A Comparative Study of Four Kinds of Adaptive Decomposition Algorithms and Their Applications
Abstract
1. Introduction
2. Algorithms Deriving from Empirical Mode Decomposition
2.1. Empirical Mode Decomposition
2.1.1. Principle of Empirical Mode Decomposition
- (1)
- Set k = 0, and find all extrema of .
- (2)
- Interpolate between minima (maxima) of to obtain the lower (upper) envelope ().
- (3)
- The mean envelope is calculated by,
- (4)
- The IMF candidate is obtained by,
- (5)
- Repeat Steps (2)–(4) on , until is close to zero. Then is an IMF noted as .
- (6)
- Compute the residue byand do .
- (7)
- Residue is taken as , and repeat Steps (1)–(6) to generate the next IMF and residue, until the final satisfies the predefined stopping criterion.Therefore, the original signal can be represented by the following formula:where is the ith IMF and is the final residue.
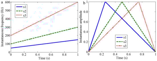
2.1.2. Limitation of Frequency Resolution
2.1.3. Influence of Sampling Frequency on Decomposition Result
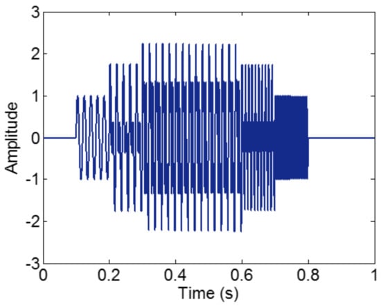
2.1.4. Phenomenon of Mode-Mixing Caused by Intermittent Signals
2.2. Ensemble Empirical Mode Decomposition
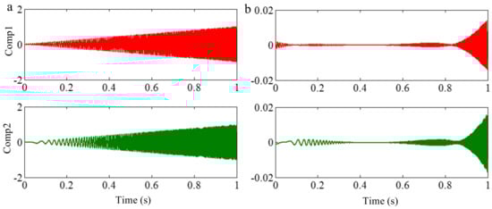
2.2.1. Resolving the Problem of Mode-Mixing Caused by Intermittent Signals
2.2.2. Principle of Ensemble Empirical Mode Decomposition
- (1)
- Signals are generated bywhere is the variance of added white noise, and (i = 1, ..., and i is the number that EMD is conducted) denotes a zero mean unit variance white noises .
- (2)
- Employ EMD to decompose completely each , and obtain the IMFs (k = 1, ..., k is the number of IMFs of EMD).
- (3)
- Calculate each final IMF by,where (k = 1, ..., k is the number of IMFs of EEMD) is the kth IMF of EEMD.
2.2.3. Limitation of Frequency Resolution
2.2.4. Influence of Sampling Frequency on Decomposition Result
2.3. Complementary Ensemble Empirical Mode Decomposition
2.4. Complementary Ensemble Empirical Mode Decomposition with Adaptive Noise
2.4.1. Principle of Complementary Ensemble Empirical Mode Decomposition with Adaptive Noise
- (1)
- I realizations are decomposed by EMD to obtain their first modes by
- (2)
- At the first stage (k = 1), the first residue is calculated as in Equation (11):
- (3)
- Decomposition of realizations is done, until their first EMD mode. The second mode is defined as:
- (4)
- The kth residue is calculated by ():
- (5)
- Decompose realizations until their first EMD mode and define the (k + 1)th mode as,
- (6)
- Go to step 4 for next k.
2.4.2. Principle of Improved Complementary Ensemble Empirical Mode Decomposition with Adaptive Noises
- (1)
- The local means of I realizations are calculate by EMD to obtain the first residue
- (2)
- At the first stage (k = 1), calculate the first mode by
- (3)
- The second residue is calculated as the average of local means of the realizations . The second mode is defined as,
- (4)
- For k = 3, ..., K, the kth residue is calculated by
- (5)
- The kth mode is calculated by
- (6)
- Repeat Steps (4) and (5) to calculate the next and .
2.4.3. Comparisons among These Algorithms
2.5. Applications and Other Improvement Works of Empirical Mode Decomposition
3. Empirical Wavelet Transform
3.1. Principle of Empirical Wavelet Transform
3.2. Advantage of Empirical Wavelet Transform
3.3. Disadvantage of Empirical Wavelet Transform
3.3.1. Limitation of Segmenting Fourier Spectrum
3.3.2. Limitation of Selection of Detection Method of Boundary
3.4. Application and Improvement Works of Empirical Wavelet Transform
4. Variational Mode Decomposition
4.1. Principle of Variational Mode Decomposition
- (1)
- HT is employed to estimate the one-sided frequency spectrum of a real signal using an analytic representation.
- (2)
- The modulation properties are utilized to obtain the shift of the frequency spectrum of the mode is shifted to the estimated base-band frequencies.
- (3)
- The H1 Gaussian smoothness of the demodulated signal is applied to estimate the bandwidth.
