Selective Detection of Target Volatile Organic Compounds in Contaminated Humid Air Using a Sensor Array with Principal Component Analysis
Abstract
1. Introduction
2. Materials and Methods
2.1. Gas Sensors
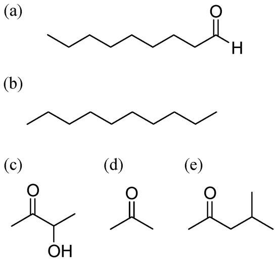
2.2. Preparation of Target VOCs
2.3. Gas Sensor Analysis
2.4. Principal Component Analysis
3. Results and Discussion
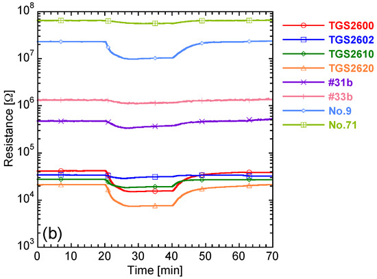
3.1. Sensor Responses and PCA in Pure Dry and Humid Air
3.2. Sensor Responses and PCA in Humid Air with Contaminations
4. Conclusions
Acknowledgments
Author Contributions
Conflicts of Interest
References
- Wang, C.; Mbi, A.; Shepherd, M. A Study on Breath Acetone in Diabetic Patients Using a Cavity Ringdown Breath Analyzer: Exploring Correlations of Breath Acetone with Blood Glucose and Glycohemoglobin A1C. IEEE Sens. J. 2010, 10, 54–63. [Google Scholar] [CrossRef]
- Poli, D.; Carbognani, P.; Corradi, M.; Goldoni, M.; Acampa, O.; Balbi, B.; Bianchi, L.; Rusca, M.; Mutti, A. Exhaled volatile organic compounds in patients with non-small cell lung cancer: Cross sectional and nested short-term follow-up study. Respir. Res. 2005, 6, 71–80. [Google Scholar] [CrossRef] [PubMed]
- Fuchs, P.; Loeseken, C.; Schubert, J.K.; Miekisch, W. Breath gas aldehydes as biomarkers of lung cancer. Int. J. Cancer 2010, 126, 2663–2670. [Google Scholar] [CrossRef] [PubMed]
- Song, G.; Qin, T.; Liu, H.; Xu, G.B.; Pan, Y.Y.; Xiong, F.X.; Gu, K.S.; Sun, G.P.; Chen, Z.D. Quantitative breath analysis of volatile organic compounds of lung cancer patients. Lung Cancer 2010, 67, 227–231. [Google Scholar] [CrossRef] [PubMed]
- Amann, A.; Spanel, P.; Smith, D. Breath analysis: The approach towards clinical applications. Mini Rev. Med. Chem. 2007, 7, 115–129. [Google Scholar] [CrossRef] [PubMed]
- Peng, G.; Tisch, U.; Adams, O.; Hakim, M.; Shehada, N.; Broza, Y.Y.; Billan, S.; Bortnyak, R.A.; Kuten, A.; Haick, H. Diagnosing lung cancer in exhaled breath using gold nanoparticles. Nat. Nanotech. 2009, 4, 669–673. [Google Scholar] [CrossRef] [PubMed]
- Westhoff, M.; Litterst, P.; Freitag, L.; Urfer, W.; Bader, S.; Baumbach, J.-I. Ion mobility spectrometry for the detection of volatile organic compounds in exhaled breath of patients with lung cancer: Results of a pilot study. Thorax 2009, 64, 744–748. [Google Scholar] [CrossRef] [PubMed]
- Mazzone, P.J.; Hammel, J.; Dweik, R.; Na, J.; Czich, C.; Laskowski, D.; Mekhail, T. Diagnosis of lung cancer by the analysis of exhaled breath with a colorimetric sensor array. Thorax 2007, 62, 565–568. [Google Scholar] [CrossRef] [PubMed]
