0.16 µm–BCD Silicon Photomultipliers with Sharp Timing Response and Reduced Correlated Noise
Abstract
1. Introduction
2. Materials and Methods
3. Results
3.1. Pulse Amplitude Spectrum
3.2. Photon Detection Efficiency
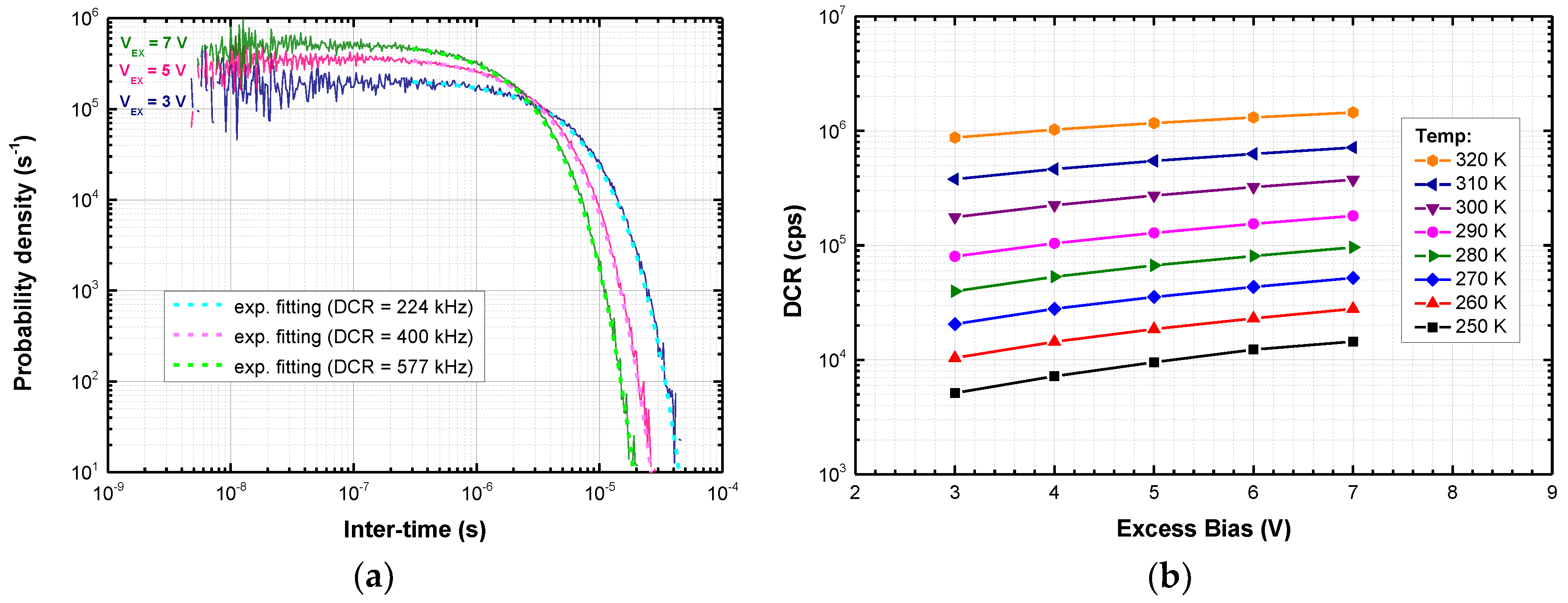
3.3. Noise Characterization
- ‘primary’ dark counts are events with unitary amplitude;
- events with double amplitude are crosstalk events triggered by a dark count;
- afterpulses occur at short inter-times (< 300 ns in our case) and their amplitude follows the exponential recovery of the microcell.