4.2. Advantage of Variational Mode Decomposition
4.3. Disadvantage of Variational Mode Decomposition
4.4. Application and Improvement Works of Variational Mode Decomposition
5. Vold–Kalman Filter Order Tracking
5.1. Principle of Vold–Kalman Filter Order Tracking
5.1.1. The Angular-Velocity Vold–Kalman Filter Order Tracking
The Structural Equation
The Data Equation
Computation of the Tracked Order Component f
Supplement to Amplitude and Phase of Tracked Order
5.1.2. The Angular-Displacement Vold–Kalman Filter Order Tracking
The Structural Equation
The Data Equation
Computation of the Tracked Order Component f
5.2. Advantage of Vold–Kalman Filter Order Tracking
5.3. Disadvantage of Vold–Kalman Filter Order Tracking
5.4. Application and Improvement Works of Vold–Kalman Filter Order Tracking
6. Summary and Prospects
6.1. Algorithms Deriving from Empirical Mode Decomposition
6.2. Empirical Wavelet Transform
6.3. Variational Mode Decomposition
6.4. Vold–Kalman Filter Order Tracking
Author Contributions
Funding
Acknowledgments
Conflicts of Interest
Abbreviations
| EMD | empirical mode decomposition |
| EWT | empirical wavelet transform |
| VMD | variational mode decomposition |
| VKF_OT | Vold-Kalman filter order tracking |
| EEMD | ensemble empirical mode decomposition |
| CEEMD | complementary ensemble empirical mode decomposition |
| CEEMDAN | complementary ensemble empirical mode decomposition with adaptive noises |
| Improved CEEMDAN | improved complementary ensemble empirical mode decomposition with adaptive noises |
| AM | amplitude modulated |
| FM | frequency modulated |
| IF | instantaneous frequency |
| IA | instantaneous amplitude |
| HT | Hilbert transform |
| STFT | short time Fourier transform |
| IMF | intrinsic mode functions |
| SNR | signal-noise ratio |
| HHT | Hilbert-Huang Transform |
| ICA | independent component analysis |
| GEMD | generalized empirical mode decomposition |
| EED | empirical envelope demodulation |
| PEEMD | partly ensemble EMD |
| FT | Fourier transform |
| ADMM | alternate direction method of multipliers |
References
- Huang, N.E.; Shen, Z.; Long, S.R.; Wu, M.C.; Shih, H.H.; Zheng, Q.; Yen, N.C.; Tung, C.C.; Liu, H.H. The empirical mode decomposition and the Hilbert spectrum for non-linear and non-stationary time series analysis. Proc. R. Soc. Lond. Ser. A Math. Phys. Eng. Sci. 1998, 454, 903–995. [Google Scholar] [CrossRef]
- Feng, Z.; Zhang, D.; Zuo, M.J. Adaptive Mode Decomposition Methods and Their Applications in Signal Analysis for Machinery Fault Diagnosis: A Review with Examples. IEEE Access 2017, 5, 24301–24331. [Google Scholar] [CrossRef]
- Peng, Z.K.; Chu, F.L. Application of the wavelet transform in machine condition monitoring and fault diagnostics: A review with bibliography. Mech. Syst. Signal Process. 2004, 18, 199–221. [Google Scholar] [CrossRef]
- Nguyen, H.N.; Kim, J.; Kim, J.M. Optimal Sub-Band Analysis Based on the Envelope Power Spectrum for Effective Fault Detection in Bearing under Variable, Low Speeds. Sensors 2018, 18, 1389. [Google Scholar] [CrossRef] [PubMed]
- Baek, W.; Baek, S.; Kim, D.Y. Characterization of System Status Signals for Multivariate Time Series Discretization Based on Frequency and Amplitude Variation. Sensors 2018, 18, 154. [Google Scholar] [CrossRef] [PubMed]
- Yan, R.; Gao, R.X.; Chen, X. Wavelets for fault diagnosis of rotary machines: A review with applications. Signal Process. 2014, 96, 1–15. [Google Scholar] [CrossRef]
- Feng, Z.; Liang, M.; Chu, F. Recent advances in time-frequency analysis methods for machinery fault diagnosis: A review with application examples. Mech. Syst. Signal Process. 2013, 38, 165–205. [Google Scholar] [CrossRef]
- Lei, Y.; Lin, J.; He, Z.; Zuo, M.J. A review on empirical mode decomposition in fault diagnosis of rotating machinery. Mech. Syst. Signal Process. 2013, 35, 108–126. [Google Scholar] [CrossRef]
- Wei, Y.; Dong, Y.; Huang, X.; Zhang, Z. Nonlinearity measurement for low-pressure encapsulated MEMS gyroscopes by transient response. Mech. Syst. Signal Process. 2018, 100, 534–549. [Google Scholar] [CrossRef]
- Hayashi, T.; Song, W.J.; Rose, J.L. Guided wave dispersion curves for a bar with an arbitrary cross-section, a rod and rail example. Ultrasonics 2004, 41, 175–183. [Google Scholar] [CrossRef]
- Rostami, J.; Chen, J.; Tse, P.W. A Signal Processing Approach with a Smooth Empirical Mode Decomposition to Reveal Hidden Trace of Corrosion in Highly Contaminated Guided Wave Signals for Concrete-Covered Pipes. Sensors 2017, 17, 302. [Google Scholar] [CrossRef] [PubMed]
- Chudzikiewicz, A.; Bogacz, R.; Kostrzewski, M. Using Acceleration Signals Recorded on a Railway Vehicle Wheelsets for Rail Track Condition Monitoring. In Proceedings of the 7th European Workshop on Structural Health Monitoring (EWSHM), Nantes, France, 8–11 July 2014. [Google Scholar]
- Chudzikiewicz, A.; Bogacz, R.; Kostrzewski, M.; Konowrocki, R. Condition monitoring of railway track systems by using acceleration signals on wheelset axle-boxes. Transport 2018, 33, 30–42. [Google Scholar] [CrossRef]
- Garramiola, F.; del Olmo, J.; Poza, J.; Madina, P.; Almandoz, G. Integral Sensor Fault Detection and Isolation for Railway Traction Drive. Sensors 2018, 18, 1543. [Google Scholar] [CrossRef] [PubMed]
- Rilling, G.; Flandrin, P. One or two frequencies? The empirical mode decomposition answers. IEEE Trans. Signal Process. 2008, 56, 85–95. [Google Scholar] [CrossRef]
- Roy, A.; Doherty, J.F. Empirical mode decomposition frequency resolution improvement using the pre-emphasis and de-emphasis method. In Proceedings of the 42nd Annual Conference on IEEE Information Sciences and Systems, Princeton, NJ, USA, 19–21 March 2008; pp. 453–457. [Google Scholar]
- Sun, W.; Peng, Y.; Yang, Y. Method for improving frequency resolution of empirical mode decomposition. Comput. Eng. Appl. 2010, 46, 129–133. [Google Scholar]
- Hu, W.; Mo, J.; Du, M. Frequency-domain resolution and its improvement during empirical mode decomposition. J. South China Univ. Technol. 2007, 35, 15–19. [Google Scholar]
- Wu, Z.; Huang, N.E. Ensemble empirical mode decomposition: A noise-assisted data analysis method. Adv. Adapt. Data Anal. 2009, 1, 1–41. [Google Scholar] [CrossRef]
- Yeh, J.R.; Shieh, J.S.; Huang, N.E. Complementary ensemble empirical mode decomposition: A novel noise enhanced data analysis method. Adv. Adapt. Data Anal. 2010, 2, 135–156. [Google Scholar] [CrossRef]
- Torres, M.E.; Colominas, M.A.; Schlotthauer, G.; Flandrin, P. A complete ensemble empirical mode decomposition with adaptive noise. In Proceedings of the IEEE International Conference on Acoustics, Speech and Signal Processing (ICASSP), Prague, Czech Republic, 22–27 May 2011; pp. 4144–4147. [Google Scholar]
- Colominas, M.A.; Schlotthauer, G.; Torres, M.E. Improved complete ensemble EMD: A suitable tool for biomedical signal processing. Biomed. Signal Process. Control 2014, 14, 19–29. [Google Scholar] [CrossRef]
- Xu, Y.; Zhang, H. Recent mathematical developments on empirical mode decomposition. Adv. Adapt. Data Anal. 2009, 1, 681–702. [Google Scholar] [CrossRef]
- Flandrin, P.; Rilling, G.; Goncalves, P. Empirical mode decomposition as a filter bank. IEEE Signal Process. Lett. 2004, 11, 112–114. [Google Scholar] [CrossRef]
- Flandrin, P.; Goncalves, P. On empirical mode decomposition and its algorithms. In Proceedings of the IEEE-EURASIP Workshop on Nonlinear Signal and Image Processing (NSIP-03), Grado, Italy, 8–11 June 2003; Volume 3, pp. 8–11. Available online: https://hal.inria.fr/inria-00570628/en/ (accessed on 26 June 2018).
