High-Throughput Phenotyping of Wheat and Barley Plants Grown in Single or Few Rows in Small Plots Using Active and Passive Spectral Proximal Sensing
Abstract
:1. Introduction
2. Materials and Methods
2.1. Plot Experiments and Biomass Sampling
2.2. Spectral Reflectance Measurements
2.3. Statistical Analysis
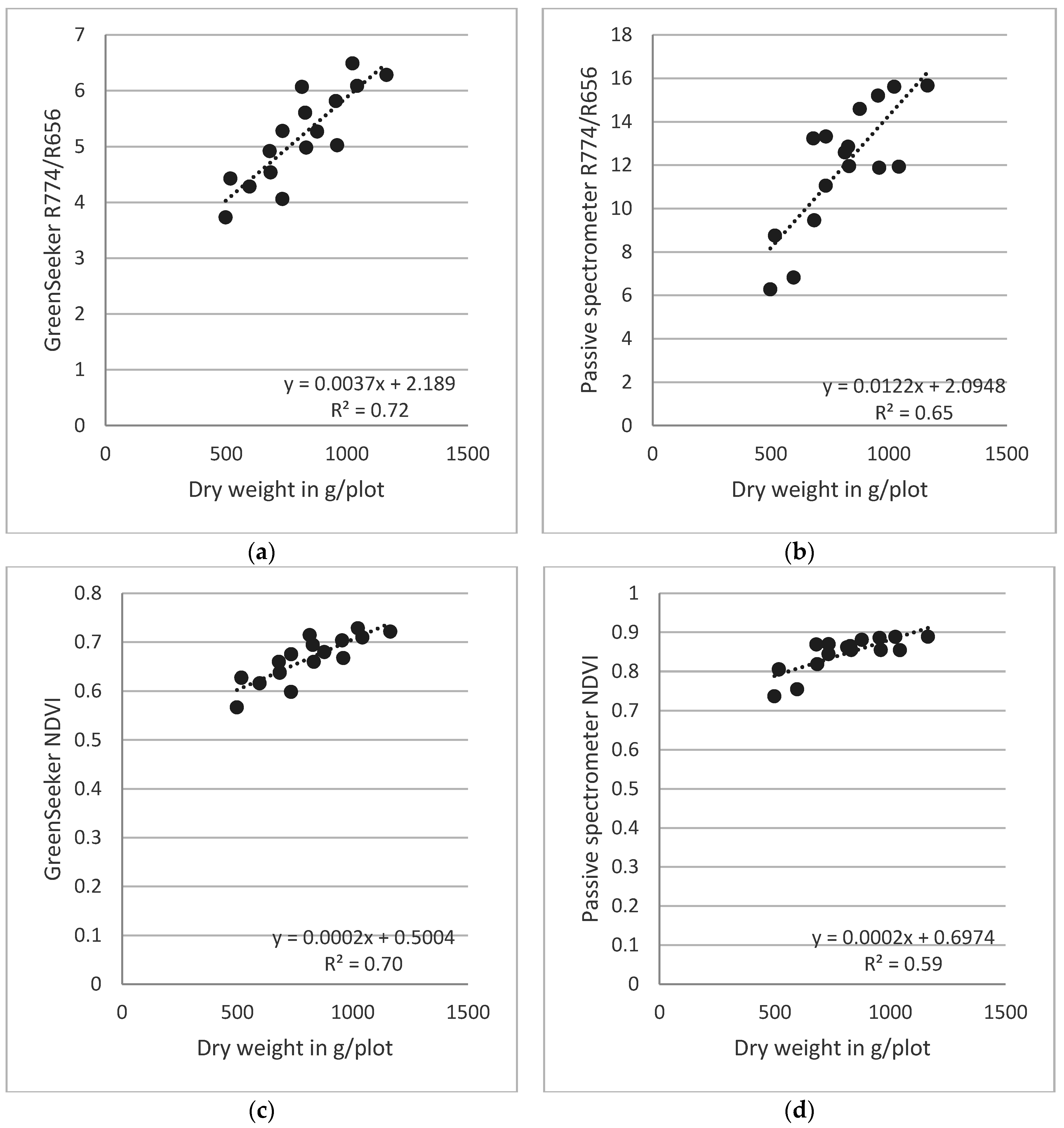
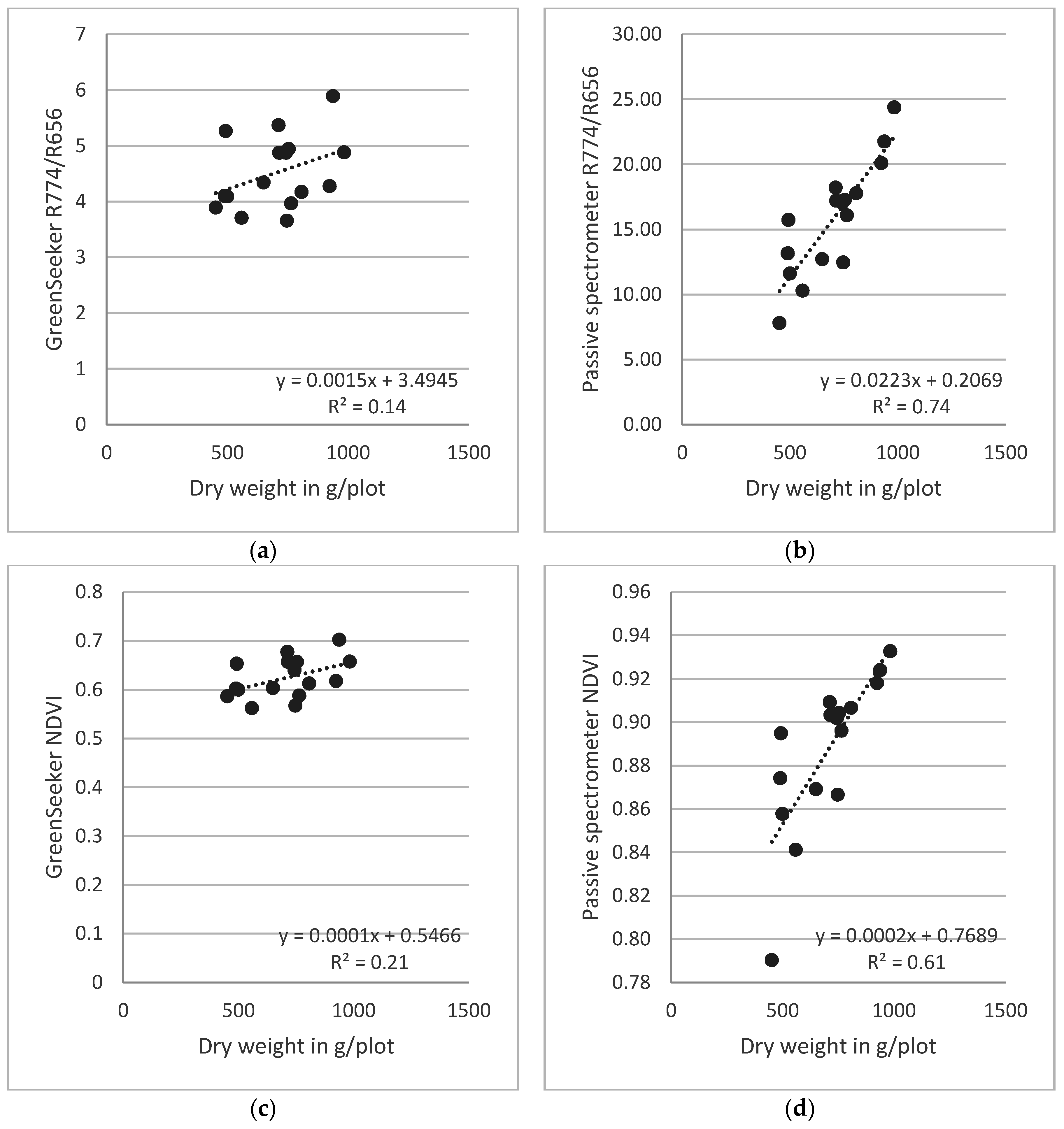
3. Results
3.1. Effects of Different Row Designs on Plant Fresh and Dry Weight, Aboveground Biomass Nitrogen Uptake, and Grain Yield
3.2. Relationship between Plant Parameters Obtained from Combination of the Four Plot Designs and Spectral Reflectance Measurements
4. Discussion
Acknowledgments
Author Contributions
Conflicts of Interest
References
- Brown, J.; Caligari, P.D.S. An Introduction to Plant Breeding; Wiley-Blackwell: Oxford, UK, 2008. [Google Scholar]
- Acquaah, G. Principles of Plant Genetics and Breeding; Wiley-Blackwell: Oxford, UK, 2012. [Google Scholar]
- Petersen, R.G. Agricultural Field Experiments: Design and Analysis; Marcel Dekker, Inc.: New York, NY, USA, 1994. [Google Scholar]
- Romani, M.; Borghi, B.; Alberici, R.; Delogu, G.; Hesselbach, J.; Salamini, F. Intergenotypic competition and border effect in bread wheat and barley. Euphytica 1993, 69, 19–31. [Google Scholar] [CrossRef]
- Austin, R.B.; Blackwell, R.D. Edge and neighbor effects in cereal yield trials. J. Agric. Sci. 1980, 94, 731–734. [Google Scholar] [CrossRef]
- White, J.W.; Andrade-Sanchez, P.; Gore, M.A.; Bronson, K.F.; Coffelt, T.A.; Conley, M.M.; Feldmann, K.A.; French, A.N.; Heun, J.T.; Hunsaker, D.J.; et al. Field-based phenomics for plant genetics research. Field Crops Res. 2012, 133, 101–112. [Google Scholar] [CrossRef]