- Herberger, S.; Herold, M.; Ulmer, H.; Burdack-Freitag, A.; Mayer, F. Detection of human effluents by a MOS gas sensor in correlation to VOC quantification by GC/MS. Build. Environ. 2010, 45, 2430–2439. [Google Scholar] [CrossRef]
- Yang, J.-W.; Cho, H.-J.; Lee, S.-H.; Lee, J.-Y. Characterization of SnO2 ceramic gas sensor for exhaust gas monitoring of SVE Process. Environ. Monit. Assess. 2004, 92, 153–161. [Google Scholar] [CrossRef] [PubMed]
- Wolfrum, E.J.; Peterson, R.M.M.D.; Sluiter, J. Metal oxide sensor arrays for the detection, differentiation, and quantification of volatile organic compounds at sub-parts-per-million concentration levels. Sens. Actuators B Chem. 2006, 115, 322–329. [Google Scholar] [CrossRef]
- Szczurek, A.; Maciejewska, M.; Flisowska-Wiercik, B.; Bodzoj, L. Application of a sensor system for determining the kind and quantity of two component VOC mixtures in air after the use of solvents. J. Environ. Monit. 2009, 11, 1942–1951. [Google Scholar] [CrossRef] [PubMed]
- Wolfrum, E.J.; Meglen, R.M.; Peterson, D.; Sluiter, J. Calibration transfer among sensor arrays designed for monitoring volatile organic compounds in indoor air quality. IEEE Sens. J. 2006, 6, 1638–1643. [Google Scholar] [CrossRef]
- Itoh, T.; Matsubara, I.; Kadosaki, M.; Sakai, Y.; Shin, W.; Izu, N.; Nishibori, M. Effects of High-Humidity Aging on Platinum, Palladium, and Gold Loaded Tin Oxide—Volatile Organic Compound Sensors. Sensors 2010, 10, 6513–6521. [Google Scholar] [CrossRef] [PubMed]
- Itoh, T.; Matsubara, I.; Nishibori, M.; Izu, N.; Shin, W. Calibration Gas Preparation for Non-Disposable Portable MOx, PID, and IER VOC Detectors. Sens. Lett. 2012, 10, 985–992. [Google Scholar] [CrossRef]
- Manorama, S.; Devi, G.S.; Rao, V.J. Hydrogen sulfide sensor based on tin oxide deposited by spray pyrolysis and microwave plasma chemical vapor deposition. Appl. Phys. Lett. 1994, 64, 3163–3165. [Google Scholar] [CrossRef]
- Shimura, M.; Yasuno, Y.; Iwakura, M.; Shimada, Y.; Sakai, S.; Suzuki, K.; Sakamoto, S. A new monitor with a zinc-oxide thin film semiconductor sensor for the measurement of volatile sulfur compounds in mouth air. J. Periodontol. 1996, 67, 396–402. [Google Scholar] [CrossRef] [PubMed]
- Tanda, N.; Washio, J.; Ikawa, K.; Suzuki, K.; Koseki, T.; Iwakura, M. A new portable sulfide monitor with a zinc-oxide semiconductor sensor for daily use and field study. J. Dent. 2007, 35, 552–557. [Google Scholar] [CrossRef] [PubMed]
- Itoh, T.; Taguchi, Y.; Izu, N.; Matsubara, I.; Nakamura, S.; Suzuki, K.; Kanda, K.; Shin, W.; Nishibori, M. Alternating Current Impedance Analysis of CeO2 Thick films as Odor Sensors. Sensors 2011, 9, 703–705. [Google Scholar]