- Yang, J.N.; Lei, Y.; Pan, S.; Huang, N. System identification of linear structures based on Hilbert-Huang spectral analysis. Part 1: Normal modes. Earthq. Eng. Struct. Dyn. 2003, 32, 1443–1467. [Google Scholar] [CrossRef]
- Yang, J.N.; Lei, Y.; Pan, S.; Huang, N. System identification of linear structures based on Hilbert–Huang spectral analysis. Part 2: Complex modes. Eartq. Eng. Struct. Dyn. 2003, 32, 1533–1554. [Google Scholar] [CrossRef]
- Khan, I.; Shan, D.; Li, Q.; Jie, H. Continuous modal parameter identification of cable-stayed bridges based on a novel improved ensemble empirical mode decomposition. Struct. Infrastruct. Eng. 2018, 14, 177–191. [Google Scholar] [CrossRef]
- Pai, P.F.; Palazotto, A.N. Detection and identification of nonlinearities by amplitude and frequency modulation analysis. Mech. Syst. Signal Process. 2008, 22, 1107–1132. [Google Scholar] [CrossRef]
- Lee, Y.S.; Tsakirtzis, S.; Vakakis, A.F.; Bergman, L.A.; McFarland, D.M. A time-domain nonlinear system identification method based on multiscale dynamic partitions. Meccanica 2011, 46, 625–649. [Google Scholar] [CrossRef]
- Eriten, M.; Kurt, M.; Luo, G.; McFarland, D.M.; Bergman, L.A.; Vakakis, A.F. Nonlinear system identification of frictional effects in a beam with a bolted joint connection. Mech. Syst. Signal Process. 2013, 39, 245–264. [Google Scholar] [CrossRef]
- Goodarzi, H.; Sabzehparvar, M. Identifying flight modes of Aerial Planting Projectile using Hilbert-Huang transformation. Mech. Syst. Signal Process. 2017, 96, 333–347. [Google Scholar] [CrossRef]
- Chen, H.; Kurt, M.; Lee, Y.S.; McFarland, D.M.; Bergman, L.A.; Vakakis, A.F. Experimental system identification of the dynamics of a vibro-impact beam with a view towards structural health monitoring and damage detection. Mech. Syst. Signal Process. 2014, 46, 91–113. [Google Scholar] [CrossRef]
- Poon, C.W.; Chang, C.C. Identification of nonlinear elastic structures using empirical mode decomposition and nonlinear normal modes. Smart Struct. Syst. 2007, 3, 423–437. [Google Scholar] [CrossRef]
- Pai, P.F. Time-frequency characterization of nonlinear normal modes and challenges in nonlinearity identification of dynamical systems. Mech. Syst. Signal Process. 2011, 25, 2358–2374. [Google Scholar] [CrossRef]
- Bustos, A.; Rubio, H.; Castejón, C.; García-Prada, J.C. EMD-Based Methodology for the Identification of a High-Speed Train Running in a Gear Operating State. Sensors 2018, 18, 793. [Google Scholar] [CrossRef] [PubMed]
- Van, M.; Kang, H.J. Bearing-fault diagnosis using non-local means algorithm and empirical mode decomposition-based feature extraction and two-stage feature selection. Sci. Meas. Technol. 2015, 9, 671–680. [Google Scholar] [CrossRef]
- Wang, Y.; Lu, C.; Liu, H.; Wang, Y. Fault diagnosis for centrifugal pumps based on complementary ensemble empirical mode decomposition, sample entropy and random forest. In Proceedings of the IEEE Conference on Intelligent Control and Automation, Guilin, China, 12–15 June 2016; pp. 1317–1320. [Google Scholar]
- Ali, J.B.; Fnaiech, N.; Saidi, L.; Chebel-Morello, B.; Fnaiech, F. Application of empirical mode decomposition and artificial neural network for automatic bearing fault diagnosis based on vibration signals. Appl. Acoust. 2015, 89, 16–27. [Google Scholar]
- Zhang, X.; Liang, Y.; Zhou, J. A novel bearing fault diagnosis model integrated permutation entropy, ensemble empirical mode decomposition and optimized SVM. Measurement 2015, 69, 164–179. [Google Scholar] [CrossRef]
- Georgoulas, G.; Loutas, T.; Stylios, C.D.; Kostopoulos, V. Bearing fault detection based on hybrid ensemble detector and empirical mode decomposition. Mech. Syst. Signal Process. 2013, 41, 510–525. [Google Scholar] [CrossRef]
- Georgoulas, G.; Tsoumas, I.P.; Antonino-Daviu, J.A.; Climente-Alarcón, V.; Stylios, C.D.; Mitronikas, E.D.; Safacas, A.N. Automatic pattern identification based on the complex empirical mode decomposition of the startup current for the diagnosis of rotor asymmetries in asynchronous machines. IEEE Trans. Ind. Electron. 2014, 61, 4937–4946. [Google Scholar] [CrossRef]
- Van, M.; Kang, H.J.; Shin, K.S. Rolling element bearing fault diagnosis based on non-local means de-noising and empirical mode decomposition. IET Sci. Meas. Technol. 2014, 8, 571–578. [Google Scholar] [CrossRef]
- Yan, R.; Gao, R.X. Hilbert-Huang Transform-Based Vibration Signal Analysis for Machine Health Monitoring. IEEE Trans. Instrum. Meas. 2006, 55, 2320–2329. [Google Scholar] [CrossRef]
- Zhao, S.F.; Liang, L.; Xu, G.H.; Wang, J.; Zhang, W. Quantitative diagnosis of a spall-like fault of a rolling element bearing by empirical mode decomposition and the approximate entropy method. Mech. Syst. Signal Process. 2013, 40, 154–177. [Google Scholar] [CrossRef]
- Djebala, A.; Babouri, M.; Ouelaa, N. Rolling bearing fault detection using a hybrid method based on Empirical Mode Decomposition and optimized wavelet multi-resolution analysis. Int. J. Adv. Manuf. Technol. 2015, 79, 2093–2105. [Google Scholar] [CrossRef]
- Saidi, L.; Ali, J.B.; Fnaiech, F. Bi-spectrum based-EMD applied to the non-stationary vibration signals for bearing faults diagnosis. ISA Trans. 2014, 53, 1650–1660. [Google Scholar] [CrossRef] [PubMed]
