Performance Improvement of Total Ionization Dose Radiation Sensor Devices Using Fluorine-Treated MOHOS
Abstract
:1. Introduction
2. Experimental Section
3. Results and Discussion
3.1. Radiation-Induced Charging Effect of F-MOHOS after Gamma Irradiation
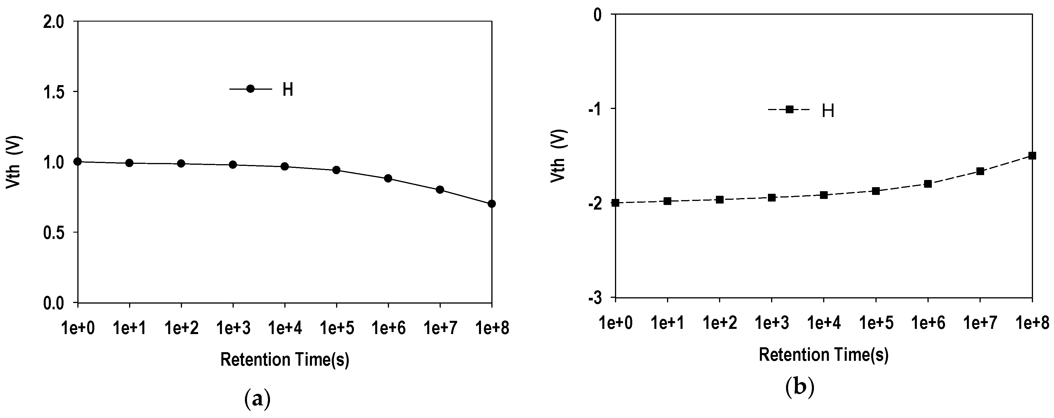
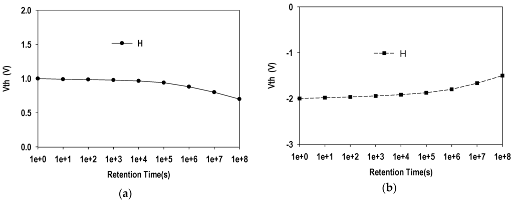
3.2. VT Stability vs. Retention Time
4. Conclusions
Acknowledgments
Author Contributions
Conflicts of Interest
References
- McWhorter, P.J.; Miller, S.L.; Dellin, T.A. Radiation response of SNOS nonvolatile transistors. IEEE Trans. Nucl. Sci. 1986, NS-33, 1414–1419. [Google Scholar] [CrossRef]
- Draper, B.; Dockerty, R.; Shaneyfelt, M.; Habermehl, S.; Murray, J. Total dose radiation response of NROM-style SOI non-volatile memory elements. IEEE Trans. Nucl. Sci. 2008, 55, 3202–3205. [Google Scholar] [CrossRef]
- Qiao, F.Y.; Yu, X.; Pan, L.Y. TID characterization of 0.13 μm SONOS cell in 4 Mb NOR Flash memory. In Proceedings of the 19th IEEE International Symposium on the Physical and Failure Analysis of Integrated Circuits (IPFA), Singapore, 2–6 July 2012.
- Hsieh, W.C.; Lee, H.T.; Jong, F.C. An Ionizing Radiation Sensor Using a Pre-Programmed MAHAOS Device. Sensors 2014, 14, 14553–14566. [Google Scholar] [CrossRef] [PubMed]
- Cheng, Y.H.; Ding, M.; Wu, X.L.; Xin, L.; Wu, K. Irradiation Effect of HfO2 MOS Structure under Gamma-ray. In Proceedings of the IEEE International Conference on Solid Dielectrics, Bologna, Italy, 30 June–4 July 2013.
- Oldham, T.R.; McLean, F.B. Total Ionizing Dose Effects in MOS Oxides and Devices. IEEE Trans. Nucl. Sci. 2003, 50, 483–499. [Google Scholar] [CrossRef]
- Wu, W.C.; Lai, C.S.; Wang, T.M.; Wang, J.C.; Hsu, C.W.; Ma, M.W.; Lo, W.C.; Chao, T.S. Carrier Transportation Mechanism of the TaN/HfO2/IL/Si Structure With Silicon Surface Fluorine Implantation. IEEE Trans. Electron. Devices 2008, 55, 1639–1646. [Google Scholar] [CrossRef]





| Split | N | H | FB | FA | FAB |
|---|---|---|---|---|---|
| Charge-trapping layer | Si3N4 | HfO2 | HfO2 | HfO2 | HfO2 |
| F treatment | no | no | Before HfO2 deposition | After HfO2 deposition | before and after HfO2 deposition |
© 2016 by the authors; licensee MDPI, Basel, Switzerland. This article is an open access article distributed under the terms and conditions of the Creative Commons by Attribution (CC-BY) license (http://creativecommons.org/licenses/by/4.0/).
Share and Cite
Hsieh, W.-C.; Lee, H.-T.D.; Jong, F.-C.; Wu, S.-C. Performance Improvement of Total Ionization Dose Radiation Sensor Devices Using Fluorine-Treated MOHOS. Sensors 2016, 16, 450. https://doi.org/10.3390/s16040450
Hsieh W-C, Lee H-TD, Jong F-C, Wu S-C. Performance Improvement of Total Ionization Dose Radiation Sensor Devices Using Fluorine-Treated MOHOS. Sensors. 2016; 16(4):450. https://doi.org/10.3390/s16040450
Chicago/Turabian StyleHsieh, Wen-Ching, Hao-Tien Daniel Lee, Fuh-Cheng Jong, and Shich-Chuan Wu. 2016. "Performance Improvement of Total Ionization Dose Radiation Sensor Devices Using Fluorine-Treated MOHOS" Sensors 16, no. 4: 450. https://doi.org/10.3390/s16040450
APA StyleHsieh, W.-C., Lee, H.-T. D., Jong, F.-C., & Wu, S.-C. (2016). Performance Improvement of Total Ionization Dose Radiation Sensor Devices Using Fluorine-Treated MOHOS. Sensors, 16(4), 450. https://doi.org/10.3390/s16040450

