Development and Hybrid Position/Force Control of a Dual-Drive Macro-Fiber-Composite Microgripper
Abstract
1. Introduction
2. Description of the MFC Microgripper
3. Hybrid Position/Force Controller Design
3.1. Position Controller Design for the Right Gripping Arm of the Microgripper
3.2. Force Controller Design for the Left Gripping Arm of the Microgripper
3.3. Hybrid Position/Force Controller Design for the MFC Microgripper
4. Experimental Results and Discussions
4.1. Prototype Development
4.2. Output Displacement Test
4.3. Force Observer Development
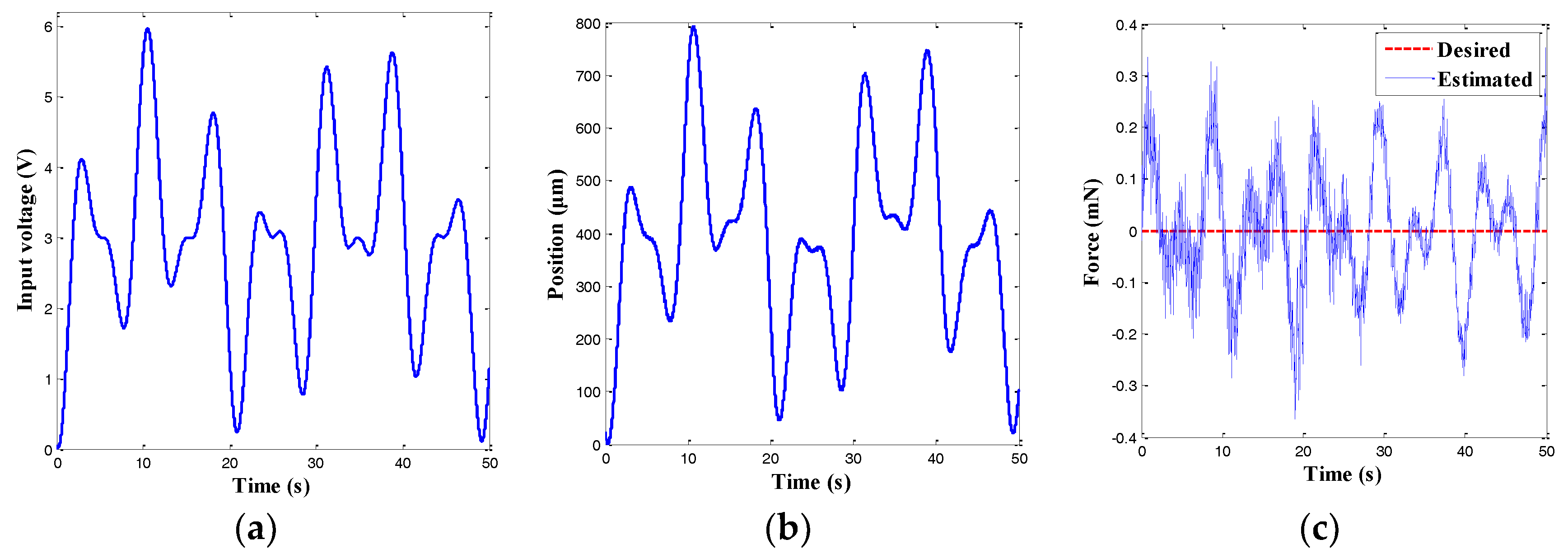
4.4. Experimental Results for the Hybrid Position/Force Control
4.4.1. Experimental Results for the Single Position Control
4.4.2. Experimental Results for the SingleForce Control
4.4.3. Experimental Results for the Hybrid Position/Force Control
4.5. Discussion
5. Conclusions
- (1)
- The proposed MFC microgripper presented a large output displacement and a high displacement-volume ratio, which demonstrated that the microgripper was capable of multiscale micromanipulation;
- (2)
- The designed hybrid control scheme, which employed the FSMC combined with the PI controller, was feasible. The control scheme was able to regulate both the position and the gripping force simultaneously, and its effectiveness and simplicity make it suitable for industry systems.