- Le, D.H.; Cheng, J.; Yang, Y.; Tran, T.; Pham, V. Gears Fault Diagnosis Method Using Ensemble Empirical Mode Decomposition Energy Entropy Assisted ACROA-RBF Neural Network. J. Comput. Theor. Nanosci. 2016, 13, 3222–3232. [Google Scholar] [CrossRef]
- Wang, H.; Li, R.; Tang, G.; Yuan, H.; Zhao, Q.; Cao, X. A Compound fault diagnosis for rolling bearings method based on blind source separation and ensemble empirical mode decomposition. PLoS ONE 2014, 9, e109166. [Google Scholar] [CrossRef] [PubMed]
- Meng, Z.; Yan, X.L. Fault Diagnosis Method for Rolling Bearing Based on Differential-based Empirical Mode Decomposition and Hidden Markov Model. Acta Metrol. Sin. 2015, 36, 482–486. [Google Scholar]
- Zheng, J.; Cheng, J.; Yang, Y. Generalized empirical mode decomposition and its applications to rolling element bearing fault diagnosis. Mech. Syst. Signal Process. 2013, 40, 136–153. [Google Scholar] [CrossRef]
- Feng, Z.; Zuo, M.J.; Hao, R.; Chu, F.; Lee, J. Ensemble empirical mode decomposition-based Teager energy spectrum for bearing fault diagnosis. J. Vib. Acoust. 2013, 135, 031013. [Google Scholar] [CrossRef]
- Zheng, J.; Cheng, J.; Yang, Y. Partly ensemble empirical mode decomposition: An improved noise-assisted method for eliminating mode mixing. Signal Process. 2014, 96, 362–374. [Google Scholar] [CrossRef]
- Jiang, H.; Li, C.; Li, H. An improved EEMD with multiwavelet packet for rotating machinery multi-fault diagnosis. Mech. Syst. Signal Process. 2013, 36, 225–239. [Google Scholar] [CrossRef]
- Lei, Y.; Zuo, M.J. Fault diagnosis of rotating machinery using an improved HHT based on EEMD and sensitive IMFs. Meas. Sci. Technol. 2009, 20, 125701. [Google Scholar] [CrossRef]
- Zhang, J.; Yan, R.; Gao, R.X.; Feng, Z. Performance enhancement of ensemble empirical mode decomposition. Mech. Syst. Signal Process. 2010, 24, 2104–2123. [Google Scholar] [CrossRef]
- Sharma, R.; Vignolo, L.; Schlotthauer, G.; Colominas, M.A.; Rufiner, H.L.; Prasanna, S.R.M. Empirical Mode Decomposition for adaptive AM-FM analysis of Speech: A review. Speech Commun. 2017, 88, 39–64. [Google Scholar] [CrossRef]
- Feng, Z.; Liang, M.; Zhang, Y.; Hou, S. Fault diagnosis for wind turbine planetary gearboxes via demodulation analysis based on ensemble empirical mode decomposition and energy separation. Renew. Energy 2012, 47, 112–126. [Google Scholar] [CrossRef]
- Gilles, J. Empirical wavelet transform. IEEE Trans. Signal Process. 2013, 61, 3999–4010. [Google Scholar] [CrossRef]
- Pudn.com. Available online: http://www.pudn.com/Download/item/id/2735946.html (accessed on 11 April 2015).
- Yuan, M.; Sadhu, A.; Liu, K. Condition assessment of structure with tuned mass damper using empirical wavelet transform. J. Vib. Control 2017. [Google Scholar] [CrossRef]
- Hu, J.; Wang, J. Short-term wind speed prediction using empirical wavelet transform and Gaussian process regression. Energy 2015, 93, 1456–1466. [Google Scholar] [CrossRef]
- Reddy, G.R.S.; Rao, R. Empirical Wavelet Transform Based Approach for Extraction of Fundamental Component and Estimation of Time-Varying Power Quality Indices in Power Quality Disturbances. Int. J. Signal Process. Image Process. Pattern Recognit. 2016, 9, 161–180. [Google Scholar] [CrossRef]
- Thirumala, K.; Umarikar, A.C.; Jain, T. Estimation of single-phase and three-phase power-quality indices using empirical wavelet transform. IEEE Trans. Power Deliv. 2015, 30, 445–454. [Google Scholar] [CrossRef]
- Thirumala, K.; Jain, T.; Umarikar, A.C. Visualizing time-varying power quality indices using generalized empirical wavelet transform. Electr. Power Syst. Res. 2017, 143, 99–109. [Google Scholar] [CrossRef]
- Li, Y.; Xue, B.; Hong, H.; Zhu, X. Instantaneous pitch estimation based on empirical wavelet transform. In Proceedings of the IEEE 19th International Conference on Digital Signal Processing (DSP), Hong Kong, China, 20–23 August 2014; pp. 250–253. [Google Scholar]
- Liu, T.; Li, J.; Cai, X.; Yan, S. A time-frequency analysis algorithm for ultrasonic waves generating from a debonding defect by using empirical wavelet transform. Appl. Acoust. 2018, 131, 16–27. [Google Scholar] [CrossRef]
- Gilles, J.; Heal, K. A parameterless scale-space approach to find meaningful modes in histograms-Application to image and spectrum segmentation. Int. J. Wavel. Multiresolut. Inf. Process. 2014, 12, 1–17. [Google Scholar] [CrossRef]
- Zheng, J.; Pan, H.; Yang, S.; Cheng, J. Adaptive parameterless empirical wavelet transform based time-frequency analysis method and its application to rotor rubbing fault diagnosis. Signal Process. 2017, 130, 305–314. [Google Scholar] [CrossRef]
- Jiang, X.; Li, S.; Cheng, C.; Li, A. A new method ewt-based for rolling element bearing weak fault diagnosis. In Proceedings of the ASME 2015 International Design Engineering Technical Conferences and Computers and Information in Engineering Conference, Boston, MA, USA, 2–5 August 2015. [Google Scholar]
- Kedadouche, M.; Thomas, M.; Tahan, A. A comparative study between Empirical Wavelet Transforms and Empirical Mode Decomposition Methods: Application to bearing defect diagnosis. Mech. Syst. Signal Process. 2016, 81, 88–107. [Google Scholar] [CrossRef]
- Kedadouche, M.; Liu, Z.; Vu, V.H. A new approach based on OMA-empirical wavelet transforms for bearing fault diagnosis. Measurement 2016, 90, 292–308. [Google Scholar] [CrossRef]
