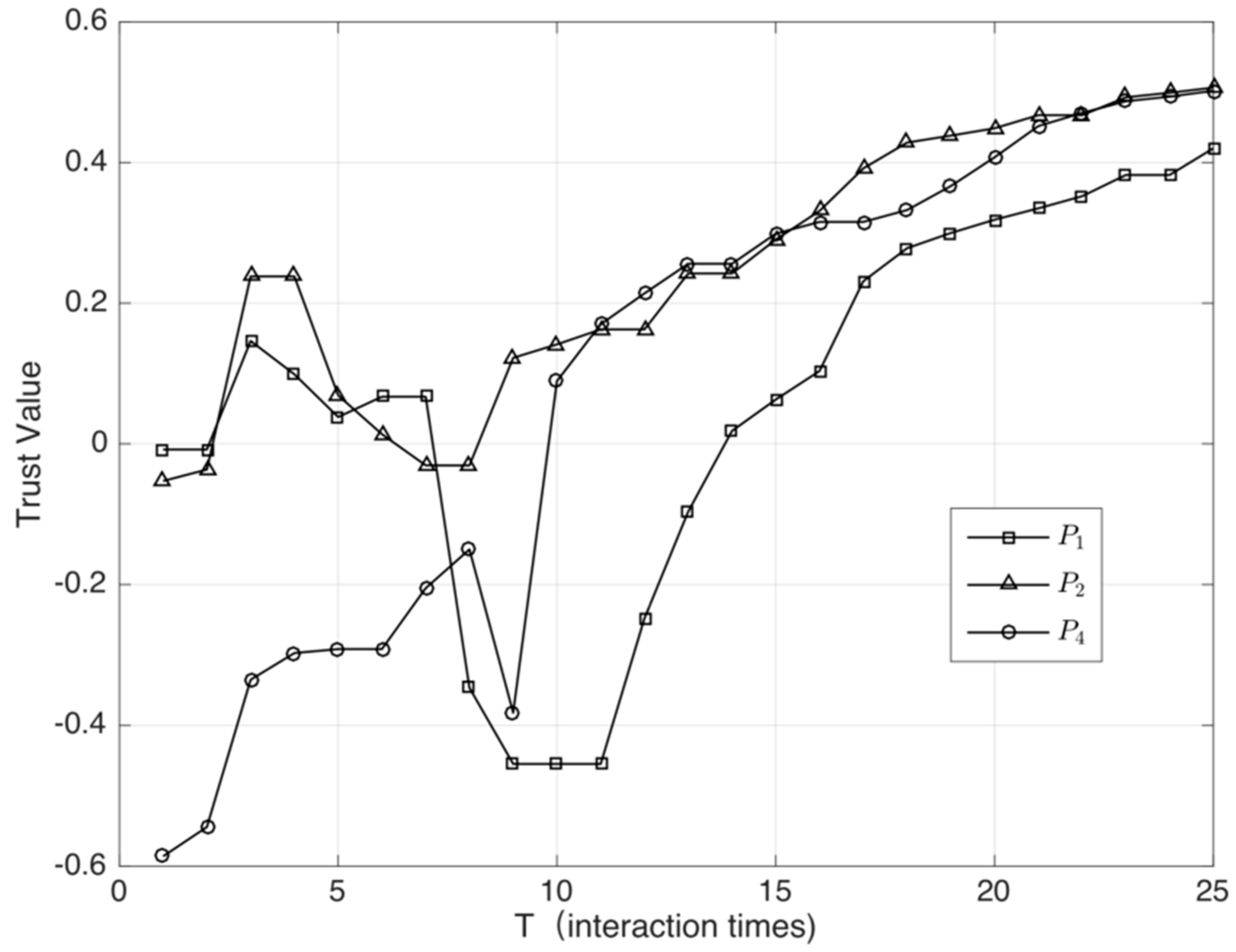
4.1.2. Experimental Results and Analysis
4.2. Experiments of Trust Service Coordination Model
4.2.1. Experimental Environment
4.2.2. Experimental Results and Analysis
5. Conclusions
Author Contributions
Funding
Conflicts of Interest
References
- Li, X.M.; Li, D.; Wan, J.F.; Vasilakos, A.V.; Lai, C.F.; Wang, S.Y. A review of industrial wireless networks in the context of Industry 4.0. Wirel. Netw. 2017, 23, 23–41. [Google Scholar] [CrossRef]
- Kracke, A. Overview of the Advanced Manufacturing Partnership. In Proceedings of the 23rd Advanced Aerospace Materials and Processes (AeroMat) Conference and Exposition, Charlotte, NC, USA, 18–21 June 2012. [Google Scholar]
- Li, B.; Wu, K. The Price of Environmental Sustainability: Empirical Evidence from Stock Market Performance in China. Sustainability 2017, 9, 1452. [Google Scholar] [CrossRef]
- China Electronics Standardization Institute. White Paper on the Industrial Internet of Things; China Electronics Standardization Institute: Beijing, China, 2017. [Google Scholar]
- Xu, L.D.; He, W.; Li, S.C. Internet of Things in Industries: A Survey. IEEE Trans. Ind. Inform. 2014, 10, 2233–2243. [Google Scholar] [CrossRef]
- Hossain, M.S.; Muhammad, G. Cloud-assisted Industrial Internet of Things (IIoT)—Enabled framework for health monitoring. Comput. Netw. 2016, 101, 192–202. [Google Scholar] [CrossRef]
- Mayer, S.; Hodges, J.; Yu, D.; Kritzler, M.; Michahelles, F. An Open Semantic Framework for the Industrial Internet of Things. IEEE Intell. Syst. 2017, 32, 96–101. [Google Scholar] [CrossRef]
- Wollschlaeger, M.; Sauter, T.; Jasperneite, J. The Future of Industrial Communication: Automation Networks in the Era of the Internet of Things and Industry 4.0. IEEE Ind. Electron. Mag. 2017, 11, 17–27. [Google Scholar] [CrossRef]
- Li, J.L.; Chen, M. Multiobjective Topology Optimization Based on Mapping Matrix and NSGA-II for Switched Industrial Internet of Things. IEEE Internet Things J. 2016, 3, 1235–1245. [Google Scholar] [CrossRef]
- Zhang, Q.C.; Zhu, C.S.; Yang, L.T.; Chen, Z.K.; Zhao, L.; Peng, L.A. Incremental CFS Algorithm for Clustering Large Data in Industrial Internet of Things. IEEE Trans. Ind. Inform. 2017, 13, 1193–1201. [Google Scholar] [CrossRef]
- Jeschke, S.; Brecher, C.; Meisen, T.; Özdemir, D. Industrial Internet of Things and Cyber Manufacturing Systems; Springer: Berlin, Germany, 2017. [Google Scholar]
- Wang, K.; Wang, Y.; Sun, Y.; Guo, S.; Wu, J. Green industrial Internet of Things architecture: An energy-efficient perspective. IEEE Commun. Mag. 2016, 54, 48–54. [Google Scholar] [CrossRef]