Acknowledgments
Author Contributions
Conflicts of Interest
References
- Bharanidaran, R.; Ramesh, T. A modified post-processing technique to design a compliant based microgripper with a plunger using topological optimization. Int. J. Adv. Manuf. Technol. 2017, 93, 103–112. [Google Scholar] [CrossRef]
- Li, P.; Gu, H.C.; Song, G.B.; Zhang, R.; Mo, Y.L. Concrete structural health monitoring using piezoceramic-based wireless sensor networks. Smart Struct. Syst. 2010, 6, 731–748. [Google Scholar] [CrossRef]
- El-Sayed, A.M.; Abo-Ismail, A.; El-Melegy, M.T.; Hamzaid, N.A.; Abu Osman, N.A. Development of a micro-gripper using piezoelectric bimorphs. Sensors 2013, 13, 5826–5840. [Google Scholar] [CrossRef] [PubMed]
- Sethi, V.; Franchek, M.A.; Song, G.B. Active multimodal vibration suppression of a flexible structure with piezoceramic sensor and actuator by using loop shaping. J. Vib. Control 2011, 17, 1994–2006. [Google Scholar] [CrossRef]
- Sethi, V.; Song, G.B. Multimodal vibration control of a flexible structure using piezoceramic sensor and actuator. J. Intell. Mater. Syst. Struct. 2008, 19, 573–582. [Google Scholar] [CrossRef]
- Zhang, T.; Li, H.G.; Zhong, Z.Y.; Cai, G.P. Hysteresis model and adaptive vibration suppression for a smart beam with time delay. J. Sound Vib. 2015, 358, 35–47. [Google Scholar] [CrossRef]
- Pandey, A.; Arockiarajan, A. An experimental and theoretical fatigue study on macro fiber composite (MFC) under thermo-mechanical loadings. Eur. J. Mech. A-Solids 2017, 66, 26–44. [Google Scholar] [CrossRef]
- Wang, D.H.; Yang, Q.; Dong, H.M. A monolithic compliant piezoelectric-driven microgripper: Design, modeling, and testing. IEEE-ASME Trans. Mech. 2013, 18, 138–147. [Google Scholar] [CrossRef]
- Ai, W.J.; Xu, Q.S. Overview of flexure-based compliant microgrippers. Adv. Robot. Res. 2014, 1, 1–19. [Google Scholar] [CrossRef]
- Rakotondrabe, M.; Ivan, I.A. Development and force/position control of a new hybrid thermo-piezoelectric microgripper dedicated to micromanipulation tasks. IEEE Trans. Autom. Sci. Eng. 2011, 8, 824–834. [Google Scholar] [CrossRef]
- Yang, Y.L.; Wei, Y.D.; Lou, J.Q.; Tian, G.; Zhao, X.W.; Fu, L. A new piezo-driven microgripper based on the double-rocker mechanism. Smart Mater. Struct. 2015, 24, 075031. [Google Scholar] [CrossRef]
- Sun, X.T.; Chen, W.H.; Tian, Y.L.; Fatikow, S.; Zhou, R.; Zhang, J.B.; Mikczinski, M. A novel flexure-based microgripper with double amplification mechanisms for micro/nano manipulation. Rev. Sci. Instrum. 2013, 84, 085002. [Google Scholar] [CrossRef] [PubMed]
- Yang, Y.L.; Wei, Y.D.; Lou, J.Q.; Fu, L.; Tian, G.; Wu, M. Hysteresis modeling and precision trajectory control for a new MFC micromanipulator. Sens. Actuator A-Phys. 2016, 247, 37–52. [Google Scholar] [CrossRef]
- Komati, B.; Clevy, C.; Lutz, P. High bandwidth microgripper with integrated force sensors and position estimation for the grasp of multistiffnessmicrocomponents. IEEE-ASME Trans. Mech. 2016, 21, 2039–2049. [Google Scholar] [CrossRef]
