A Generic Compliance Modeling Method for Two-Axis Elliptical-Arc-Filleted Flexure Hinges
Abstract
:1. Introduction
2. Compliance Equations
2.1. Two-Axis Elliptical-Arc-Filleted Flexure Hinge
2.2. Left Half-Segment Two-Axis Flexure Hinge with Elliptical-Arc Notches
2.3. Right Half-Segment Two-Axis Flexure Hinge with Elliptical-Arc Notches
2.4. Precision of Rotation
3. Integrals in the Compliance Equations
3.1. Integrals Simplification
3.2. Integrals Calculation
3.3. Special Case
4. Validation and Numerical Simulation
4.1. Analytical Model
4.2. Finite Element Analysis and Validation
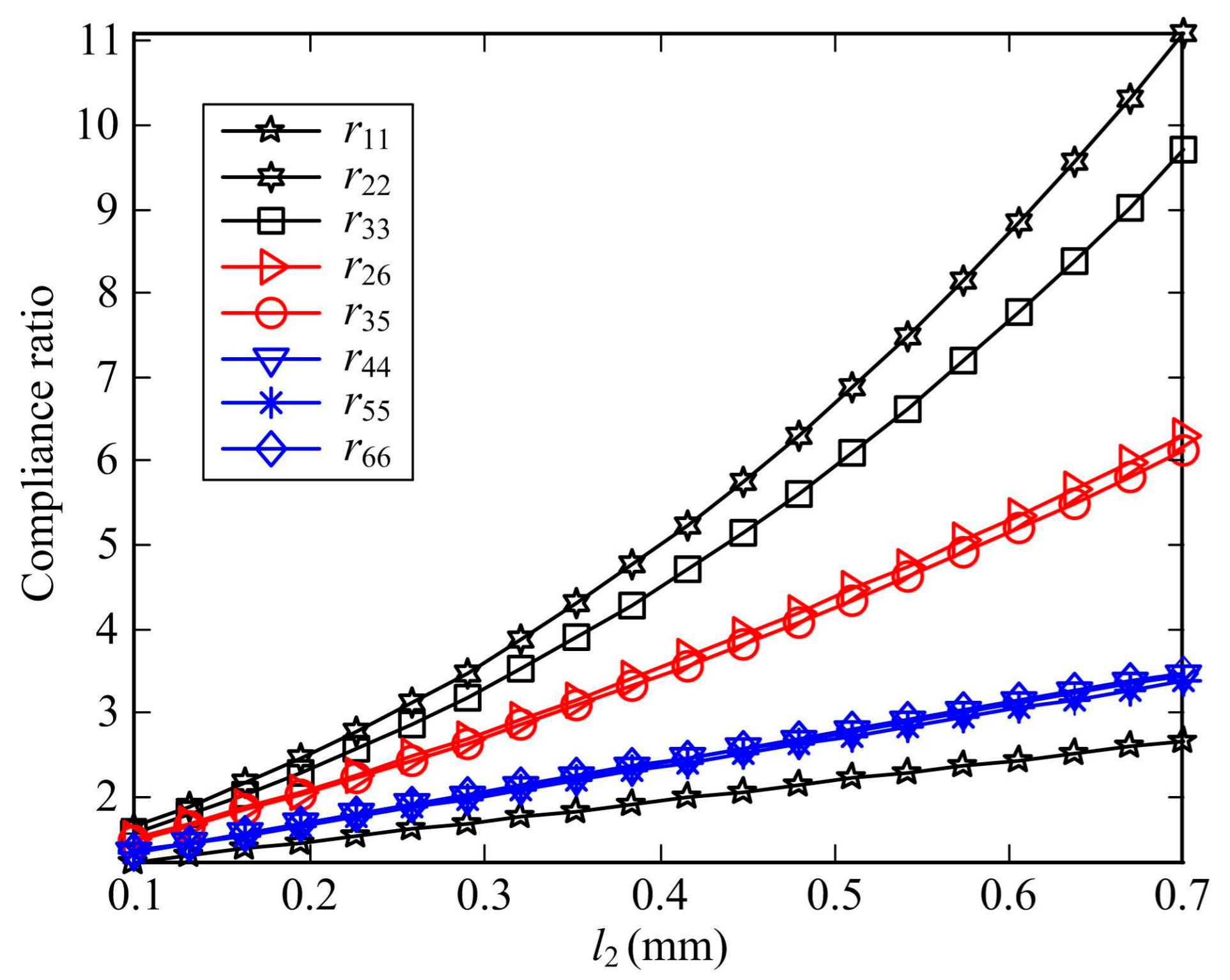
4.3. Compliance Ratio
4.4. Compliance Precision Ratio
- All the compliance precision ratios from r2 to r5 decrease when the parameters w0 and t0 increase, and vice versa; The ratios r3 and r4 are more sensitive to t0 than w0, and w0 has only slightly influence on them; The ratio r2 is less affected by the parameter t0 than w0; The effect of the parameters w0 and t0 on the ratio r5 are approximately the same.