- Byun, H.-G.; Persaud, K.C.; Pisanelli, A.M. Wound-State Monitoring for Burn Patients Using E-Nose/SPME System. ETRI J. 2010, 32, 440–446. [Google Scholar] [CrossRef]
- Yu, J.-B.; Byun, H.-G.; Zhang, S.; Do, S.-H.; Lim, J.-O.; Huh, J.-S. Exhaled Breath Analysis of Lung Cancer Patients Using a Metal Oxide Sensor. J. Sens. Sci. Technol. 2011, 20, 300–304. [Google Scholar] [CrossRef]
- Hossein-Babaei, F.; Amini, A. A breakthrough in gas diagnosis with a temperature-modulated generic metal oxide gas sensor. Sens. Actuators B Chem. 2012, 166–167, 419–425. [Google Scholar] [CrossRef]
- Dymerski, T.; Gębicki, J.; Wiśniewska, P.; Śliwińska, M.; Wardencki, W.; Namieśnik, J. Application of the Electronic Nose Technique to Differentiation between Model Mixtures with COPD Markers. Sensors 2013, 13, 5008–5027. [Google Scholar] [CrossRef] [PubMed]
- Itoh, T.; Nakashima, T.; Akamatsu, T.; Izu, N.; Shin, W. Nonanal gas sensing properties of platinum, palladium, and gold-loaded tin oxide VOCs sensors. Sens. Actuators B Chem. 2013, 187, 135–141. [Google Scholar] [CrossRef]
- Sakai, Y.; Kadosaki, M.; Matsubara, I.; Itoh, T. Preparation of total VOC sensor with sensor-response stability for humidity by noble metal addition to SnO2. J. Ceram. Soc. Jpn. 2009, 117, 1297–1301. [Google Scholar] [CrossRef]
- Zaromb, S.; Stellar, J.R. Theoretical basis for identification and measurement of air contaminants using an array of sensors having partially overlapping sensitivities. Sens. Actuators 1984, 6, 225–243. [Google Scholar] [CrossRef]
- Itoh, T.; Akamatsu, T.; Izu, N.; Shin, W.; Byun, H.-G. Monitoring of disease-related volatile organic compounds in simulated room air. In Proceedings of the 2014 IEEE Sensors, Valencia, Spain, 2–5 November 2014; pp. 1427–1430. [Google Scholar]
- Cesare, F.D.; Pantalei, S.; Zampetti, E.; Macagnano, A. Electronic nose and SPME techniques to monitor phenanthrene biodegradation in soil. Sens. Actuators B Chem. 2008, 131, 63–70. [Google Scholar] [CrossRef]
- Natale, C.D.; Macagnano, A.; Martinelli, E.; Paolesse, R.; D’Arcangelo, G.; Roscioni, C.; Finazzi, A.; D’Amico, A. Lung cancer identification by the analysis of breath by means of an array of non-selective gas sensors. Biosens. Bioelectron. 2003, 18, 1209–1218. [Google Scholar] [CrossRef]
- European Commission Joint Research Centre Environment Institute. Indoor Air Quality and Its Impact on Man—Report No. 19: Total Organic Compounds (TVOC) in Indoor Air Quality Investigations; European Commission Joint Research Centre Environment Institute: Ispra, Italy, 1997. [Google Scholar]
- Ministry of Health, Labour and Welfare Japan. Midterm Report of Sick Building Syndrome Committee—Parts 6 and 7; Ministry of Health, Labour and Welfare Japan: Tokyo, Japan, 1999.