- He, X.; Wang, K.; Miyazaki, T.; Huang, H.; Wang, Y.; Guo, S. Green resource allocation based on deep reinforcement learning in content-centric IoT. IEEE Trans. Emerg. Top. Comput. 2018, 1, 1–16. [Google Scholar] [CrossRef]
- He, X.; Wang, K.; Huang, H.; Liu, B. QoE-driven big data architecture for smart city. IEEE Commun. Mag. 2018, 56, 88–93. [Google Scholar] [CrossRef]
- Ma, H.; Bastani, H.; Yen, I.L.; Mei, H. QoS-Driven Service Composition with Reconfigurable Services. IEEE Trans. Serv. Comput. 2013, 6, 20–34. [Google Scholar] [CrossRef]
- Wang, K.; Qi, X.; Shu, L.; Deng, D.J.; Rodrigues, J.-C. Toward trustworthy crowdsourcing in social internet of things. IEEE Wirel. Commun. 2016, 30, 30–36. [Google Scholar] [CrossRef]
- Chen, W.H.; Paik, I. Toward Better Quality of Service Composition Based on a Global Social Service Network. IEEE Trans. Parallel Distrib. Syst. 2015, 26, 1466–1476. [Google Scholar] [CrossRef]
- Qi, J.; Xu, B.; Xue, Y.; Wang, K.; Sun, Y.F. Knowledge based differential evolution for cloud computing service composition. J. Ambient Intell. Hum. Comput. 2018, 9, 565–574. [Google Scholar] [CrossRef]
- Xue, X.; Wang, S.F.; Lu, B.Y. Manufacturing service composition method based on networked collaboration mode. J. Netw. Comput. Appl. 2016, 59, 28–38. [Google Scholar] [CrossRef]
- Zhang, Y.F.; Xi, D.; Li, R.; Sun, S.D. Task-driven manufacturing cloud service proactive discovery and optimal configuration method. Int. J. Adv. Manuf. Technol. 2016, 84, 29–45. [Google Scholar] [CrossRef]
- Noor, T.H.; Sheng, Q.Z.; Yao, L.N.; Dustdar, S.; Ngu, A.-H. CloudArmor: Supporting Reputation-Based Trust Management for Cloud Services. IEEE Trans. Parallel Distrib. Syst. 2016, 27, 367–380. [Google Scholar] [CrossRef]
- Chen, I.R.; Guo, J.; Bao, F.Y. Trust Management for SOA-Based IoT and its Application to Service Composition. IEEE Trans. Serv. Comput. 2016, 9, 482–495. [Google Scholar] [CrossRef]
- Fu, F.; Fang, L. Blockchain-based trusted computing in social network. In Proceedings of the 2016 2nd IEEE International Conference on Computer and Communications (ICCC), Chengdu, China, 14–17 October 2016; pp. 19–22. [Google Scholar]
- Huang, Z.; Su, X.; Zhang, Y.; Shi, C.; Zhang, H.; Xie, L. A decentralized solution for IoT data trusted exchange based-on blockchain. In Proceedings of the 2017 3rd IEEE International Conference on Computer and Communications (ICCC), Chengdu, China, 13–16 December 2017; pp. 1180–1184. [Google Scholar]
- Fitzgerald, J.; Griffin, C. Pareto Optimal Decision Making in a Distributed Opportunistic Sensing Problem. IEEE Trans. Cybern. 2017, 1–7. [Google Scholar] [CrossRef] [PubMed]
- Abdulgader, M.; Lakshminarayanan, S.; Kaur, D. Efficient energy management for smart homes with grey wolf optimizer. In Proceedings of the 2017 IEEE International Conference on Electro Information Technology (EIT), Lincoln, NE, USA, 14–17 May 2017; pp. 388–393. [Google Scholar]