- From the trends of the ratios r2 and r3, the ability of preserving the rotational center under pure force along z-axis is larger than the one along y-axis when t0 < w0, namely r3 > r2, and vice versa; but for the plots of the ratios r4 and r5, the ability of preserving the rotational center under pure moment about z-axis is larger than the one about y-axis when ξ1 > ξ2, namely r4 > r5, and vice versa.
5. Conclusions
Author Contributions
Conflicts of Interest
References
- Wang, F.J.; Liang, C.M.; Tian, Y.L.; Zhao, X.Y.; Zhang, D.W. A flexure-based kinematically decoupled micropositioning stage with a centimeter range dedicated to micro/nano manufacturing. IEEE/ASME Trans. Mech. 2016, 21, 1055–1062. [Google Scholar] [CrossRef]
- Wang, R.Z.; Zhang, X.M. A planar 3-DOF nanopositioning platform with large magnification. Precis. Eng. 2016, 46, 221–231. [Google Scholar] [CrossRef]
- Yao, Q.; Dong, J.; Ferreira, P.M. Design, analysis, fabrication and testing of a parallel-kinematic micropositioning XY stage. Int. J. Mach. Tool. Manuf. 2007, 47, 946–961. [Google Scholar] [CrossRef]
- Xu, Q.S.; Li, Y.M. Analytical modeling, optimization and testing of a compound bridge-type compliant displacement amplifier. Mech. Mach. Theory 2011, 46, 183–200. [Google Scholar] [CrossRef]
- Chen, G.M.; Ma, Y.K.; Li, J.J. A tensural displacement amplifier employing elliptic-arc flexure hinges. Sens. Actuators A Phys. 2016, 247, 307–315. [Google Scholar] [CrossRef]
- Ma, H.W.; Yao, S.M.; Wang, L.Q.; Zhong, Z. Analysis of the displacement amplification ratio of bridge-type flexure hinge. Sens. Actuators A Phys. 2006, 132, 730–736. [Google Scholar] [CrossRef]
- Jouaneh, M.; Yang, R.Y. Modeling of flexure-hinge type lever mechanisms. Precis. Eng. 2003, 27, 407–418. [Google Scholar] [CrossRef]
- Sun, Z.B.; Liu, J.H.; Yu, C.Z.; Zheng, Y.L. A small range six-axis accelerometer designed with high sensitivity DCB elastic element. Sensors 2016, 16, 1552. [Google Scholar] [CrossRef] [PubMed]
- Gao, Z.; Zhang, D. Design, analysis and fabrication of a multidimensional acceleration sensor based on fully decoupled compliant parallel mechanism. Sens. Actuators A Phys. 2010, 163, 418–427. [Google Scholar] [CrossRef]
- Yao, J.T.; Zhang, H.Y.; Zhang, W.M.; Xu, Y.D.; Zhao, Y.S. Fault-tolerant parallel six-component force sensor. Meccanica 2016, 51, 1639–1651. [Google Scholar] [CrossRef]
- Kurniawan, R.; Ko, T.J.; Ping, L.C.; Kumaran, S.T.; Kiswanto, G.; Guo, P.; Ehmann, K.F. Development of a two-frequency, elliptical-vibration texturing device for surface texturing. J. Mech. Sci. Technol. 2017, 31, 3465–3473. [Google Scholar] [CrossRef]
- Raghavendra, M.R.A.; Kumar, A.S.; Jagdish, B.N. Design and analysis of flexure-hinge parameter in microgripper. Int. J. Adv. Manuf. Technol. 2010, 49, 1185–1193. [Google Scholar] [CrossRef]
- Noveanu, S.; Lobontiu, N.; Lazaro, J.; Mandru, D. Substructure compliance matrix model of planar branched flexure-hinge mechanisms: Design, testing and characterization of a gripper. Mech. Mach. Theory 2015, 91, 1–20. [Google Scholar] [CrossRef]