- Erdle, K.; Mistele, B.; Schmidhalter, U. Spectral high-throughput assessments of phenotypic differences in biomass and nitrogen partitioning during grain filling of wheat under high yielding western European conditions. Field Crops Res. 2013, 141, 16–26. [Google Scholar] [CrossRef]
- Erdle, K.; Mistele, B.; Schmidhalter, U. Comparison of active and passive spectral sensors in discriminating biomass parameters and nitrogen status in wheat cultivars. Field Crops Res. 2011, 124, 74–84. [Google Scholar] [CrossRef]
- Rischbeck, P.; Elsayed, S.; Mistele, B.; Barmeier, G.; Heil, K.; Schmidhalter, U. Data fusion of spectral, thermal and canopy height parameters for improved yield prediction of drought stressed spring barley. Eur. J. Agron. 2016, 78, 44–59. [Google Scholar] [CrossRef]
- Winterhalter, L.; Mistele, B.; Schmidhalter, U. Evaluation of active and passive sensor systems in the field to phenotype maize hybrids with high-throughput. Field Crops Res. 2013, 154, 236–245. [Google Scholar] [CrossRef]
- Kipp, S.; Mistele, B.; Schmidhalter, U. The performance of active spectral reflectance sensors as influenced by measuring distance, device temperature and light intensity. Comput. Electron. Agric. 2014, 100, 24–33. [Google Scholar] [CrossRef]
- Rebetzke, G.J.; Fischer, R.A.; van Herwaarden, A.F.; Bonnett, D.G.; Chenu, K.; Rattey, A.R.; Fettell, N.A. Plot size matters: Interference from intergenotypic competition in plant phenotyping studies. Funct. Plant Biol. 2014, 41, 107–118. [Google Scholar] [CrossRef]