- Chen, J.; Pan, J.; Li, Z.; Zi, Y.; Chen, X. Generator bearing fault diagnosis for wind turbine via empirical wavelet transform using measured vibration signal. Renew. Energy 2016, 89, 80–92. [Google Scholar] [CrossRef]
- Pan, J.; Chen, J.; Zi, Y.; Li, Y.; He, Z. Mono-component feature extraction for mechanical fault diagnosis using modified empirical wavelet transform via data-driven adaptive Fourier spectrum segment. Mech. Syst. Signal Process. 2016, 72, 160–183. [Google Scholar] [CrossRef]
- Hu, Y.; Li, F.; Li, H.; Liu, C. An enhanced empirical wavelet transform for noisy and non-stationary signal processing. Digit. Signal Process. 2017, 60, 220–229. [Google Scholar] [CrossRef]
- Huang, N.; Chen, H.; Zhang, S.; Cai, G.; Li, W.; Xu, D.; Fang, L. Mechanical fault diagnosis of high voltage circuit breakers based on wavelet time-frequency entropy and one-class support vector machine. Entropy 2015, 18, 7. [Google Scholar] [CrossRef]
- Merainani, B.; Benazzouz, D.; Bouamama, B.O.; Rahmoune, C. Early fault diagnosis of gearbox using empirical wavelet transform and hilbert transform. In Proceedings of the Mediterranean Conference on Control and Automation, Athens, Greece, 21–24 June 2016. [Google Scholar]
- Merainani, B.; Benazzouz, D.; Rahmoune, C. Early detection of tooth crack damage in gearbox using empirical wavelet transform combined by Hilbert transform. J. Vib. Control 2017, 23, 1623–1634. [Google Scholar] [CrossRef]
- Jiang, Y.; Zhu, H.; Li, Z. A new compound faults detection method for rolling bearings based on empirical wavelet transform and chaotic oscillator. Chaos Solitons Fractals 2016, 89, 8–19. [Google Scholar] [CrossRef]
- Li, Z.; Zhu, M.; Chu, F.; Xiao, Y. Mechanical fault diagnosis method based on empirical wavelet transform. Chin. J. Sci. Inst. 2014, 35, 2423–2432. [Google Scholar]
- Li, Z.; Gao, J. Random-noise attenuation by an amplitude-preserved time-frequency peak based on empirical wavelet transform predictive filtering. In Proceedings of the SEG International Exposition and Annual Meeting, Dallas, TX, USA, 16–21 October 2016; Technical Program Expanded Abstracts; Society of Exploration Geophysicists: Dallas, TX, USA, 2016; pp. 4830–4834. [Google Scholar]
- Thirumala, K.; Umarikar, A.C.; Jain, T. A generalized empirical wavelet transform for classification of power quality disturbances. In Proceedings of the International Conference on Power System Technology, Wollongong, Australia, 28 September–1 October 2016. [Google Scholar]
- Dragomiretskiy, K.; Zosso, D. Variational mode decomposition. IEEE Trans. Signal Process. 2014, 62, 531–544. [Google Scholar] [CrossRef]
- Upadhyay, A.; Sharma, M.; Pachori, R.B. Determination of instantaneous fundamental frequency of speech signals using variational mode decomposition. Comput. Electr. Eng. 2017, 62, 630–647. [Google Scholar] [CrossRef]
- Upadhyay, A.; Pachori, R.B. Instantaneous voiced/non-voiced detection in speech signals based on variational mode decomposition. J. Frankl. Inst. 2015, 352, 2679–2707. [Google Scholar] [CrossRef]
- Yin, A.; Ren, H. A propagating mode extraction algorithm for microwave waveguide using variational mode decomposition. Meas. Sci. Technol. 2015, 26, 095009. [Google Scholar] [CrossRef]
- Gao, Z.; Wang, X.; Lin, J.; Liao, Y. Online evaluation of metal burn degrees based on acoustic emission and variational mode decomposition. Measurement 2017, 103, 302–310. [Google Scholar] [CrossRef]
- Li, Y.; Li, Y.; Chen, X.; Yu, J. A Novel Feature Extraction Method for Ship-Radiated Noise Based on Variational Mode Decomposition and Multi-Scale Permutation Entropy. Entropy 2017, 19, 342. [Google Scholar]
- Wang, Y.; Markert, R.; Xiang, J.; Zheng, W. Research on variational mode decomposition and its application in detecting rub-impact fault of the rotor system. Mech. Syst. Signal Process. 2015, 60, 243–251. [Google Scholar] [CrossRef]
- Aneesh, C.; Kumar, S.; Hisham, P.M.; Soman, K.P. Performance Comparison of Variational Mode Decomposition over Empirical Wavelet Transform for the Classification of Power Quality Disturbances Using Support Vector Machine. Procedia Comput. Sci. 2015, 46, 372–380. [Google Scholar] [CrossRef]
- Gupta, K.K.; Raju, K.S. Bearing fault analysis using variational mode decomposition. In Proceedings of the IEEE International Conference on Industrial and Information Systems, Gwalior, India, 15–17 December 2014; pp. 1–6. [Google Scholar]
- Lv, Z.; Tang, B.; Zhou, Y.; Zhou, C. A novel method for mechanical fault diagnosis based on variational mode decomposition and multikernel support vector machine. Shock Vib. 2016, 2016, 3196465. [Google Scholar] [CrossRef]
- Muralidharan, A.; Sugumaran, V.; Soman, K.P.; Amarnath, M. Fault diagnosis of helical gear box using variational mode decomposition and random forest algorithm. SDHM Struct. Durab. Health Monit. 2015, 10, 5–80. [Google Scholar]
- Liu, C.; Wu, Y.; Zhen, C. Rolling bearing fault diagnosis based on variational mode decomposition and fuzzy C means clustering. Zhongguo Dianji Gongcheng Xuebao/Proc. Chin. Soc. Electr. Eng. 2015, 35, 3358–3365. [Google Scholar]