- Xu, Q.S. Design and smooth position/force switching control of a miniature gripper for automated microhandling. IEEE Trans. Ind. Electron. 2014, 10, 1023–1032. [Google Scholar] [CrossRef]
- Wang, F.J.; Liang, C.M.; Tian, Y.L.; Zhao, X.Y.; Zhang, D.W. Design and control of a compliant microgripper with a large amplification ratio for high-speed micro manipulation. IEEE-ASME Trans. Mech. 2016, 21, 1262–1271. [Google Scholar] [CrossRef]
- Xu, Q.S. Precision position/force interaction control of a piezoelectric multimorph microgripper for microassembly. IEEE Trans. Autom. Sci. Eng. 2013, 10, 503–514. [Google Scholar] [CrossRef]
- Xu, Q.S. Robust impedance control of a compliant microgripper for high-speed position/force regulation. IEEE Ind. Electron. 2015, 62, 1201–1209. [Google Scholar] [CrossRef]
- Yang, Y.L.; Wei, Y.D.; Lou, J.Q.; Xie, F.R.; Fu, L. Development and precision position/force control of a new flexure-based microgripper. J. Micromech. Microeng. 2016, 26, 015005. [Google Scholar] [CrossRef]
- Qiu, Z.C.; Zhang, S.M. RBF neural network-based sliding mode vibration control of a flexible cantilever plate using laser displacement measurement. Proc. Inst. Mech. Eng. Part G-J. Aerosp. Eng. 2017, 231, 1492–1508. [Google Scholar] [CrossRef]
- Song, G.B.; Gu, H. Active vibration suppression of a smart flexible beam using a sliding mode based controller. J. Vib. Control 2007, 13, 1095–1107. [Google Scholar] [CrossRef]
- Qiu, Z.C.; Zhang, S.M. Fuzzy fast terminal sliding mode vibration control of a two-connected flexible plate using laser sensors. J. Sound Vib. 2016, 380, 51–77. [Google Scholar] [CrossRef]
- Hassani, V.; Tjahjowidodo, T.; Do, T.N. A survey on hysteresis modeling, identification and control. Mech. Syst. Signal Proc. 2014, 49, 209–233. [Google Scholar] [CrossRef]
- Li, L.Y.; Song, G.B.; Ou, J.P. Nonlinear structural vibration suppression using dynamic neural network observer and adaptive fuzzy sliding mode control. J. Vib. Control 2010, 16, 1503–1526. [Google Scholar] [CrossRef]
- Qiu, Z.C.; Wang, B.; Zhang, X.M.; Han, J.D. Direct adaptive fuzzy control of a translating piezoelectric flexible manipulator driven by a pneumatic rodless cylinder. Mech. Syst. Signal Proc. 2013, 36, 290–316. [Google Scholar] [CrossRef]
- Zhang, D.P.; Zhang, Z.T.; Gao, Q.; Xu, D.; Liu, S. Development of a monolithic compliant SPCA-driven micro-gripper. Mechatronics 2014, 25, 37–43. [Google Scholar] [CrossRef]
- Haddab, Y.; Chaillet, N.; Bourjault, A. A microgripper using smart piezoelectric actuators. In Proceedings of the 2000 IEEE/RSJ International Conference on Intelligent Robots and Systems, Takamatsu, Japan, 31 October–5 November2000; Volume 1, pp. 659–664. [Google Scholar]
- Rakotondrabe, M.; Haddab, Y.; Lutz, P. Nonlinear modeling and estimation of force in a piezoelectric cantilever. In Proceedings of the 2007 IEEE/ASME International Conference on Advanced Intelligent Mechatronics, Zurich, Switzerland, 4–7 September 2007; pp. 1–6. [Google Scholar]
