Distributed Channel Allocation and Time Slot Optimization for Green Internet of Things
Abstract
:1. Introduction
2. Related Work
- We propose a novel solution that considers the complementary relations between channel allocation and time slot design for both energy saving and interference alleviating.
- We present a channel allocation algorithm that takes channel conditions into consideration and involves learning ability. It can not only allocate the most ideal channel to each node, but also enable the channel allocation achieves fast collision-free convergence.
- Through optimal time slot adaptation, our solution can maximize normalized throughput while satisfying power constraint and guaranteeing the lifetime of the nodes.
- Our solution is easy to implement. It requires no central coordination, global information, or information exchange/time synchronization among nodes. Each node can operate solely based on its own local information in a distributed manner.
3. System Model
4. Channel Ranking Algorithm
- Bandwidth is an important attribute that affect wireless transmission in terms of rate and range. Moreover, applications require different bandwidth. For example, status indicators for temperature will send a very small amount of data, while camera sensors that transmit a video stream will send a much greater amount of data [23].
- SINR is used to give theoretical upper bounds on the channel capacity.
- The coherence bandwidth is a statistical measurement of the range of frequencies. It can be reasonably assumed that the channel is flat if the coherence bandwidth is greater than the data signal bandwidth.
- The coherence time is the time duration over which the channel impulse response is considered to be constant. Such channel variation is important in wireless communications systems, considering the Doppler effect.
- The energy consumption on difficult channel mainly depends on the transmission power. Moreover, the transmission power varies according to different channel conditions based on the closed-loop power-control (CLPC) algorithm [11]. CLPC can dynamically degrade the transmission power in a flat channel to save energy and increase the transmission power to compensate for the fading channel.
4.1. Identify the Weight of Each Attribute
4.2. Rank the Channel
5. Distributed Channel Allocation Algorithm
5.1. Basic Idea
5.2. Choice of the Channel Switch Probability
- (i)
- is related with the channel ranking so that each node will have higher opportunity to stay on the better channel and the network can rapidly converge to a collision-free channel allocation.
- When the value of for next channel in the ACS is far from the value of the current channel’s , it means that the next channel is of poor condition and the node would prefer to stay on the current channel and it indicates . Thus it can be modeled as when (where is the difference between the of current channel and that of the next free channel in ACS).
- On the other hand, when the of the next channel is close to that of the current channel , the node would prefer to switch the channel to avoid the collision, which means when .
- (ii)
- is related with the residual energy so that each node can save energy.
- When the residual energy is limited, the node would prefer to stay on the current channel to save energy, it indicates that when the consumed energy ratio , where is the residual energy and is the total energy.
- With the decrease of energy, the energy should be the primary factor influencing , thus the weight of residual energy will increase.
- (iii)
- is decreased with the dwelling time so that the new entrants will impose less impact on the old users.
- When a node stays on a channel for a long time and we denote this state as , it will be less willing to switch channel and it indicates that . In conclusion, when .