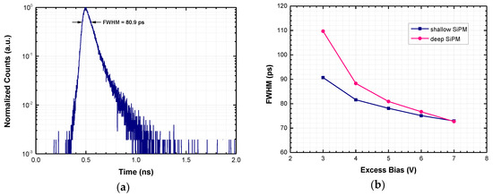
3.4. Timing Response
4. Discussion and Conclusions
Author Contributions
Funding
Conflicts of Interest
References
- Zappa, F.; Tisa, S.; Tosi, A.; Cova, S. Principles and features of single-photon avalanche diode arrays. Sens. Actuators A Phys. 2007, 140, 103–112. [Google Scholar] [CrossRef]
- Eckert, P.; Schultz-Coulon, H.; Shen, W.; Stamen, R.; Tadday, A. Characterization studies of silicon photomultipliers. Nucl. Instrum. Methods Phys. Res. Sect. A Accel. Spectrom. Detect. Assoc. Equip. 2010, 620, 217–226. [Google Scholar] [CrossRef]
- Aalseth, C.E.; Acerbi, F.; Agnes, P.; Albuquerque, I.F.M.; Alexander, T.; Alici, A.; Alton, A.K.; Antonioli, P.; Arcelli, S.; Ardito, R.; et al. DarkSide-20k: A 20 Tonne Two-Phase LAr TPC for Direct Dark Matter Detection at LNGS. Eur. Phys. J. Plus 2018, 133, 131. [Google Scholar] [CrossRef]
- Moses, W.W. Recent Advances and Future Advances in Time-of-Flight PET. Nucl. Instrum. Methods Phys. Res. A 2007, 580, 919–924. [Google Scholar] [CrossRef] [PubMed]
- Mora, A.D.; Martinenghi, E.; Contini, D.; Tosi, A.; Boso, G.; Durduran, T.; Arridge, S.; Martelli, F.; Farina, A.; Torricelli, A.; et al. Fast Silicon Photomultiplier Improves Signal Harvesting and Reduces Complexity in Time-Domain Diffuse Optics. Opt. Express 2015, 23, 13937. [Google Scholar] [CrossRef] [PubMed]
- Son, K.T.; Lee, C.C. Multiple-Target Laser Rangefinding Receiver Using a Silicon Photomultiplier Array. IEEE Trans. Instrum. Meas. 2010, 59, 3005–3011. [Google Scholar] [CrossRef]
- Zou, Y.; Villa, F.; Bronzi, D.; Tisa, S.; Tosi, A.; Zappa, F. Planar CMOS Analog SiPMs: Design, Modeling, and Characterization. J. Mod. Opt. 2015, 62, 1693–1702. [Google Scholar] [CrossRef]
- D’Ascenzo, N.; Zhang, X.; Xie, Q. Application of CMOS Technology to Silicon Photomultiplier Sensors. Sensors 2017, 17, 2204. [Google Scholar] [CrossRef] [PubMed]
- Schaart, D.R.; Charbon, E.; Frach, T.; Schulz, V. Advances in Digital SiPMs and Their Application in Biomedical Imaging. Nucl. Instrum. Methods Phys. Res. Sect. A Accel. Spectrom. Detect. Assoc. Equip. 2016, 809, 31–52. [Google Scholar] [CrossRef]
- Sanzaro, M.; Gattari, P.; Villa, F.; Tosi, A.; Croce, G.; Zappa, F. Single-Photon Avalanche Diodes in a 0.16 µm BCD Technology with Sharp Timing Response and Red-Enhanced Sensitivity. IEEE J. Sel. Top. Quantum Electron. 2018, 24, 1–9. [Google Scholar] [CrossRef]
- Seifert, S.; van Dam, H.T.; Huizenga, J.; Vinke, R.; Dendooven, P.; Lohner, H.; Schaart, D.R. Simulation of Silicon Photomultiplier Signals. IEEE Trans. Nucl. Sci. 2009, 56, 3726–3733. [Google Scholar] [CrossRef]
- Acerbi, F.; Cazzanelli, M.; Ferri, A.; Gola, A.; Pavesi, L.; Zorzi, N.; Piemonte, C. High Detection Efficiency and Time Resolution Integrated-Passive-Quenched Single-Photon Avalanche Diodes. IEEE J. Sel. Top. Quantum Electron. 2014, 20, 268–275. [Google Scholar] [CrossRef]
- Acerbi, F.; Ferri, A.; Zappala, G.; Paternoster, G.; Picciotto, A.; Gola, A.; Zorzi, N.; Piemonte, C. NUV Silicon Photomultipliers with High Detection Efficiency and Reduced Delayed Correlated-Noise. IEEE Trans. Nucl. Sci. 2015, 62, 1318–1325. [Google Scholar] [CrossRef]
- Oldham, W.G.; Samuelson, R.R.; Antognetti, P. Triggering Phenomena in Avalanche Diodes. IEEE Trans. Electron Devices 1972, 19, 1056–1060. [Google Scholar] [CrossRef]
- Piemonte, C.; Ferri, A.; Gola, A.; Picciotto, A.; Pro, T.; Serra, N.; Tarolli, A.; Zorzi, N. Development of an Automatic Procedure for the Characterization of Silicon Photomultipliers. In Proceedings of the 2012 IEEE Nuclear Science Symposium and Medical Imaging Conference Record (NSS/MIC), Anaheim, CA, USA, 27 October–3 November 2012; pp. 428–432. [Google Scholar] [CrossRef]
- Hamamatsu MPPC Technical Note. Available online: https://www.hamamatsu.com/resources/pdf/ssd/mppc_kapd9005e.pdf (accessed on 28 August 2018).
- Lacaita, A.; Ghioni, M.; Cova, S. Double Epitaxy Improves Single-Photon Avalanche Diode Performance. Electron. Lett. 1989, 25, 841. [Google Scholar] [CrossRef]
- Rech, I.; Ingargiola, A.; Spinelli, R.; Labanca, I.; Marangoni, S.; Ghioni, M.; Cova, S. Optical Crosstalk in Single Photon Avalanche Diode Arrays: A New Complete Model. Opt. Express 2008, 16, 8381. [Google Scholar] [CrossRef] [PubMed]
- Renna, M.; Buttafava, M.; Zappa, F.; Tosi, A.; Martinenghi, E.; Zanoletti, M.; Mora, A.D.; Pifferi, A.; Torricelli, A.; Contini, D. Compact Dual-Wavelength System for Time-Resolved Diffuse Optical Spectroscopy. In Proceedings of the 2017 13th Conference on Ph.D. Research in Microelectronics and Electronics (PRIME), Giardini Naxos, Italy, 12–15 June 2017; pp. 293–296. [Google Scholar] [CrossRef]
- SensL C-Series Datasheet. Available online: http://sensl.com/downloads/ds/DS-MicroCseries.pdf (accessed on 29 August 2018).