- Xu, Q.S. A new method of force estimation in piezoelectric cantilever-based microgripper. In Proceedings of the 2012 IEEE/ASME International Conference on Advanced Intelligent Mechatronics (AIM), Kaohsiung, Taiwan, 11–14 July 2012; pp. 574–579. [Google Scholar]
- Li, L.Y.; Song, G.B.; Ou, J.P. A nonlinear structural experiment platform with adjustable plastic hinges: Analysis and vibration control. Smart Struct. Syst. 2013, 11, 315–329. [Google Scholar] [CrossRef]
- Yang, Y.L.; Wei, Y.D.; Lou, J.Q.; Fu, L.; Zhao, X.W. Nonlinear dynamic analysis and optimal trajectory planning of a high-speed macro-micro manipulator. J. Sound Vib. 2017, 405, 112–132. [Google Scholar] [CrossRef]
- Gu, G.Y.; Zhu, L.M.; Su, C.Y.; Ding, H.; Fatikow, S. Modeling and control of piezo-actuated nano-positioning stages: A survey. IEEE Trans. Autom. Sci. Eng. 2016, 13, 313–332. [Google Scholar] [CrossRef]
















| Parameter | Value |
|---|---|
| Dimension | 86.8 mm×10.8 mm×(20−5)mm |
| Output displacement | 1221.3 μm |
| First resonant frequency | 74.2 Hz |
| Arbitrary position/force RMSEs | 1.517 μm/0.167 mN |
| Relative RMSEs (Arbitrary) | 0.51%/2.57% |
| Cycloid position/force RMSEs | 1.391 μm/0.114 mN |
| Relative RMSEs (Cycloid) | 0.46%/1.76% |
| No. | Actuation Principle | Output Displacement | Displacement-Volume Ratio | Control Variables | Independent Regulation | Relevant Literature |
|---|---|---|---|---|---|---|
| 1 | Piezoelectric bimorph | 20 μm | 0.049 μm∙mm−3 | Both | No | [17] |
| 2 | Thermo-piezoelectric | 80 μm | 0.003 μm∙mm−3 | Both | Yes | [10] |
| 3 | Piezoelectric stack | 328.2 μm | 0.016 μm∙mm−3 | Both | Yes | [19] |
| 4 | Piezoelectric stack | 427.8μm | 0.019 μm∙mm−3 | --- | --- | [11] |
| 5 | MFC actuator | 1212.4 μm | 0.101 μm∙mm−3 | Both | Yes | Current |
© 2018 by the authors. Licensee MDPI, Basel, Switzerland. This article is an open access article distributed under the terms and conditions of the Creative Commons Attribution (CC BY) license (http://creativecommons.org/licenses/by/4.0/).
Share and Cite
Zhang, J.; Yang, Y.; Lou, J.; Wei, Y.; Fu, L. Development and Hybrid Position/Force Control of a Dual-Drive Macro-Fiber-Composite Microgripper. Sensors 2018, 18, 1301. https://doi.org/10.3390/s18041301
Zhang J, Yang Y, Lou J, Wei Y, Fu L. Development and Hybrid Position/Force Control of a Dual-Drive Macro-Fiber-Composite Microgripper. Sensors. 2018; 18(4):1301. https://doi.org/10.3390/s18041301
Chicago/Turabian StyleZhang, Jin, Yiling Yang, Junqiang Lou, Yanding Wei, and Lei Fu. 2018. "Development and Hybrid Position/Force Control of a Dual-Drive Macro-Fiber-Composite Microgripper" Sensors 18, no. 4: 1301. https://doi.org/10.3390/s18041301
APA StyleZhang, J., Yang, Y., Lou, J., Wei, Y., & Fu, L. (2018). Development and Hybrid Position/Force Control of a Dual-Drive Macro-Fiber-Composite Microgripper. Sensors, 18(4), 1301. https://doi.org/10.3390/s18041301