- Mutlu, R.; Alici, G.; Panhuis, M.I.H.; Spinks, G.M. 3D printed flexure hinges for soft monolithic prosthetic fingers. Soft Robot. 2016, 3, 120–133. [Google Scholar] [CrossRef]
- Verotti, M.; Crescenzi, R.; Balucani, M.; Belfiore, N.P. MEMS-based conjugate surfaces flexure hinge. J. Mech. Des. 2015, 137, 012301. [Google Scholar] [CrossRef]
- Paros, J.M.; Weisbord, L. How to design flexure hinges. Mach. Des. 1965, 37, 151–156. [Google Scholar]
- Wu, Y.F.; Zhou, Z.Y. Design calculations for flexure hinges. Rev. Sci. Instrum. 2002, 73, 3101–3106. [Google Scholar] [CrossRef]
- Smith, S.T.; Badami, V.G.; Dale, J.S.; Xu, Y. Elliptical flexure hinges. Rev. Sci. Instrum. 1997, 68, 1474–1483. [Google Scholar] [CrossRef]
- Chen, G.M.; Liu, X.Y.; Gao, H.W.; Jia, J.Y. A generalized model for conic flexure hinges. Rev. Sci. Instrum. 2009, 80, 055106. [Google Scholar] [CrossRef] [PubMed]
- Lobontiu, N.; Paine, J.S.N.; O’Malley, E.; Samuelson, M. Parabolic and hyperbolic flexure hinges: Flexibility, motion precision and stress characterization based on compliance closed-form equations. Precis. Eng. 2002, 26, 183–192. [Google Scholar] [CrossRef]
- Tian, Y.; Shirinzadeh, B.; Zhang, D. Closed-form compliance equations of filleted V-shaped flexure hinges for compliant mechanism design. Precis. Eng. 2010, 34, 408–418. [Google Scholar] [CrossRef]
- Wang, R.Q.; Zhou, X.Q.; Zhu, Z.W.; Liu, Q. Development of a novel type of hybrid non-symmetric flexure hinges. Rev. Sci. Instrum. 2015, 86, 085003. [Google Scholar] [CrossRef] [PubMed]
- Wang, R.Q.; Zhou, X.Q.; Zhu, Z.W. Development of a novel sort of exponent-sine-shaped flexure hinges. Rev. Sci. Instrum. 2013, 84, 095008. [Google Scholar] [CrossRef] [PubMed]
- Lobontiu, N.; Cullin, M.; Petersen, T.; Alcazar, J.A.; Noveanu, S. Planar compliances of symmetric notch flexure hinges: the right circularly corner-filleted parabolic design. IEEE Trans. Autom. Sci. Eng. 2014, 11, 169–176. [Google Scholar] [CrossRef]
- Yong, Y.K.; Lu, T.F.; Handley, D.C. Review of circular flexure hinge design equations and derivation of empirical formulations. Precis. Eng. 2008, 32, 63–70. [Google Scholar] [CrossRef]
- Li, T.M.; Zhang, J.L.; Jiang, Y. Derivation of empirical compliance equations for circular flexure hinge considering the effect of stress concentration. Int. J. Precis. Eng. Manuf. 2015, 16, 1735–1743. [Google Scholar] [CrossRef]
- Lobontiu, N. Compliant Mechanisms: Design of Flexure Hinges; CRC Press: Boca Raton, FL, USA, 2002. [Google Scholar]
- Zhu, Z.W.; Zhou, X.Q.; Wang, R.Q.; Liu, Q. A simple compliance modeling method for flexure hinges. Sci. China Technol. Sci. 2015, 58, 56–63. [Google Scholar] [CrossRef]
- Lobontiu, N.; Cullin, M.; Ali, M.; Brock, J.M. A generalized analytical compliance model for transversely symmetric three-segment flexure hinges. Rev. Sci. Instrum. 2011, 82, 105116. [Google Scholar] [CrossRef] [PubMed]
- Gao, F.; Zhang, J.J.; Chen, Y.L.; Jin, Z.L. Development of a new type of 6-DOF parallel micro-manipulator and its control system. In Proceedings of the 2003 IEEE International Conference on Robotics, Intelligent Systems and Signal Processing, Changsha, China, 8–13 October 2003; pp. 715–720. [Google Scholar]