- Hamamatsu S13360 Series Datasheet. Available online: https://www.hamamatsu.com/resources/pdf/ssd/s13360_series_kapd1052e.pdf (accessed on 29 August 2018).
- AdvanSiD RGB SiPMs Datasheet. Available online: http://advansid.com/attachment/get/up_55_1433423956.pdf (accessed on 29 August 2018).
- Excelitas C30742-11 Series Datasheet. Available online: http://www.excelitas.com/Downloads/DTS_C30742-11-050_Series_SiPM.pdf (accessed on 29 August 2018).
- Broadcom AFBR-S4N44C013 Datasheet. Available online: https://www.broadcom.com/products/optical-sensors/silicon-photomultiplier-sipm/afbr-s4n44c013 (accessed on 21 October 2018).
- Ketek WB Series Device Parameters. Available online: https://www.ketek.net/sipm/sipm-products/wb-series/ (accessed on 21 October 2018).
- Acerbi, F.; Ferri, A.; Gola, A.; Cazzanelli, M.; Pavesi, L.; Zorzi, N.; Piemonte, C. Characterization of Single-Photon Time Resolution: From Single SPAD to Silicon Photomultiplier. IEEE Trans. Nucl. Sci. 2014, 61, 2678–2686. [Google Scholar] [CrossRef]
- Schwinger, A.; Brockherde, W.; Hosticka, B.J.; Vogt, H. CMOS SiPM with Integrated Amplifier. In Proceedings of the 2017 SPIE OPTO, Optical Components and Materials XIV, San Francisco, CA, USA, 28 January–2 February 2017; p. 101001. [Google Scholar]







| Device | Cells | FF (%) | Peak PDE (%) | DCR/area (kHz/mm 2) | Crosstalk (%) | Timing Jitter (ps) |
|---|---|---|---|---|---|---|
| SensL C-Series [20] | 282 | 72 | 35 1 | 30 1 | 10 1 | NA |
| Hamamatsu S13360 [21] | 667 | 74 | 40 2 | 53 2 | 3 2 | NA |
| AdvanSiD ASD-RGB1S [22] | 625 | 60 | 32.5 3 | < 100 4 | 32 3 | NA |
| Excelitas C30742-11 [23] | 400 | NA | 33 5 | 150 5,6 | NA | NA |
| Broadocom AFBR-S4N44C013 [24] | 15,060 | 76 | 54 7 | 170 7 | 27 7 | NA |
| Ketek PM11 Series [25] | 1600 | NA | 43 8 | 100 8 | 20 8 | 230 8 |
| 0.35 µm CMOS SiPM [7] | 256 | 73.7 | 34 9 | 584 9 | 33.5 9 | 240–340 |
| 0.18 µm BCD SiPM [8] | 400 | NA | 1.3 | 20000 | 40 | NA |
| BCD Shallow SiPM (this work) | 100 | 53 | 23 10 | 890 10 | 2.8 10 | 78 |
| BCD Deep SiPM (this work) | 100 | 53 | 33 10 | 732 10 | 9.7 10 | 81 |
© 2018 by the authors. Licensee MDPI, Basel, Switzerland. This article is an open access article distributed under the terms and conditions of the Creative Commons Attribution (CC BY) license (http://creativecommons.org/licenses/by/4.0/).
Share and Cite
Sanzaro, M.; Signorelli, F.; Gattari, P.; Tosi, A.; Zappa, F. 0.16 µm–BCD Silicon Photomultipliers with Sharp Timing Response and Reduced Correlated Noise. Sensors 2018, 18, 3763. https://doi.org/10.3390/s18113763
Sanzaro M, Signorelli F, Gattari P, Tosi A, Zappa F. 0.16 µm–BCD Silicon Photomultipliers with Sharp Timing Response and Reduced Correlated Noise. Sensors. 2018; 18(11):3763. https://doi.org/10.3390/s18113763
Chicago/Turabian StyleSanzaro, Mirko, Fabio Signorelli, Paolo Gattari, Alberto Tosi, and Franco Zappa. 2018. "0.16 µm–BCD Silicon Photomultipliers with Sharp Timing Response and Reduced Correlated Noise" Sensors 18, no. 11: 3763. https://doi.org/10.3390/s18113763
APA StyleSanzaro, M., Signorelli, F., Gattari, P., Tosi, A., & Zappa, F. (2018). 0.16 µm–BCD Silicon Photomultipliers with Sharp Timing Response and Reduced Correlated Noise. Sensors, 18(11), 3763. https://doi.org/10.3390/s18113763