- ISO 16000-6. Indoor Air—Part 6: Determination of Volatile Organic Compounds in Indoor and Test Chamber Air by Active Sampling on Tenax TA Sorbent, Thermal Desorption and Gas Chromatography Using MS/FID; ISO: Geneva, Switzerland, 2004. [Google Scholar]
- Kadosaki, M.; Sakai, Y.; Tamura, I.; Matsubara, I.; Itoh, T. Development of oxide semiconductor thick film gas sensor for the detection of total volatile organic compounds. Electron. Commun. Jpn. 2008, 93, 34–41. [Google Scholar] [CrossRef]
- Yamazoe, N.; Shimanoe, K. Theory of power laws for semiconductor gas sensors. Sens. Actuators B Chem. 2008, 128, 566–573. [Google Scholar] [CrossRef]
- Yamazoe, N.; Shimanoe, K. New perspectives of gas sensor technology. Sens. Actuators B Chem. 2009, 138, 100–107. [Google Scholar] [CrossRef]
- Izu, N.; Shin, W.; Matsubara, I.; Murayama, N. Development of Resistive Oxygen Sensors Based on Cerium Oxide Thick Film. J. Electroceram. 2004, 13, 703–706. [Google Scholar] [CrossRef]
- Izu, N.; Shin, W.; Matsubara, I.; Murayama, N. Evaluation of response characteristics of resistive oxygen sensors based on porous cerium oxide thick film using pressure modulation method. Sens. Actuators B Chem. 2006, 113, 207–213. [Google Scholar] [CrossRef]
- Itoh, T.; Izu, N.; Akamatsu, T.; Shin, W.; Miki, Y.; Hirose, Y. Elimination of Flammable Gas Effects in Cerium Oxide Semiconductor-Type Resistive Oxygen Sensors for Monitoring Low Oxygen Concentrations. Sensors 2015, 15, 9427–9437. [Google Scholar] [CrossRef] [PubMed]
- Itoh, T.; Uchida, T.; Matsubara, I.; Izu, N.; Shin, W.; Miyazaki, H.; Tanjo, H.; Kanda, K. Preparation of γ-alumina large grain particles with large specific surface area via polyol synthesis. Ceram. Int. 2007, 41, 3631–3638. [Google Scholar] [CrossRef]
- Itoh, T.; Lee, D.; Goto, T.; Akamatsu, T.; Izu, N.; Shin, W.; Kasuga, T. Analysis of Recovery Time of Pt- Pd- and Au-Loaded SnO2 Sensor Material with Nonanal as Large-Molecular-Weight Volatile Organic Compounds. Sens. Mater. 2016, in press. [Google Scholar] [CrossRef]
- ASrivastava, K.; Dravid, V.P. On the performance evaluation of hybrid and mono-class sensor arrays in selective detection of VOCs: A comparative study. Sens. Actuators B Chem. 2006, 117, 244–252. [Google Scholar] [CrossRef]











| Name of Sensor | Detected Compounds and Sensor Details |
|---|---|
| TGS 2600 | H2 and alcohol (manufactured by Figaro) |
| TGS 2602 | Alcohol, ammonia, VOC, and H2S (manufactured by Figaro) |
| TGS 2610 | Liquefied petroleum gas (manufactured by Figaro) |
| TGS 2620 | Alcohol and solvent vapors (manufactured by Figaro) |
| #31b | VOCs (Pt, Pd, Au/SnO2; film thickness: 4.6 μm) |
| #33b | VOCs (Pt, Pd, Au/SnO2; film thickness: 2.8 μm) |
| No. 9 | Oxygen and VOCs (CeZr10; film thickness: 9 μm) |
| No. 71 | Oxygen and VOCs (CeZr10/Al2O3/Pt-CeZr10; film thickness: 9 μm/4 μm/9 μm) |
| Group | Component | Concentration in Cylinder [ppm] |
|---|---|---|
| Aromatic Hydrocarbon | Benzene | 0.52 |
| Toluene | 0.50 | |
| o-Xylene | 0.50 | |
| m-Xylene | 0.50 | |
| Styrene | 0.50 | |
| Ethylbenzene | 0.50 | |
| n-Propylbenzene | 0.49 | |