- Tang, G.; Luo, G.; Zhang, W.; Yang, C.; Wang, H. Underdetermined blind source separation with variational mode decomposition for compound roller bearing fault signals. Sensors 2016, 16, 897. [Google Scholar] [CrossRef] [PubMed]
- Zhang, S.; Wang, Y.; He, S.; Jiang, Z. Bearing fault diagnosis based on variational mode decomposition and total variation denoising. Meas. Sci. Technol. 2016, 27, 075101. [Google Scholar] [CrossRef]
- Zhang, M.; Jiang, Z.; Feng, K. Research on variational mode decomposition in rolling bearings fault diagnosis of the multistage centrifugal pump. Mech. Syst. Signal Process. 2017, 93, 460–493. [Google Scholar] [CrossRef]
- An, X.; Pan, L. Bearing fault diagnosis of a wind turbine based on variational mode decomposition and permutation entropy. J. Risk Reliab. 2017, 231, 200–206. [Google Scholar] [CrossRef]
- An, X.; Zeng, H.; Li, C. Envelope demodulation based on variational mode decomposition for gear fault diagnosis. ARCHIVE Proc. Inst. Mech. Eng. Part 2017, 231, 864–870. [Google Scholar] [CrossRef]
- An, X.; Tang, Y. Application of variational mode decomposition energy distribution to bearing fault diagnosis in a wind turbine. Trans. Inst. Meas. Control 2016, 5, 753–772. [Google Scholar] [CrossRef]
- Yang, Y.; Jiang, D. Casing vibration fault diagnosis based on variational mode decomposition, local linear embedding, and support vector machine. Shock Vib. 2017, 2017. [Google Scholar] [CrossRef]
- Huang, N.; Chen, H.; Cai, G.; Fang, L.; Wang, Y. Mechanical fault diagnosis of high voltage circuit breakers based on variational mode decomposition and multi-layer classifier. Sensors 2016, 16, 1887. [Google Scholar] [CrossRef] [PubMed]
- Yi, C.; Lv, Y.; Dang, Z. A fault diagnosis scheme for rolling bearing based on particle swarm optimization in variational mode decomposition. Shock Vib. 2016, 2, 1–10. [Google Scholar] [CrossRef]
- Liu, S.; Tang, G.; Wang, X.; He, Y. Time-frequency analysis based on improved variational mode decomposition and teager energy operator for rotor system fault diagnosis. Math. Probl. Eng. 2016. [Google Scholar] [CrossRef]
- Zhu, J.; Wang, C.; Hu, Z.; Kong, F.; Liu, X. Adaptive variational mode decomposition based on artificial fish swarm algorithm for fault diagnosis of rolling bearings. ARCHIVE Proc. Inst. Mech. Eng. Part 2017, 231, 635–654. [Google Scholar] [CrossRef]
- An, X.; Yang, J. Denoising of hydropower unit vibration signal based on variational mode decomposition and approximate entropy. Trans. Inst. Meas. Control 2015, 38, 282–292. [Google Scholar] [CrossRef]
- Liu, Y.; Yang, G.; Li, M.; Yin, H. Variational mode decomposition denoising combined the detrended fluctuation analysis. Signal Process. 2016, 125, 349–364. [Google Scholar] [CrossRef]
- Yao, J.; Xiang, Y.; Qian, S.; Wang, S.; Wu, S. Noise source identification of diesel engine based on variational mode decomposition and robust independent component analysis. Appl. Acoust. 2017, 116, 184–194. [Google Scholar] [CrossRef]
- Yang, W.; Peng, Z.; Wei, K.; Shi, P.; Tian, W. Superiorities of variational mode decomposition over empirical mode decomposition particularly in time-frequency feature extraction and wind turbine condition monitoring. IET Renew. Power Gener. 2017, 11, 443–452. [Google Scholar] [CrossRef]
- Zhao, L.; Li, C.; Zhu, Y.; Chen, X.; Guo, X.; Gao, Y. Power transformer partial discharge signal de-noising based on variational mode decomposition. In Proceedings of the 2015 International Conference on Intelligent Systems Research and Mechatronics Engineering, Zhengzhou, China, 11–13 April 2015. [Google Scholar]
- Lahmiri, S.; Boukadoum, M. Physiological signal denoising with variational mode decomposition and weighted reconstruction after DWT thresholding. In Proceedings of the IEEE International Symposium on Circuits and Systems, Lisbon, Portugal, 24–27 May 2015; pp. 806–809. [Google Scholar]
- Vold, H.; Leuridan, J. High Resolution Order Tracking at Extreme Slew Rate, Using Kalman Tracking Filters; SAE Paper No. 931288; SAE: Warrendale, PA, USA, 1993. [Google Scholar]
- Vold, H.; Mains, M.; Blough, J. Theoretical Foundation for High Performance Order Tracking with the Vold-Kalman Tracking Filter; SAE Paper No. 972007; SAE: Warrendale, PA, USA, 1997. [Google Scholar]
- Vold, H.; Herlufsen, H.; Mains, M.; Corwin-Renner, D. Multi axle order tracking with the Vold-Kalman tracking filter. Sound Vib. 1997, 31, 30–35. [Google Scholar]
- Pan, M.C.; Lin, Y.F. Further exploration of Vold–Kalman-filtering order tracking with shaft-speed information—I: Theoretical part, numerical implementation and parameter investigations. Mech. Syst. Signal Process. 2006, 20, 1134–1154. [Google Scholar] [CrossRef]
- Pan, M.C.; Lin, Y.F. Further exploration of Vold-Kalman-filtering order tracking with shaft-speed information—II: Engineering applications. Mech. Syst. Signal Process. 2006, 20, 1410–1428. [Google Scholar] [CrossRef]
- Abbasbandy, S.; Ezzati, R.; Jafarian, A. LU decomposition method for solving fuzzy system of linear equations. Appl. Math. Comput. 2006, 172, 633–643. [Google Scholar] [CrossRef]
- Haykin, S. Adaptive Filter Theory; Prentice-Hall: New York, NY, USA, 1996. [Google Scholar]
- Wu, J.D.; Huang, C.W.; Huang, R. An application of a recursive Kalman filtering algorithm in rotating machinery fault diagnosis. Ndt E Int. 2004, 37, 411–419. [Google Scholar] [CrossRef]
