Integrity Testing of Pile Cover Using Distributed Fibre Optic Sensing
Abstract
1. Introduction
2. Measuring Principle of the Fibre Optic Sensing Technique Used in This Study
3. Test Site and Instrumentation
3.1. Test Pile
3.2. Pile Instrumentation
3.2.1. Distributed Fibre Optic Sensing
3.2.2. Other Instrumentation
4. Data Analysis and Interpretation
4.1. Field Data
4.2. Finite Element Model
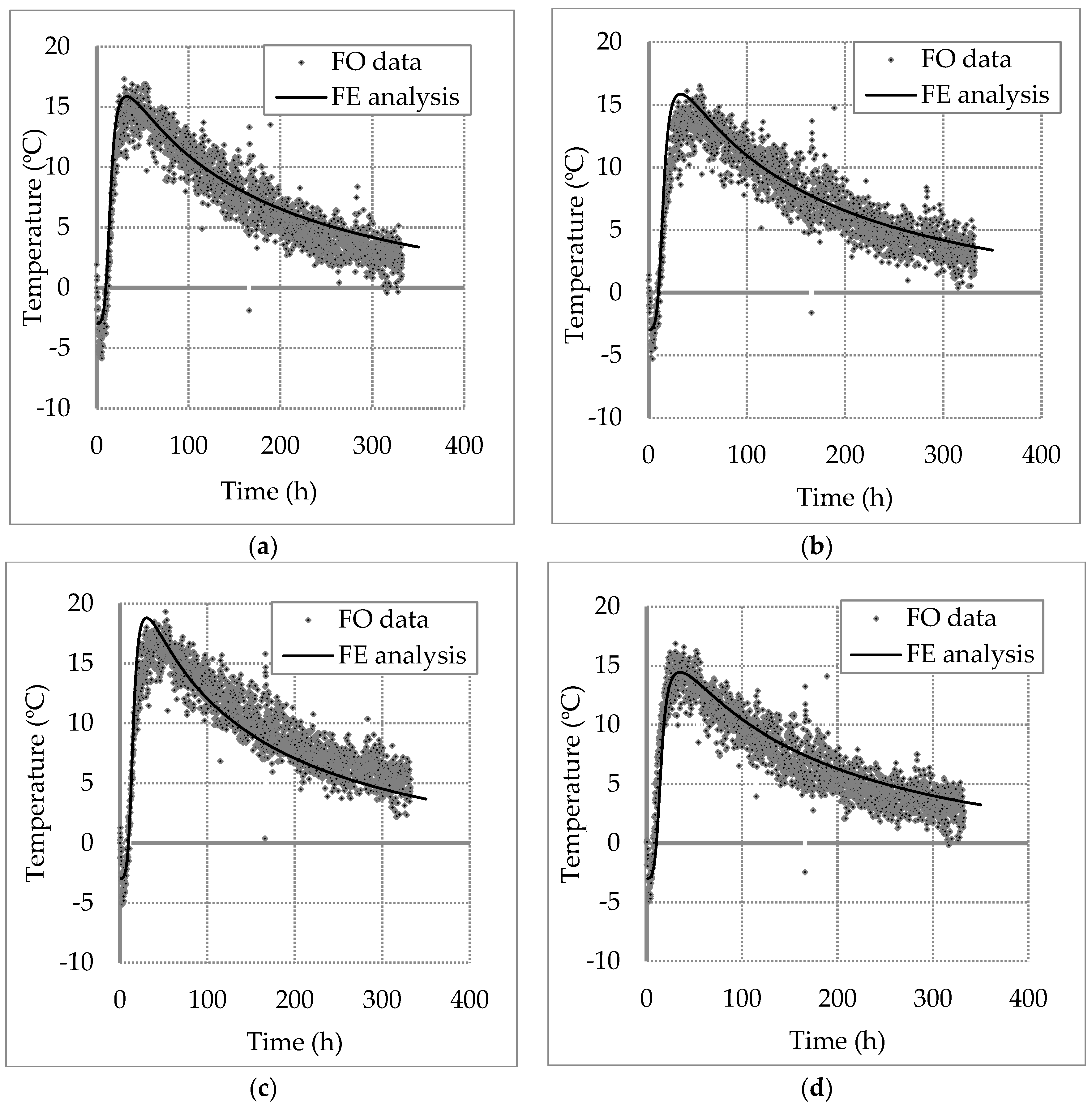
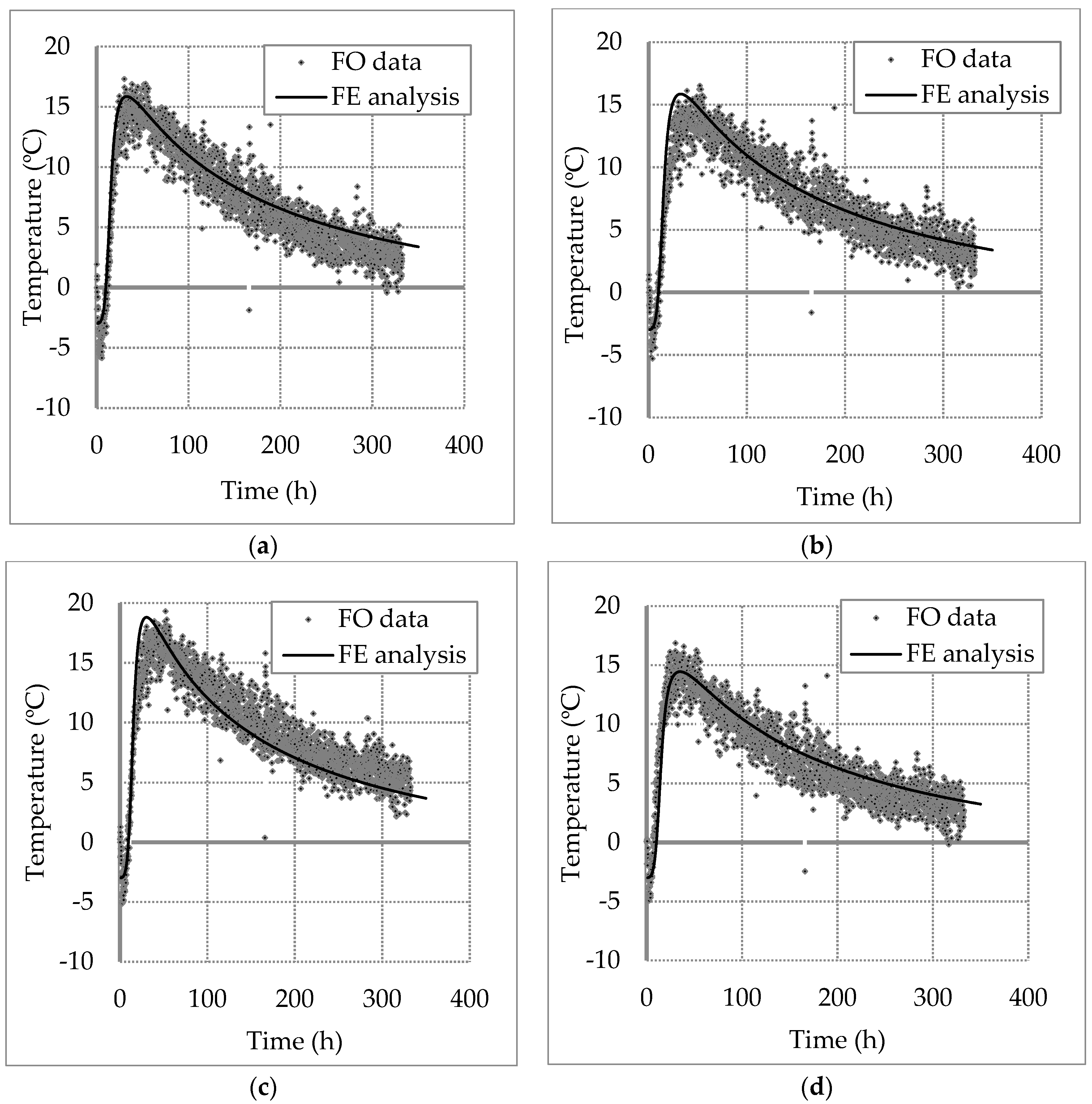
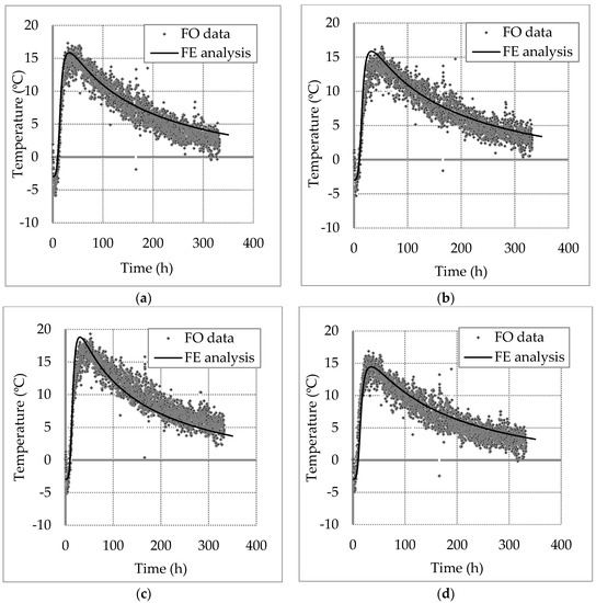
4.3. FE Back Analysis Results
4.4. Impact of Selection of Thermal Properties on the Predicted Pile Radius
5. Conclusions
- DFOS captures early thermal data very well and is capable of being a standalone system in future installations. The use of temperature as measures of pile integrity shows potential to localise anomalies.