- Lobontiu, N.; Garcia, E. Two-axis flexure hinges with axially-collocated and symmetric notches. Comput. Struct. 2003, 81, 1329–1341. [Google Scholar] [CrossRef]
- Cao, F.; Jiao, Z.X. Design of double-axis elliptical flexure hinges. Eng. Mech. 2007, 24, 178–182. [Google Scholar]
- Chen, A.W.; Cao, F.; Hou, W. The flexibility calculation of biaxial right circular flexible hinge. J. Basic Sci. Eng. 2010, 18, 838–846. [Google Scholar]
- Hou, W.F.; Zhang, X.M. Precision of rotation analysis of two-axis rectangular cross-section corner-filleted flexure hinges. J. Mech. Eng. 2010, 46, 15–21. [Google Scholar] [CrossRef]
- Chen, G.M.; Shao, X.D.; Huang, X.B. A new generalized model for elliptical arc flexure hinges. Rev. Sci. Instrum. 2008, 79, 095103. [Google Scholar] [CrossRef] [PubMed]
- Koseki, Y.; Tanikawa, T.; Koyachi, N.; Arai, T. Kinematic analysis of translational 3-DOF micro parallel mechanism using matrix method. In Proceedings of the Kinematic Analysis of Translational 3-DOF Micro Parallel Mechanism Using Matrix Method, Takamatsu, Japan, 31 October–5 November 2000; pp. 786–792. [Google Scholar]
- Pham, H.; Chen, I.M. Stiffness modeling of flexure parallel mechanism. Precis. Eng. 2005, 29, 467–478. [Google Scholar] [CrossRef]
- Liang, Q.K.; Zhang, D.; Chi, Z.Z.; Song, Q.J.; Ge, Y.J.; Ge, Y. Six-DOF micro-manipulator based on compliant parallel mechanism with integrated force sensor. Robot. Comput. Integr. Manuf. 2011, 27, 124–134. [Google Scholar] [CrossRef]
- Cowper, G.R. The shear coefficient in Timoshenko beam theory. J. Appl. Mech. 1966, 33, 335–340. [Google Scholar] [CrossRef]
- Yong, W.C.; Budynas, R.G. Roark’s Formulas for Stress and Strain, 7th ed.; McGraw Hill: New York, NY, USA, 2002. [Google Scholar]
- Lobontiu, N.; Paine, J.S.N.; Garcia, E.; Goldfarb, M. Design of symmetric conic-section flexure hinges based on closed-form compliance equations. Mech. Mach. Theory 2002, 37, 477–498. [Google Scholar] [CrossRef]
- Ivanov, I.; Corves, B. Stiffness-oriented design of a flexure hinge-based parallel manipulator. Mech. Based Des. Struct. Mach. 2014, 42, 326–342. [Google Scholar] [CrossRef]
- Chen, G.M.; Howell, L.L. Two general solutions of torsional compliance for variable rectangular cross-section hinges in compliant mechanisms. Precis. Eng. 2009, 33, 268–274. [Google Scholar] [CrossRef]
- Borboni, A.; Santis, D.D. Large deflection of a non-linear, elastic, asymmetric Ludwick cantilever beam subjected to horizontal force, vertical force and bending torque at the free end. Maccanica 2014, 49, 1327–1336. [Google Scholar] [CrossRef]
- Howell, L.L. Handbook of Compliant Mechanisms; John Wiley & Sons: New York, NY, USA, 2013. [Google Scholar]
- Lin, R.Z.; Zhang, X.M.; Long, X.J.; Fatikow, S. Hybrid flexure hinges. Rev. Sci. Instrum. 2013, 84, 085004. [Google Scholar] [CrossRef] [PubMed]














| t0 (mm) | w0 (mm) | a1 (mm) | a2 (mm) | b (mm) | l2 (mm) | φm | l0 (mm) | Type | |
|---|---|---|---|---|---|---|---|---|---|
| 1 | 0.5 | 0.8 | 2.0 | 1.5 | 1.0 | 0.4 | 60° | 0.5 | DEAF |
| 2 | 0.5 | 0.8 | 1.0 | 1.0 | 1.0 | 0.4 | 60° | 0.5 | DCAF |
| 3 | 0.7 | 1.0 | 2.0 | 2.5 | 1.5 | 0.5 | 90° | 0.6 | DEF |