- On the other hand, if a channel is new to this node, it will more likely to switch to another channel. That is when , only depends on and
| Algorithm 1: Simple distributed channel allocation |
| 1: Initialization: 2: Set up the available channel set (ACS) based on the channel ranking; 3: Initialize , ; // i is the channel ID in the ACS 4: Channel allocation: 5: Thread A: Local information broadcast 6: While (Hello Timeout) do 7: Broadcast HELLO on Channel (i), which encodes its own ID; 8: ; 9: end while 10: Tread B: Channel switching 11: While (Received a HELLO packet on current channel) do 12: Calculate according to (10) 13: if 14: Set ; //Switch channel with the probability of 15: ; //Reset after switching the channel 16: end if |
| 17: end while |
6. Analysis and Optimization on Energy Consumption
| Algorithm 2: Optimization for |
| 1: Initialization: 2: Set up the range of ; 3: Initialize the optimal solution ; 4: Optimization calculation: 5: While () do 6: = 7: compute the average power based on (24); 8: if then 9: compute the average throughputs based on (21); 10: ; 11: compute the average power based on (24); 12: if then 13: compute the average throughputs based on (21); 14: if then 15: , ; 16: else if then 17: , ; 18: end if 19: end if 20: end if 21: end while |
7. Simulation Result and Discussion
7.1. Simulation Setup
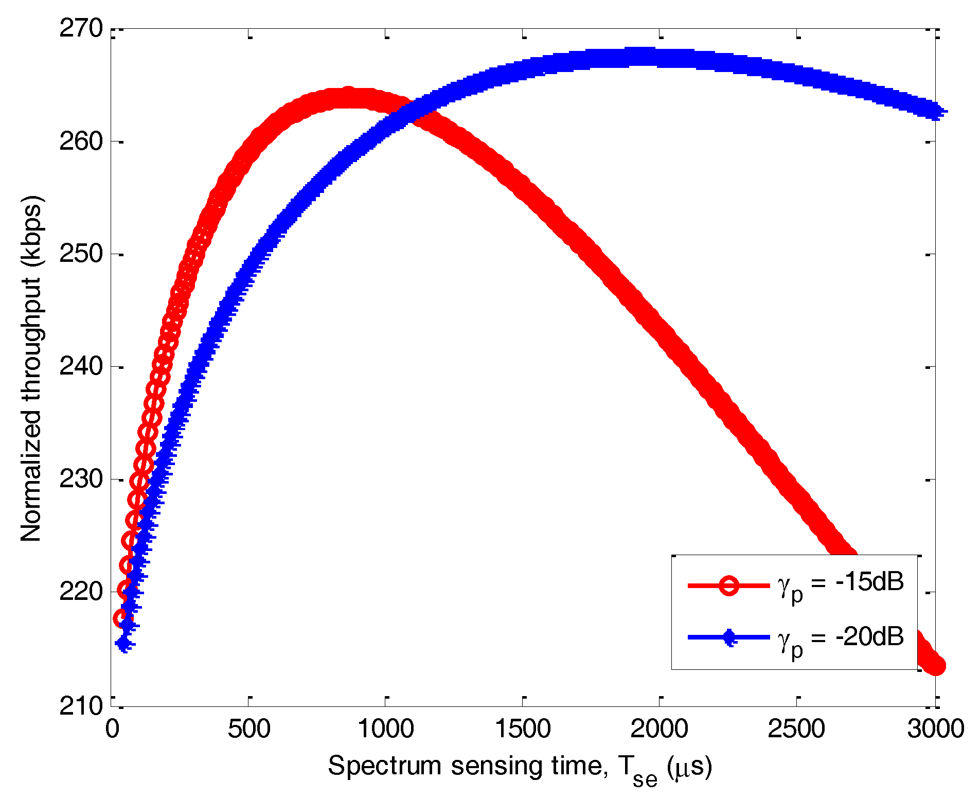
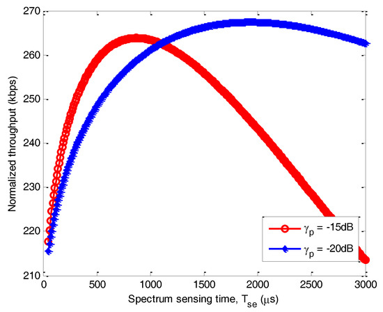
7.2. Simulation Results
8. Conclusions
Acknowledgments
Author Contributions
Conflicts of Interest
Appendix A. Proof of Theorem 2
Appendix B. Concavity of
References
- Olaru, A.; Magda Florea, A.; Seghrouchni, A. A Context-Aware Multi-Agent System as a Middleware for Ambient Intelligence. Mob. Netw. Appl. 2013, 18, 429–443. [Google Scholar] [CrossRef]
- Deng, R.; Chen, J.; Cao, X.; Zhang, Y.; Maharjan, S.; Gjessing, S. Sensing-Performance Tradeoff in Cognitive Radio enabled Smart Grid. IEEE Trans. Smart Grid 2013, 4, 302–310. [Google Scholar] [CrossRef]
- Chen, X.; Zhao, Z.; Zhang, H. Stochastic power adaptation with multiagent reinforcement learning for cognitive wireless mesh networks. IEEE Trans. Mob. Comput. 2013, 12, 2155–2166. [Google Scholar] [CrossRef]
- Wang, S.; Wang, Y.; Coon, J.P.; Doufexi, A. Energy-Efficient Spectrum Sensing and Access for Cognitive Radio Networks. IEEE Trans. Veh. Technol. 2012, 61, 906–912. [Google Scholar] [CrossRef]
- Wu, D.; Bao, L.; Liu, C.H. Scalable Channel Allocation and Access Scheduling for Wireless Internet-of-Things. IEEE Sens. 2013, 13, 3596–3604. [Google Scholar] [CrossRef]
- Niu, J.; Cheng, L.; Gu, Y.; Shu, L.; Das, S.K. Reliable Reactive Routing Enhancement for Wireless Sensor Networks. IEEE Trans. Ind. Inform. 2014, 10, 784–794. [Google Scholar] [CrossRef]