- May, K.W.; Morrison, R.J. Effect of different plot borders on grain yields in barley and wheat. Can. J. Plant. Sci. 1986, 66, 45–51. [Google Scholar] [CrossRef]
- Kramer, T.; Van Ooijen, J.; Spitters, C. Selection for yield in small plots of spring wheat. Euphytica 1982, 31, 549–564. [Google Scholar] [CrossRef]
- Depauw, R.M. Yield performance of 8 wheat cultivars in 2-row and 3-row plots. Can. J. Plant. Sci. 1975, 55, 37–39. [Google Scholar]
- Elsayed, S.; Rischbeck, P.; Schmidhalter, U. Comparing the performance of active and passive reflectance sensors to assess the normalized relative canopy temperature and grain yield of drought-stressed barley cultivars. Field Crops Res. 2015, 177, 148–160. [Google Scholar] [CrossRef]
- Kipp, S.; Mistele, B.; Baresel, P.; Schmidhalter, U. High-throughput phenotyping early plant vigour of winter wheat. Eur. J. Agron. 2013, 52, 271–278. [Google Scholar] [CrossRef]
- Zadoks, J.C.; Chang, T.T.; Konzak, C.F. A decimal code for the growth stages of cereals. Weed Res. 1974, 14, 415–421. [Google Scholar] [CrossRef]
- Hu, Y.; Schraml, M.; von Tucher, S.; Li, F.; Schmidhalter, U. Influence of nitrification inhibitors on yields of arable crops: A meta-analysis of recent studies in germany. Int. J. Plant Prod. 2014, 8, 33–50. [Google Scholar]
- Mistele, B.; Schmidhalter, U. Estimating the nitrogen nutrition index using spectral canopy reflectance measurements. Eur. J. Agron. 2008, 29, 184–190. [Google Scholar] [CrossRef]
- Rouse, J.W.; Haas, J.R.H.; Schell, J.A.; Deering, D.W. Monitoring vegetation systems in the Great Plains with erts. In Proceedings of the Third ERTS Symposium, Washington, DC, USA, 1974; pp. 309–317.