- The advantages of using DFOS to investigate integrity over other techniques are: (i) its capacity to provides a high spatial density of data and (ii) its ease of installation and (iii) a very low sensor failure rate.
- Finite element back analysis is able to quantify the relationship between temperature curve and pile radius. The predicted average pile diameter profile is shown to be close to that obtained with the conventional TIP results, providing some validity to the proposed thermal integrity testing and data interpreting method.
- The selection of thermal conductivity values for concrete and soil can have large effects on evaluating pile profile from DFOS-based temperature curve data. It is therefore necessary to have a good dataset of thermal properties for both concrete and soil in order to ensure the proposed thermal integrity testing method produces good estimate of pile geometry.
Acknowledgments
Author Contributions
Conflicts of Interest
References
- Ulitskii, V.M. History of pile foundation engineering. Soil Mech. Found. Eng. 1995, 32, 110–114. [Google Scholar] [CrossRef]
- Tomlinson, M.; Woodward, J. Pile Design and Construction Practice; CRC Press: Boca Raton, FL, USA, 2014. [Google Scholar]
- Bruce, D.A.; Traylor, R.P. The Repair and Enhancement of Large Diameter Caissons by Grouting. In New Technological and Design Developments in Deep Foundations; American Society of Civil Engineers: Reston, VA, USA, 2000; pp. 59–71. [Google Scholar]
- Palaneeswaran, E.; Ramanathan, M.; Tam, C. Rework in projects: Learning from errors. Surv. Built Environ. 2007, 18, 47–58. [Google Scholar]
- Brown, D.A.; Turner, J.P.; Castelli, R.J. Drilled Shafts: Construction Procedures and LRFD Design Methods; US Department of Transportation, Federal Highway Administration: Washington, DC, USA, 2010.