- Chiasserini, C.; Rao, R.R. Improving energy saving in wireless systems by using dynamic power management. IEEE Trans. Wirel. Commun. 2003, 2, 1090–1100. [Google Scholar] [CrossRef]
- Wen, Y.; Dong, R.S.; Guo, Y.C. Dynamic power management model to improve node energy efficiency in Ad Hoc network based on probabilistic model checking. J. Comput. Appl. 2007, 27, 1095–1098. [Google Scholar]
- Miao, G.; Himayat, N.; Li, G.Y.; Talwar, S. Distributed Interference-Aware Energy-Efficient Power Optimization. IEEE Trans. Wirel. Commun. 2011, 10, 1323–1333. [Google Scholar] [CrossRef]
- Benini, L.; Bogliolo, A.; Paleologo, G.A.; De Micheli, G. Policy Optimization for Dynamic Power Management. IEEE Trans. Comp.-Aided Des. Integr. Circuits Syst. 1999, 18, 813–833. [Google Scholar] [CrossRef]
- Chockalingam, A.; Dietrich, P.; Milstein, L.B.; Rao, R.R. Performance of Closed-Loop Power Control in DS-CDMA Cellular Systems. IEEE Trans. Veh. Technol. 1998, 47, 774–789. [Google Scholar] [CrossRef]
- Akyildiz, I.F.; Su, W. A survey on sensor networks. IEEE Commun. Mag. 2002, 40, 102–114. [Google Scholar] [CrossRef]
- Liu, J.; Zhao, F.; Cheung, P.; Guibas, L. Apply geometric duality to energy-efficient non-local phenomenon awareness using sensor networks. IEEE Wirel. Commun. 2004, 11, 62–68. [Google Scholar]
- Liu, C.; Natarajan, B.; Xia, H. Small Cell Base Station Sleep Strategies for Energy Efficiency. IEEE Trans. Veh. Technol. 2016, 65, 1652–1661. [Google Scholar] [CrossRef]
- Pantazis, N.A.; Vergados, D.J.; Vergados, D.D.; Douligeris, C. Energy efficiency in wireless sensor networks using sleep mode TDMA scheduling. Ad Hoc Netw. 2009, 7, 322–343. [Google Scholar] [CrossRef]
- Zhang, S.; Zhao, H.; Hafid, A.S.; Wang, S. Joint Optimization of Energy Harvesting and Spectrum Sensing for Energy Harvesting Cognitive Radio. In Proceedings of the 2016 IEEE 84th Vehicular Technology Conference, Montreal, QC, Canada, 18–21 September 2016. [Google Scholar]
- Li, S.; He, C.; Wang, Y.; Zhang, Y.; Liu, J.; Huang, T. A Novel Joint Power and Feedback Bit Allocation Interference Alignment Scheme for Wireless Sensor Networks. Sensors 2017, 17, 563. [Google Scholar] [CrossRef] [PubMed]
- Wang, L.; Wu, K.; Hamdi, M.; Ni, L.M. Attachment Learning for Multi-channel Allocation in Distributed OFDMA Networks. In Proceedings of the IEEE International Conference on Parallel and Distributed Systems, Tainan, Taiwan, 7–9 December 2011. [Google Scholar]
- Hoang, A.T.; Liang, Y.C.; Islam, M.H. Power Control and Channel Allocation in Cognitive Radio Networks with Primary Users’ Cooperation. IEEE Trans. Mob. Comput. 2009, 9, 348–360. [Google Scholar] [CrossRef]
- Hao, X.C.; Gong, Q.Q.; Hou, S.; Liu, B. Joint Channel Allocation and Power Control Optimal Algorithm Based on Non-cooperative Game in Wireless Sensor Networks. Wirel. Pers. Commun. 2014, 78, 1047–1061. [Google Scholar] [CrossRef]