- Pan, M.C.; Wu, C.X. Adaptive Vold-Kalman filtering order tracking. Mech. Syst. Signal Process. 2007, 21, 2957–2969. [Google Scholar] [CrossRef]
- Pan, M.C.; Chu, W.C.; Le, D.D. Adaptive angular-velocity Vold-Kalman filter order tracking—Theoretical basis, numerical implementation and parameter investigation. Mech. Syst. Signal Process. 2016, 81, 148–161. [Google Scholar] [CrossRef]
- Pan, M.C.; Wu, C.X. Extended angular-velocity Vold-Kalman order tracking. J. Dyn. Syst. Meas. Control 2010, 132, 031001. [Google Scholar] [CrossRef]
- Wang, K.S.; Heyns, P.S. Application of computed order tracking, Vold-Kalman filtering and EMD in rotating machine vibration. Mech. Syst. Signal Process. 2011, 25, 416–430. [Google Scholar] [CrossRef]
- Wang, K.S.; Heyns, P.S. Vold-kalman filter order tracking in vibration monitoring of electrical machines. J. Vib. Control 2009, 15, 1325–1347. [Google Scholar] [CrossRef]
- Guo, Y.; Tan, K.K. High efficient crossing-order decoupling in Vold–Kalman filtering order tracking based on independent component analysis. Mech. Syst. Signal Process. 2010, 24, 1756–1766. [Google Scholar] [CrossRef]
- Feng, Z.; Qin, S.; Liang, M. Time-frequency analysis based on Vold-Kalman filter and higher order energy separation for fault diagnosis of wind turbine planetary gearbox under nonstationary conditions. Renew. Energy 2016, 85, 45–56. [Google Scholar] [CrossRef]
- Abadi, M.K.B.; Hajnayeb, A.; Hosseingholizadeh, A.; Ghasemloonia, A. Single and multiple misfire detection in internal combustion engines using Vold-Kalman filter order-tracking. In Proceedings of the SAE 2011 Noise and Vibration Conference and Exhibition, Grand Rapids, MI, USA, 16–19 May 2011. [Google Scholar]
- Pan, M.C.; Li, P.C.; Cheng, Y.R. Remote online machine condition monitoring system. Measurement 2008, 41, 912–921. [Google Scholar] [CrossRef]
- Wang, K.; Heyns, P.S. A comparison between two conventional order tracking techniques in rotating machine diagnostics. In Proceedings of the 2011 IEEE International Conference on Quality, Reliability, Risk, Maintenance, and Safety Engineering (ICQR2MSE), Xi’an, China, 17–19 June 2011; pp. 478–481. [Google Scholar]
- Wang, K.S.; Guo, D.; Heyns, P.S. The application of order tracking for vibration analysis of a varying speed rotor with a propagating transverse crack. Eng. Fail. Anal. 2012, 21, 91–101. [Google Scholar] [CrossRef]
- Bai, M.; Huang, J.; Hong, M.; Su, F. Fault diagnosis of rotating machinery using an intelligent order tracking system. J. Sound Vib. 2005, 280, 699–718. [Google Scholar] [CrossRef]
- Urresty, J.C.; Riba, J.R.; Romeral, L. Diagnosis of interturn faults in PMSMs operating under nonstationary conditions by applying order tracking filtering. IEEE Trans. Power Electron. 2013, 28, 507–515. [Google Scholar] [CrossRef]
- Hang, J.; Zhang, J.; Cheng, M. Fault diagnosis of wind turbine using control loop current signals. In Proceedings of the IEEE Conference on Energy Conversion Congress and Exposition, Pittsburgh, PA, USA, 14–18 September 2014; pp. 3119–3124. [Google Scholar]
- Yeh, T.C.; Pan, M.C. Online Real-Time Monitoring System through Using Adaptive Angular-Velocity VKF Order Tracking. In Proceedings of the ASME 2012 International Design Engineering Technical Conferences and Computers and Information in Engineering Conference on American Society of Mechanical Engineers, Chicago, IL, USA, 12–15 August 2012; pp. 159–163. [Google Scholar]
- Wu, J.D.; Bai, M.R.; Su, F.C.; Huang, C.W. An expert system for the diagnosis of faults in rotating machinery using adaptive order-tracking algorithm. Expert Syst. Appl. 2009, 36, 5424–5431. [Google Scholar] [CrossRef]
- Zhang, Y.; Lian, J.; Liu, F. An improved filtering method based on EEMD and wavelet-threshold for modal parameter identification of hydraulic structure. Mech. Syst. Signal Process. 2016, 68, 316–329. [Google Scholar] [CrossRef]
- Ta, M.N.; Lardiès, J. Identification of weak nonlinearities on damping and stiffness by the continuous wavelet transform. J. Sound Vib. 2006, 293, 16–37. [Google Scholar] [CrossRef]
- Li, Y.; Liang, X.; Xu, M.; Huang, W. Early fault feature extraction of rolling bearing based on ICD and tunable Q-factor wavelet transform. Mech. Syst. Signal Process. 2017, 86, 204–223. [Google Scholar] [CrossRef]
- Gao, Z.; Lin, J.; Wang, X.; Xu, X. Bearing fault detection based on empirical wavelet transform and correlated kurtosis by acoustic emission. Materials 2017, 10, 571. [Google Scholar] [CrossRef] [PubMed]
- Li, Y.; Xu, M.; Liang, X.; Huang, W. Application of bandwidth EMD and adaptive multiscale morphology analysis for incipient fault diagnosis of rolling bearings. IEEE Trans. Ind. Electron. 2017, 64, 6506–6517. [Google Scholar] [CrossRef]
- Yang, Y.; Zhang, W.; Peng, Z.; Meng, G. Multicomponent Signal Analysis Based on Polynomial Chirplet Transform. IEEE Trans. Ind. Electron. 2013, 60, 3948–3956. [Google Scholar] [CrossRef]
- Peng, Z.; Meng, G.; Chu, F.L.; Lang, Z.Q.; Zhang, W.M.; Yang, Y. Polynomial Chirplet Transform with Application to Instantaneous Frequency Estimation. IEEE Trans. Instrum. Meas. 2011, 60, 3222–3229. [Google Scholar] [CrossRef]