- White, B.; Nagy, M.; Allin, R. Comparing cross-hole sonic logging and low-strain integrity testing results. In Proceedings of the Eighth International Conference on the Application of Stress Wave Theory to Piles, Lisbon, Portugal, 8–10 September 2008; pp. 471–476. [Google Scholar]
- Iskander, M.; Roy, D.; Ealy, C.; Kelley, S. Class-A prediction of construction defects in drilled shafts. Transp. Res. Rec. J. Transp. Res. Board 2001, 1772, 73–83. [Google Scholar] [CrossRef]
- Mullins, G.; Kranc, S.C.; Johnson, K.; Stokes, M.; Winters, D. Thermal integrity testing of drilled shafts. 2007. Available online: https://www.pile.com/wp-content/uploads/2017/03/FDOT_BD544_20_rpt.pdf (accessed on 16 November 2017).
- Mullins, G.; Winters, D. Infrared Thermal Integrity Testing Quality Assurance Test Method to Detect Drilled Shaft Defects; Washington State Department of Transportation: Olympia, WA, USA, 2011.
- ASTM D7949-14, Standard Test Methods for Thermal Integrity Profiling of Concrete Deep Foundations; ASTM International: West Conshohocken, PA, USA, 2014; Available online: www.astm.org (accessed on 16 November 2017).
- Bungenstab, F.C.; Beim, J.W. Continousn Flight Auger (CFA) Piles—A Review of the Execution Process and Integrity Evaluation by Low Strain Test. In From Fundamentals to Applications in Geotechnics: Proceedings of the 15th Pan-American Conference on Soil Mechanics and Geotechnical Engineering, Buenos Aires, Argentina, 15–18 November 2015; IOS Press: Amsterdam, The Netherlands, 2015; p. 414. [Google Scholar]
- Piscsalko, G.; Likins, G.E.; Mullins, G. Drilled Shaft Acceptance Criteria Based Upon Thermal Integrity. In Proceedings of the DFI 41st Annual Conference on Deep Foundations, New York, NY, USA, 12–14 October 2016; pp. 1–10. [Google Scholar]
- Cheung, L.L.K.; Soga, K.; Bennett, P.J.; Kobayashi, Y.; Amatya, B.; Wright, P. Optical fibre strain measurement for tunnel lining monitoring. Proc. Inst. Civ. Eng. Geotech. Eng. 2010, 163, 119–130. [Google Scholar] [CrossRef]
- Mohamad, H.; Bennett, P.J.; Soga, K.; Mair, R.J.; Bowers, K. Behaviour of an old masonry tunnel due to tunnelling-induced ground settlement. Géotechnique 2010, 60, 927–938. [Google Scholar] [CrossRef]
- De Battista, N.; Elshafie, M.Z.E.B.; Soga, K.; Williamson, M.G.; Hazelden, G.; Hsu, Y.S. Strain monitoring using embedded distributed fibre optic sensors in a sprayed concrete tunnel lining during the excavation of cross-passages. In Proceedings of the 7th International Conference on Structural Health Monitoring of Intelligent Infrastructure, Torino, Italy, 1–3 July 2015. [Google Scholar]
- Bourne-Webb, P.J.; Amatya, B.; Soga, K.; Amis, T.; Davidson, C.; Payne, P. Energy pile test at Lambeth College, London: Geotechnical and thermodynamic aspects of pile response to heat cycles. Géotechnique 2009, 59, 237–248. [Google Scholar] [CrossRef]
- Bourne-Webb, P.J.; Bodas Freitas, T.M.; Freitas Assunção, R.M. Soil–pile thermal interactions in energy foundations. Géotechnique 2015, 66, 167–171. [Google Scholar] [CrossRef]