- Tan, K.; Fang, J.; Zhang, Y.; Chen, S.; Shi, L.; Zhang, J.; Zhang, Y. Fine-Grained Channel Access in Wireless LAN. IEEE/ACM Trans. Netw. 2013, 21, 772–787. [Google Scholar]
- Yuan, W.; Wang, P.; Liu, W.; Cheng, W. Variable-Width Channel Allocation for Access Points: A Game-Theoretic Perspective. IEEE Trans. Mob. Comput. 2013, 12, 1428–1442. [Google Scholar] [CrossRef]
- Khan, J.Y.; Chen, D.; Hulin, O. Enabling technologies for effective deployment of Internet of Things (IoT) systems: A communication networking perspective. Aust. J. Telecommun. Digit. Econ. 2014, 2, 576. [Google Scholar] [CrossRef]
- Vilgelm, M.; Gürsu, M.; Zoppi, S.; Kellerer, W. Time Slotted Channel Hopping for smart metering: Measurements and analysis of medium access. In Proceedings of the IEEE International Conference on Smart Grid Communications, Sydney, Australia, 6–9 November 2016. [Google Scholar]
- Zheng, J.; Cai, Y.; Xu, Y.; Anpalagan, A. Distributed Channel Selection for Interference Mitigation in Dynamic Environment: A Game-Theoretic Stochastic Learning Solution. IEEE Trans. Veh. Technol. 2014, 63, 4757–4762. [Google Scholar] [CrossRef]
- Zhao, J.; Ran, R.; Oh, C.H.; Seo, J. Analysis of the Effect of Coherence Bandwidth on Leakage Suppression Methods for OFDM Channel Estimation. J. Inf. Commun. Converg. Eng. 2014, 12, 221–227. [Google Scholar] [CrossRef]
- Saaty, L. Decision Making the Analytic Hierarchy and Network Processes (AHP/ANP). J. Syst. Sci. Syst. Eng. 2004, 13, 1–35. [Google Scholar] [CrossRef]
- Chu, C.H.; Hung, H.P.; Chen, M.S. A General Framework of Time-Variant Bandwidth Allocation in the Data Broadcasting Environment. IEEE Trans. Knowl. Data Eng. 2010, 22, 318–333. [Google Scholar] [CrossRef]
- Mueller, A. Systems and Methods for Determining the Number of Channel Estimation Symbols Based on the Channel Coherence Bandwidth. U.S. Patent EP 2377285A1, 4 August 2015. [Google Scholar]
- Tzeng, G.H.; Huang, J.J. Multiple Attribute Decision Making: Methods and Applications. Eur. J. Oper. Res. 2011, 4, 287–288. [Google Scholar]
- Li, W.; Zhu, C.; Leung, V.C.; Yang, L.T.; Ma, Y. Performance Comparison of Cognitive Radio Sensor Networks for Industrial IoT with Different Deployment Patterns. IEEE Syst. J. 2015, 99, 1–11. [Google Scholar] [CrossRef]
- Lv, B.; Wu, M.; Wen, J.; Wang, D. A Mixed Strategy-Based Mechanism for Multi-Rate Multi-Channel Allocation in Wireless Networks. In Proceedings of the Vehicular Technology Conference, Dresden, Germany, 2–5 June 2013. [Google Scholar]
- Tavakoli, R.; Nabi, M.; Basten, T.; Goossens, K. Enhanced Time-Slotted Channel Hopping in WSNs using Non-Intrusive Channel-Quality Estimation. In Proceedings of the IEEE International Conference on Mobile Ad Hoc & Sensor Systems, Dallas, TX, USA, 19–22 October 2015; pp. 217–225. [Google Scholar]