| 1,2,3-Trimethylbenzene | 0.50 | |
| 1,2,4-Trimethylbenzene | 0.50 | |
| 1,3,5-Trimethylbenzene | 0.50 | |
| o-Ethyltoluene | 0.50 | |
| Aliphatic Hydrocarbon | n-Hexane | 0.50 |
| 2-Methylpentane | 0.50 | |
| 3-Methylpentane | 0.50 | |
| n-Heptane | 0.50 | |
| 2,4-Dimethylpentane | 0.51 | |
| n-Octane | 0.50 | |
| 2,2,4-Trimethylpentane | 0.50 | |
| n-Nonane | 0.50 | |
| n-Decane | 0.50 | |
| n-Undecane | 0.50 | |
| n-Dodecane | 0.100 | |
| Methylcyclopentane | 0.50 | |
| Cyclohexane | 0.50 | |
| Methylcyclohexane | 0.50 | |
| Terpene | α-Pinene | 0.50 |
| β-Pinene | 0.51 | |
| (+)-Limonene | 0.50 | |
| Halide | p-Dichlorobenzene | 0.50 |
| Ester | Butyl acetate | 0.99 |
| Ketone | Methyl i-butyl ketone | 2.99 |
| Total | 18.11 * |
| Sensors | Humidity [%RH] | Contamination [μg/m3] | Results | ||||||||
|---|---|---|---|---|---|---|---|---|---|---|---|
| TGS 2600 | TGS 2602 | TGS 2610 | TGS 2620 | #31b | #33b | No. 9 | No. 71 | ||||
| Type I | v | v | v | v | v | v | - | - | 0 | 0 | Figure 6a |
| Type II | v | v | v | v | v | v | - | - | 60 | 0 | Figure 6b |
| Type III | v | v | v | v | v | v | v | v | 0 | 0 | Figure 6c |
| Type IV | v | v | v | v | v | v | v | v | 60 | 0 | Figure 6d |
| Type V | v | v | v | v | v | v | v | v | 60 | 0, 300 | Figure 7 |
| Type VI | v | - | - | v | - | v | v | v | 60 | 0, 300 | Figure 9 |
| Sensor | TGS 2600 | TGS 2602 | TGS 2610 | TGS 2620 | #31b | #33b | No. 9 | No. 71 |
|---|---|---|---|---|---|---|---|---|
| TGS2600 | 1 | |||||||
| TGS2602 | −0.19 | 1 | ||||||
| TGS2610 | 0.41 | 0.70 | 1 | |||||
| TGS2620 | 0.84 | 0.18 | 0.58 | 1 | ||||
| #31b | −0.56 | 0.75 | 0.24 | −0.19 | 1 | |||
| #33b | −0.60 | 0.64 | 0.13 | −0.26 | 0.99 | 1 | ||
| No. 9 | 0.053 | 0.62 | 0.33 | 0.22 | 0.26 | 0.15 | 1 | |
| No. 71 | 0.38 | −0.68 | −0.056 | 0.065 | −0.72 | −0.68 | −0.74 | 1 |
© 2017 by the authors. Licensee MDPI, Basel, Switzerland. This article is an open access article distributed under the terms and conditions of the Creative Commons Attribution (CC BY) license (http://creativecommons.org/licenses/by/4.0/).
Share and Cite
Akamatsu, T.I.T.; Tsuruta, A.; Shin, W. Selective Detection of Target Volatile Organic Compounds in Contaminated Humid Air Using a Sensor Array with Principal Component Analysis. Sensors 2017, 17, 1662. https://doi.org/10.3390/s17071662
Akamatsu TIT, Tsuruta A, Shin W. Selective Detection of Target Volatile Organic Compounds in Contaminated Humid Air Using a Sensor Array with Principal Component Analysis. Sensors. 2017; 17(7):1662. https://doi.org/10.3390/s17071662
Chicago/Turabian StyleAkamatsu, Toshio Itoh Takafumi, Akihiro Tsuruta, and Woosuck Shin. 2017. "Selective Detection of Target Volatile Organic Compounds in Contaminated Humid Air Using a Sensor Array with Principal Component Analysis" Sensors 17, no. 7: 1662. https://doi.org/10.3390/s17071662
APA StyleAkamatsu, T. I. T., Tsuruta, A., & Shin, W. (2017). Selective Detection of Target Volatile Organic Compounds in Contaminated Humid Air Using a Sensor Array with Principal Component Analysis. Sensors, 17(7), 1662. https://doi.org/10.3390/s17071662