- Amatya, B.L.; Soga, K.; Bourne-Webb, P.J.; Amis, T.; Laloui, L. Thermo-mechanical behaviour of energy piles. Geotechnique 2012, 62, 503–519. [Google Scholar] [CrossRef]
- Mohamad, H.; Soga, K.; Amatya, B. Thermal Strain Sensing of Concrete Piles Using Brillouin Optical Time Domain Reflectometry. Geotech. Test. J. 2014, 37, 333. [Google Scholar] [CrossRef]
- Schwamb, T.; Soga, K.; Mair, R.J.; Elshafie, M.Z.; Boquet, C.; Greenwood, J. Fibre optic monitoring of a deep circular excavation. Proc. ICE Geotech. Eng. 2014, 167, 144–154. [Google Scholar] [CrossRef]
- Bao, X.; Chen, G. Temperature-dependent strain and temperature sensitivities of fused silica single mode fiber sensors with pulse pre-pump Brillouin optical time domain analysis. Meas. Sci. Technol. 2016, 27, 065101. [Google Scholar] [CrossRef]
- Bao, Y.; Hoehler, M.S.; Smith, C.M.; Bundy, M.; Chen, G. Temperature measurement and damage detection in concrete beams exposed to fire using PPP-BOTDA based fiber optic sensors. Smart Mater. Struct. 2017, 26, 105034. [Google Scholar] [CrossRef] [PubMed]
- Pelecanos, L.; Soga, K.; Chunge, M.P.; Ouyang, Y.; Kwan, V.; Kechavarzi, C.; Nicholson, D. Distributed fibre-optic monitoring of an Osterberg-cell pile test in London. Géotech. Lett. 2017, 7, 1–9. [Google Scholar] [CrossRef]
- Bao, X.; Chen, L. Recent progress in Brillouin scattering based fiber sensors. Sensors 2011, 11, 4152–4187. [Google Scholar] [CrossRef] [PubMed]
- Horiguchi, T.; Kurashima, T.; Tateda, M. Tensile strain dependence of Brillouin frequency shift in silica optical fibers. Photonics Technol. Lett. 1989, 1, 107–108. [Google Scholar] [CrossRef]
- Kurashima, T.; Horiguchi, T.; Tateda, M. Thermal effects on the Brillouin frequency shift in jacketed optical silica fibers. Appl. Opt. 1990, 29, 2219–2222. [Google Scholar] [CrossRef] [PubMed]
- Fellay, A. Extreme Temperature Sensing Using Brillouin Scattering in Optical Fibers. Ph.D. Dissertation, Swiss Federal Institute of Technology, Lausanne, Switzerland, 2003. [Google Scholar]
- Kechavarzi, C.; Soga, K.; De Battista, N.; Pelecanos, L.; Elshafie, M.Z.E.B.; Mair, R.L. Distributed Fibre Optic Strain Sensing for Monitoring Civil Infrastructure; ICE Publishing: London, UK, 2016. [Google Scholar]
- Horiguchi, T.; Shimizu, K.; Kurashima, T.; Tateda, M. Development of a distributed sensing technique using Brillouin scattering. J. Lightw. Technol. 1995, 13, 1296–1302. [Google Scholar] [CrossRef]
- Ohno, H.; Naruse, H.; Kihara, M.; Shimada, A. Industrial applications of the BOTDR optical fiber strain sensor. Opt. Fiber Technol. 2001, 7, 45–64. [Google Scholar] [CrossRef]
- Zhang, H.; Wu, Z. Performance evaluation of BOTDR-based distributed fiber optic sensors for crack monitoring. Struct. Health Monit. 2008, 7, 143–156. [Google Scholar] [CrossRef]
- Su, H.; Li, J.; Hu, J.; Wen, Z. Analysis and Back-Analysis for Temperature Field of Concrete Arch Dam During Construction Period Based on Temperature Data Measured by DTS. IEEE Sens. J. 2013, 13, 1403–1412. [Google Scholar] [CrossRef]