- Feng, Z.; Chen, X.; Liang, M. Iterative generalized synchrosqueezing transform for fault diagnosis of wind turbine planetary gearbox under nonstationary conditions. Mech. Syst. Signal Process. 2015, 52, 360–375. [Google Scholar] [CrossRef]














































| Objects | References | Methodologies | |
|---|---|---|---|
| Precise filter operation | Non-linear system | Lee et al. [30] | EMD |
| Chen et al. [33] | |||
| Poon et al. [34] | |||
| Beam with a bolted joint connection | Eriten et al. [31] | ||
| Non-linear system | Yang et al. [26,27] | EMD + HT | |
| Pai et al. [29] | |||
| Aerial Planting Projectile flight data | Goodarzi et al. [32] | ||
| Non-linear system | Pai et al. [35] | EMD + conjugate-pair decomposition method | |
| Cable-stayed bridge | Khan et al. [28] | EEMD + Pareto technique | |
| Rough filter operation | Bear | Van et al. [37] | EMD + non-local-means de-noising + particle swarm optimization + K-nearest neighbors, probabilistic neural network and support-vector machine |
| Ali et al. [39] | EMD + artificial neural network | ||
| Georgoulas et al. [41] | EMD + HT | ||
| Georgoulas et al. [42] | EMD + HT+ hidden Markov model | ||
| Meng et al. [50] | EMD + hidden Markov model classifier | ||
| Zhao et al. [45] | EMD + the approximate entropy method | ||
| Djebala et al. [46] | EMD + optimized wavelet multi-resolution | ||
| Saidi et al. [47] | EMD + Bi-spectrums, a third-order statistic | ||
| Wang et al. [49] | EMD + ICA | ||
| Zhang et al. [40] | EEMD + support-vector machine | ||
| Zheng et al. [51] | GEMD + EED | ||
| Zheng et al. [53] | PEEMD | ||
| High-speed train | Bustos et al. [36] | EMD | |
| Centrifugal pumps | Wang et al. [38] | CEEMD + random forest classifier | |
| Gear | Le et al. [48] | EMD + radial basis function neural network | |
| Rotating machinery | Jiang et al. [54] | EEMD + multiwavelet packet | |
| Objects | References | Methodologies | ||
|---|---|---|---|---|
| Precise filter operation | speech signal | Upadhyay et al. [84] | VMD | |
| Upadhyay et al. [85] | ||||
| X-band open-ended rectangular waveguide | Yin et al. [86] | |||
| metal burn degrees | Gao et al. [87] | |||
| ship-radiated noise | Li et al. [88] | VMD + support vector machine | ||
| Rough filter operation | Bearings | Lv et al. [92] | VMD + multikernel support vector machine | |
| Liu et al. [94] | VMD + singular value decomposition and standard fuzzy C means clustering | |||
| Tang et al. [95] | VMD + HT + ICA | |||
| An et al. [98] | VMD + nearest neighbor algorithm | |||
| An et al. [100] | VMD + K nearest neighbor algorithm | |||
| Yang et al. [101] | VMD + multiclass support vector machine | |||
| Power signal | Aneesh et al. [90] | VMD + support vector machine | ||
| Gear | Muralidharan et al. [93] | VMD + J48 decision tree algorithm | ||
| Voltage circuit breaker | Huang et al. [102] | VMD + one-class support vector machine | ||
| Improving VMD | Bearings | Yi et al. [103] | VMD + particle swarm optimization | |
| Zhu et al. [105] | VMD + artificial fish swarm | |||
| Rotor system | Liu et al. [94] | VMD + correlation coefficient criterion | ||
| De-noising | Bearings | Zhang et al. [96] | VMD + majoriation–minization-based total variation | |
| Hydropower unit | An et al. [106] | VMD + approximate entropy | ||
| Bumps, Blocks, Heavysine, Doppler and ECG | Liu et al. [107] | VMD + detrended fluctuation analysis | ||
| Diesel engine | Yao et al. [108] | VMD + robust independent component analysis | ||
| Method | Applicable Scope | Inapplicable Scope | Further Work |
|---|---|---|---|
| Algorithms deriving from EMD | The IFs of different component are in an enough distinction degree. | The ratio is greater than 0.75. In addition, the ratio (low IF/high IF) is less than 0.5, which can obtain a promising decomposition. |
|
| EWT | Different components can be separated in Fourier spectrum. | Different components overlap in Fourier spectrum. |
|
| VMD | Different components can be separated in Fourier spectrum. | Different components overlap in Fourier spectrum. |
|
| VKF_OT | The component IF is available. | The component IF is unknown. In addition, the calculation accuracy of mono-component depends on the precision of corresponding IF. |
|
| Method | Further Work |
|---|---|
| Algorithms deriving from EMD |
|
| EWT |
|
| VMD |
|
© 2018 by the authors. Licensee MDPI, Basel, Switzerland. This article is an open access article distributed under the terms and conditions of the Creative Commons Attribution (CC BY) license (http://creativecommons.org/licenses/by/4.0/).
Share and Cite
Liu, T.; Luo, Z.; Huang, J.; Yan, S. A Comparative Study of Four Kinds of Adaptive Decomposition Algorithms and Their Applications. Sensors 2018, 18, 2120. https://doi.org/10.3390/s18072120
Liu T, Luo Z, Huang J, Yan S. A Comparative Study of Four Kinds of Adaptive Decomposition Algorithms and Their Applications. Sensors. 2018; 18(7):2120. https://doi.org/10.3390/s18072120
Chicago/Turabian StyleLiu, Tao, Zhijun Luo, Jiahong Huang, and Shaoze Yan. 2018. "A Comparative Study of Four Kinds of Adaptive Decomposition Algorithms and Their Applications" Sensors 18, no. 7: 2120. https://doi.org/10.3390/s18072120
APA StyleLiu, T., Luo, Z., Huang, J., & Yan, S. (2018). A Comparative Study of Four Kinds of Adaptive Decomposition Algorithms and Their Applications. Sensors, 18(7), 2120. https://doi.org/10.3390/s18072120