- Hirafuji, R.O.; Da Cunha, K.B.; Campelo, D.R.; Dhaini, A.R.; Khotimsky, D.A. The watchful sleep mode: A new standard for energy efficiency in future access networks. IEEE Commun. Mag. 2015, 53, 150–157. [Google Scholar] [CrossRef]
- Hirafuji, R.O.; Dhaini, A.R.; Khotimsky, D.A.; Campelo, D.R. Energy Efficiency Analysis of the Watchful Sleep Mode in Next-Generation Passive Optical Networks. In Proceedings of the IEEE Symposium on Computers and Communication, Messina, Italy, 27–30 June 2016. [Google Scholar]













| Relative Importance of Attribute i to Attribute j | |
|---|---|
| Equal importance | 1 |
| Moderate importance of one factor over another | 3 |
| Strong or essential importance | 5 |
| Very strong importance | 7 |
| Extreme importance | 9 |
| middle state between adjacent two stages | 2, 4, 6, 8 |
| Channel Attribute | Mathematical Distribution |
|---|---|
| SINR | Uniform distribution of 5–30 db |
| Bandwidth | Random distribution in 200 kHz–1 MHz |
| Coherent bandwidth | Delay spread obey uniform distribution of 5–20 kHz |
| Coherent time | Random distribution in 18–21 ms |
| Energy consumption | Same as [11] (lower transmission power in flat channel and more transmission power in fading channel) |
| Description | Value |
|---|---|
| Sampling frequency | 1 MHz |
| Available bandwidth | 1 MHz |
| Idle probability of the channel | 0.8 |
| Busy probability of the channel | 0.2 |
| Spectrum sensing power | 2 |
| Sleeping consuming power | 0.1 mW |
| Transmission power | 20 mW |
| Detection probability threshold | 0.9 |
| Length of data packet | 105 bits |
© 2017 by the authors. Licensee MDPI, Basel, Switzerland. This article is an open access article distributed under the terms and conditions of the Creative Commons Attribution (CC BY) license (http://creativecommons.org/licenses/by/4.0/).
Share and Cite
Ding, K.; Zhao, H.; Hu, X.; Wei, J. Distributed Channel Allocation and Time Slot Optimization for Green Internet of Things. Sensors 2017, 17, 2479. https://doi.org/10.3390/s17112479
Ding K, Zhao H, Hu X, Wei J. Distributed Channel Allocation and Time Slot Optimization for Green Internet of Things. Sensors. 2017; 17(11):2479. https://doi.org/10.3390/s17112479
Chicago/Turabian StyleDing, Kaiqi, Haitao Zhao, Xiping Hu, and Jibo Wei. 2017. "Distributed Channel Allocation and Time Slot Optimization for Green Internet of Things" Sensors 17, no. 11: 2479. https://doi.org/10.3390/s17112479
APA StyleDing, K., Zhao, H., Hu, X., & Wei, J. (2017). Distributed Channel Allocation and Time Slot Optimization for Green Internet of Things. Sensors, 17(11), 2479. https://doi.org/10.3390/s17112479