- Winterhalter, L.; Mistele, B.; Jampatong, S.; Schmidhalter, U. High throughput phenotyping of canopy water mass and canopy temperature in well-watered and drought stressed tropical maize hybrids in the vegetative stage. Eur. J. Agron. 2011, 35, 22–32. [Google Scholar] [CrossRef]
- Kim, Y.; Glenn, D.M.; Park, J.; Ngugi, H.K.; Lehman, B.L. Characteristics of active spectral sensor for plant sensing. Trans. ASABE 2012, 55, 293–301. [Google Scholar] [CrossRef]






| Variant | One-Row | Two-Row | ||||||||
|---|---|---|---|---|---|---|---|---|---|---|
| Fresh-Weight (g) | Dry-Weight (g) | N-Content (%) | N-Uptake (g) | Fresh-Weight (g) | Dry-Weight (g) | N-Content (%) | N-Uptake (g) | |||
| Barley | ZS 32 | Means | 1113 a | 243.6 a | 2.9 a | 7.1 a | 1607.1 ab | 372.4 ab | 2.5 a | 9.4 ab |
| CV | 0.14 | 0.20 | 0.06 | 0.21 | 0.12 | 0.12 | 0.08 | 0.13 | ||
| SE | 78.58 | 23.82 | 0.09 | 0.75 | 95.15 | 21.97 | 0.11 | 0.62 | ||
| ZS 65 | Means | 1626.2 a | 483.3 a | 1.7 a | 8.2 a | 2180.7 ab | 666.9 ab | 1.7 a | 11.9 a | |
| CV | 0.14 | 0.04 | 0.09 | 0.10 | 0.13 | 0.11 | 0.12 | 0.22 | ||
| SE | 117.60 | 9.31 | 0.08 | 0.43 | 144.01 | 35.75 | 0.11 | 1.29 | ||
| ZS 85 | Means | 1745.9 a | 706.7 a | 1.2 a | 8.8 a | 2295.5 b | 936.9 ab | 1.1 a | 10.8 a | |
| CV | 0.25 | 0.22 | 0.06 | 0.22 | 0.19 | 0.15 | 0.13 | 0.25 | ||
| SE | 218.73 | 78.50 | 0.04 | 0.97 | 221.52 | 69.72 | 0.08 | 1.35 | ||
| Wheat | ZS 32 | Means | 463.2 a | 109.6 a | 2.6 a | 2.8 a | 842 ab | 190.9 ab | 2.5 a | 4.7 ab |
| CV | 0.10 | 0.08 | 0.04 | 0.09 | 0.09 | 0.06 | 0.05 | 0.09 | ||
| SE | 23.50 | 4.40 | 0.05 | 0.13 | 36.44 | 5.60 | 0.06 | 0.22 | ||