- Rodriguez, L.; Castillo, O.; Garcia, M.; Soria, J.; Valdez, F.; Melin, P. Dynamic simultaneous adaptation of parameters in the grey wolf optimizer using fuzzy logic. In Proceedings of the 2017 IEEE International Conference on Fuzzy Systems (FUZZ-IEEE), Naples, Italy, 9–12 July 2017; pp. 1–6. [Google Scholar]
- Mustafa, A.S.; Kumaraswamy, Y.S. Data mining algorithms for Web-services classification. In Proceedings of the 2014 International Conference on Contemporary Computing and Informatics (IC3I), Mysore, India, 27–29 November 2014; pp. 951–956. [Google Scholar]
- Mirjalili, S. Dragonfly algorithm: A new meta-heuristic optimization technique for solving single-objective, discrete, and multi-objective problems. Neural Comput. Appl. 2016, 27, 1053–1073. [Google Scholar] [CrossRef]
- Kennedy, J.; Eberhart, R. Particle swarm optimization. In Proceedings of the ICNN’95—International Conference on Neural Networks, Perth, WA, Australia, 27 November–1 December 1995. [Google Scholar]









| Symbol | Meaning | Type |
|---|---|---|
| number of IIoT service providers | input | |
| T | average interaction inter-interval time | input |
| percentage of malicious service providers | input | |
| parameter of trust increasing | design | |
| parameter of trust decreasing | design | |
| threshold of suspicion percentage | design | |
| threshold of service times | design | |
| H(x) | threshold function in the proposed algorithm | design |
| trust value of at time | derived | |
| recognition rate at time t | derived | |
| misjudging rate at time t | derived |
© 2018 by the authors. Licensee MDPI, Basel, Switzerland. This article is an open access article distributed under the terms and conditions of the Creative Commons Attribution (CC BY) license (http://creativecommons.org/licenses/by/4.0/).
Share and Cite
Qi, J.; Wang, Z.; Xu, B.; Wu, M.; Gao, Z.; Sun, Y. QoS-Driven Adaptive Trust Service Coordination in the Industrial Internet of Things. Sensors 2018, 18, 2449. https://doi.org/10.3390/s18082449
Qi J, Wang Z, Xu B, Wu M, Gao Z, Sun Y. QoS-Driven Adaptive Trust Service Coordination in the Industrial Internet of Things. Sensors. 2018; 18(8):2449. https://doi.org/10.3390/s18082449
Chicago/Turabian StyleQi, Jin, Zian Wang, Bin Xu, Mengfei Wu, Zian Gao, and Yanfei Sun. 2018. "QoS-Driven Adaptive Trust Service Coordination in the Industrial Internet of Things" Sensors 18, no. 8: 2449. https://doi.org/10.3390/s18082449
APA StyleQi, J., Wang, Z., Xu, B., Wu, M., Gao, Z., & Sun, Y. (2018). QoS-Driven Adaptive Trust Service Coordination in the Industrial Internet of Things. Sensors, 18(8), 2449. https://doi.org/10.3390/s18082449