- Shi, N.; Chen, Y.; Li, Z. Crack Risk Evaluation of Early Age Concrete Based on the Distributed Optical Fiber Temperature Sensing. Adv. Mater. Sci. Eng. 2016, 2016, 4082926. [Google Scholar] [CrossRef]
- Hausner, M.B.; Suárez, F.; Glander, K.E.; Van de Giesen, N.; Selker, J.S.; Tyler, S.W. Calibrating single-ended fiber-optic Raman spectra distributed temperature sensing data. Sensors 2011, 11, 10859–10879. [Google Scholar] [CrossRef] [PubMed]
- Mullins, G. Thermal Integrity Profiling of Drilled Shafts. Deep Found. Inst. J. 2010, 4, 54–65. [Google Scholar] [CrossRef]
- Wang, X.; Ye, J.; Wang, Y. Hydration mechanism of a novel PCCP+ DCPA cement system. J. Mater. Sci. Mater. Med. 2008, 19, 813–816. [Google Scholar] [CrossRef] [PubMed]
- Xu, Q.; Ruiz, J.M.; Hu, J.; Wang, K.; Rasmussen, R.O. Modeling hydration properties and temperature developments of early-age concrete pavement using calorimetry tests. Thermochim. Acta 2011, 512, 76–85. [Google Scholar] [CrossRef]
- Prosen, E.J.; Brown, P.W.; Frohnsdorff, G.; Davis, F. A multichambered microcalorimeter for the investigation of cement hydration. Cem. Concr. Res. 1985, 15, 703–710. [Google Scholar] [CrossRef]
- Bentz, D.P. A Three-Dimensional Cement Hydration and Microstructure Program: I. Hydration Rate, Heat of Hydration, and Chemical Shrinkage; Building and Fire Research Laboratory, National Institute of Technology: Gaithersburg, MD, USA, 1995. [Google Scholar]
- De Schutter, G.; Taerwe, L. General hydration model for Portland cement and blast furnace slag cement. Cem. Concr. Res. 1995, 25, 593–604. [Google Scholar] [CrossRef]
- De Schutter, G.; Taerwe, L. Degree of hydration-based description of mechanical properties of early age concrete. Mater. Struct. 1996, 29, 335. [Google Scholar] [CrossRef]
- Pane, I.; Hansen, W. Investigation of blended cement hydration by isothermal calorimetry and thermal analysis. Cem. Concr. Res. 2005, 35, 1155–1164. [Google Scholar] [CrossRef]
- Gruyaert, E.; Robeyst, N.; De Belie, N. Study of the hydration of Portland cement blended with blast-furnace slag by calorimetry and thermogravimetry. J. Therm. Anal. Calorim. 2010, 102, 941–951. [Google Scholar] [CrossRef]
- Ruiz, J.M.; Schindler, A.K.; Rasmussen, R.O.; Nelson, P.K.; Chang, G.K. Concrete temperature modeling and strength prediction using maturity concepts in the FHWA HIPERPAV software. In Proceedings of the Seventh International Conference on Concrete Pavements. The Use of Concrete in Developing Long-Lasting Pavement Solutions for the 21st Century, Lake Buena Vista, FL, USA, 9–13 September 2001; p. 1. [Google Scholar]
- Schindler, A.K. Effect of temperature on hydration of cementitious materials. Mater. J. 2004, 101, 72–81. [Google Scholar]
- Garber, D. Ground Source Heat Pump System Models in an Integrated Building and Ground Energy Simulation Environment. Ph.D. Dissertation, University of Cambridge, Cambridge, UK, 2014. [Google Scholar]
- UK Department of Energy and Climate Change (DECC). Microgeneration Installation Standard: MIS 3005; DECC: London, UK, 2008; pp. 1–47.