| 4 | 0.7 | 1.0 | 1.5 | 1.5 | 1.5 | 0.5 | 90° | 0.6 | DRCF |
| 5 | 0.9 | 1.2 | 2.0 | 3.0 | 2.0 | 0.6 | 60° | 0.7 | HEACF |
| 6 | 0.9 | 1.2 | 2.0 | 3.0 | 2.0 | 0.6 | 90° | 0.7 | HERCF |
| CAn,11 (m/N) | CAn,22 (m/N) | CAn,33 (m/N) | CAn,26/CAn,62 (1/N) | CAn,35/CAn,53 (1/N) | CAn,44 (rad/Nm) | CAn,55 (rad/Nm) | CAn,66 (rad/Nm) | ||
|---|---|---|---|---|---|---|---|---|---|
| 1 | An | 2.135 × 10−8 | 2.780 × 10−6 | 1.149 × 10−6 | 1.449 × 10−3 | −5.767 × 10−4 | 0.877 | 0.327 | 0.820 |
| FEA | 2.289 × 10−8 | 2.968 × 10−6 | 1.268 × 10−6 | 1.541 × 10−3 | −6.371 × 10−4 | 0.879 | 0.364 | 0.873 | |
| Err | 6.73% | 6.33% | 9.38% | 5.97% | 9.48% | 0.23% | 10.16% | 6.07% | |
| 2 | An | 2.453 × 10−8 | 3.133 × 10−6 | 1.354 × 10−6 | 1.603 × 10−3 | −6.627 × 10−3 | 0.981 | 0.375 | 0.908 |
| FEA | 2.564 × 10−8 | 3.274 × 10−6 | 1.437 × 10−6 | 1.674 × 10−3 | −7.057 × 10−3 | 0.976 | 0.401 | 0.948 | |
| Err | 4.33% | 4.31% | 5.78% | 4.24% | 6.09% | 0.51% | 6.48% | 4.22% | |
| 3 | An | 1.647 × 10−8 | 2.296 × 10−6 | 1.231 × 10−6 | 8.228 × 10−4 | −4.294 × 10−4 | 0.370 | 0.165 | 0.317 |
| FEA | 1.746 × 10−8 | 2.459 × 10−6 | 1.341 × 10−6 | 8.789 × 10−4 | −4.663 × 10−4 | 0.374 | 0.181 | 0.341 | |
| Err | 5.67% | 6.63% | 8.20% | 6.38% | 7.91% | 1.07% | 8.84% | 7.04% | |
| 4 | An | 1.825 × 10−8 | 2.580 × 10−6 | 1.354 × 10−6 | 9.133 × 10−4 | −4.667 × 10−4 | 0.408 | 0.180 | 0.351 |
| FEA | 1.901 × 10−8 | 2.720 × 10−6 | 1.451 × 10−6 | 9.596 × 10−4 | −4.993 × 10−4 | 0.411 | 0.194 | 0.371 | |
| Err | 4.00% | 5.15% | 6.69% | 4.82% | 6.53% | 0.73% | 7.22% | 5.39% | |
| 5 | An | 1.421 × 10−8 | 1.606 × 10−6 | 1.012 × 10−6 | 4.844 × 10−4 | −2.962 × 10−4 | 0.198 | 0.098 | 0.160 |
| FEA | 1.496 × 10−8 | 1.707 × 10−6 | 1.081 × 10−6 | 5.147 × 10−4 | −3.158 × 10−4 | 0.201 | 0.104 | 0.170 | |
| Err | 5.01% | 5.92% | 6.38% | 5.89% | 6.21% | 1.49% | 5.77% | 5.88% | |
| 6 | An | 1.400 × 10−8 | 1.870 × 10−6 | 1.169 × 10−6 | 5.262 × 10−4 | −3.209 × 10−4 | 0.198 | 0.097 | 0.160 |
| FEA | 1.466 × 10−8 | 1.997 × 10−6 | 1.258 × 10−6 | 5.607 × 10−4 | −3.441 × 10−4 | 0.201 | 0.105 | 0.171 | |
| Err | 4.50% | 6.36% | 7.07% | 6.15% | 6.74% | 1.49% | 7.62% | 6.43% | |
© 2017 by the authors. Licensee MDPI, Basel, Switzerland. This article is an open access article distributed under the terms and conditions of the Creative Commons Attribution (CC BY) license (http://creativecommons.org/licenses/by/4.0/).
Share and Cite
Li, L.; Zhang, D.; Guo, S.; Qu, H. A Generic Compliance Modeling Method for Two-Axis Elliptical-Arc-Filleted Flexure Hinges. Sensors 2017, 17, 2154. https://doi.org/10.3390/s17092154
Li L, Zhang D, Guo S, Qu H. A Generic Compliance Modeling Method for Two-Axis Elliptical-Arc-Filleted Flexure Hinges. Sensors. 2017; 17(9):2154. https://doi.org/10.3390/s17092154
Chicago/Turabian StyleLi, Lijian, Dan Zhang, Sheng Guo, and Haibo Qu. 2017. "A Generic Compliance Modeling Method for Two-Axis Elliptical-Arc-Filleted Flexure Hinges" Sensors 17, no. 9: 2154. https://doi.org/10.3390/s17092154
APA StyleLi, L., Zhang, D., Guo, S., & Qu, H. (2017). A Generic Compliance Modeling Method for Two-Axis Elliptical-Arc-Filleted Flexure Hinges. Sensors, 17(9), 2154. https://doi.org/10.3390/s17092154