- Kim, K.H.; Jeon, S.E.; Kim, J.K.; Yang, S. An experimental study on thermal conductivity of concrete. Cem. Concr. Res. 2003, 33, 363–371. [Google Scholar] [CrossRef]














| Material | Type | Weight (Saturated Surface Dry) (kg/m3) | Proportion Constituent |
|---|---|---|---|
| Cement CEM II/B-V | CEM I | 301 | 70% |
| Pulverised fuedl ash | 129 | 30% | |
| Limestone aggregates | 10 to 20 mm | 565 | 32% |
| 4 to 10 mm | 380 | 21% | |
| 0 to 4 mm | 840 | 47% | |
| Admixture | High-range water reducer | 0.75% | -- |
| Water | -- | 161 | -- |
| Total weight | 2376 | -- | |
| Parameters | Qmax (J/g) | (J/gh) | a | b | c | E (kJ/mol) | R (kJ/mol·K) |
|---|---|---|---|---|---|---|---|
| Value | 35.1 | 1.01 | 0.667 | 3.0 | 2.6 | 33.5 | 0.00831 |
| Thermal Conductivity (W/mK) | Specific Heat Capacity (KJ/m3) | |
|---|---|---|
| Made ground | 1.8 | 2800 |
| Lambeth group | 1.6 | 2400 |
| Thanet sand | 1.6 | 2400 |
| Chalk | 1.4 | 2400 |
| Pile | 1.0 | 2200 |
| Thermal Conductivity (TC) (W/mK) | Made Ground | Lambeth Group | Thanet Sand | Chalk | Pile |
|---|---|---|---|---|---|
| TC of Soil × 0.5 | 0.9 | 0.8 | 0.8 | 0.7 | 1.0 |
| TC of Soil × 2 | 3.6 | 3.2 | 3.2 | 2.8 | 1.0 |
| TC of Concrete × 0.5 | 1.8 | 1.6 | 1.6 | 1.4 | 0.5 |
| TC of Concrete × 2 | 1.8 | 1.6 | 1.6 | 1.4 | 2.0 |
| Case | Qmax (J/g) | qmax,20 (J/gh) | a | b | c | E (kJ/mol) |
|---|---|---|---|---|---|---|
| TC of Soil × 0.5 | 30 | 1.2 | 0.8 | 3.0 | 2.6 | 33.5 |
| TC of Soil × 2 | 40 | 0.8 | 0.6 | 3.0 | 2.6 | 33.5 |
| TC of Concrete × 0.5 | 32 | 0.9 | 0.667 | 3.0 | 2.6 | 33.5 |
| TC of Concrete × 2 | 38 | 1.1 | 0.667 | 3.0 | 2.6 | 33.5 |
© 2017 by the authors. Licensee MDPI, Basel, Switzerland. This article is an open access article distributed under the terms and conditions of the Creative Commons Attribution (CC BY) license (http://creativecommons.org/licenses/by/4.0/).
Share and Cite
Rui, Y.; Kechavarzi, C.; O’Leary, F.; Barker, C.; Nicholson, D.; Soga, K. Integrity Testing of Pile Cover Using Distributed Fibre Optic Sensing. Sensors 2017, 17, 2949. https://doi.org/10.3390/s17122949
Rui Y, Kechavarzi C, O’Leary F, Barker C, Nicholson D, Soga K. Integrity Testing of Pile Cover Using Distributed Fibre Optic Sensing. Sensors. 2017; 17(12):2949. https://doi.org/10.3390/s17122949
Chicago/Turabian StyleRui, Yi, Cedric Kechavarzi, Frank O’Leary, Chris Barker, Duncan Nicholson, and Kenichi Soga. 2017. "Integrity Testing of Pile Cover Using Distributed Fibre Optic Sensing" Sensors 17, no. 12: 2949. https://doi.org/10.3390/s17122949
APA StyleRui, Y., Kechavarzi, C., O’Leary, F., Barker, C., Nicholson, D., & Soga, K. (2017). Integrity Testing of Pile Cover Using Distributed Fibre Optic Sensing. Sensors, 17(12), 2949. https://doi.org/10.3390/s17122949