| ZS 65 | Means | 1820 a | 574.1 a | 1.8 a | 10.5 a | 2584 ab | 767.9 ab | 1.6 a | 12.5 a | |
| CV | 0.06 | 0.13 | 0.04 | 0.17 | 0.10 | 0.08 | 0.08 | 0.12 | ||
| SE | 58.80 | 36.74 | 0.03 | 0.88 | 129.08 | 32.13 | 0.07 | 0.75 | ||
| ZS 85 | Means | 2111.7 a | 971.2 a | 0.8 a | 8.4 | 2994.1 ab | 1383.9 b | 0.9 ab | 13 | |
| CV | 0.02 | 0.06 | 0.06 | 0.06 | 0.04 | 0.04 | 0.17 | 0.17 | ||
| SE | 21.54 | 28.85 | 0.03 | 0.26 | 61.88 | 24.95 | 0.08 | 1.14 | ||
| Variant | Three-Row | Four-Row | ||||||||
| Fresh-Weight (g) | Dry-Weight (g) | N-Content (%) | N-Uptake (g) | Fresh-Weight (g) | Dry-Weight (g) | N-Content (%) | N-Uptake (g) | |||
| Barley | ZS 32 | Means | 1959.2 ab | 425.4 bc | 2.9 a | 12.5 ab | 2396.7 b | 545.7 c | 2.7 a | 14.7 b |
| CV | 0.07 | 0.08 | 0.09 | 0.17 | 0.16 | 0.14 | 0.11 | 0.16 | ||
| SE | 66.06 | 17.83 | 0.13 | 1.05 | 189.86 | 38.82 | 0.15 | 1.16 | ||
| ZS 65 | Means | 2595.5 b | 799.8 b | 1.8 a | 15 a | 2882.7 b | 857.3 b | 1.8 a | 16.2 a | |
| CV | 0.11 | 0.10 | 0.08 | 0.19 | 0.17 | 0.12 | 0.23 | 0.33 | ||
| SE | 149.18 | 40.01 | 0.08 | 1.43 | 239.40 | 51.92 | 0.22 | 2.65 | ||
| ZS 85 | Means | 2663.9 b | 1059.5 ab | 1.3 a | 14.3 a | 2984.6 b | 1143.7 b | 1.2 a | 14.6 a | |
| CV | 0.21 | 0.17 | 0.12 | 0.29 | 0.12 | 0.07 | 0.15 | 0.21 | ||
| SE | 278.86 | 91.74 | 0.08 | 2.11 | 177.28 | 41.60 | 0.09 | 1.56 | ||
| Wheat | ZS 32 | Means | 949.9 bc | 200.9 ab | 2.5 a | 5.1 bc | 1163.2 c | 266.3 c | 2.6 a | 7 c |
| CV | 0.17 | 0.12 | 0.01 | 0.12 | 0.12 | 0.09 | 0.08 | 0.16 | ||
| SE | 79.89 | 11.88 | 0.01 | 0.30 | 72.34 | 12.46 | 0.11 | 0.57 | ||
| ZS 65 | Means | 2931.7 bc | 887.2 b | 1.8 a | 16.4 a | 3406.7 c | 1004.4 b | 1.8 a | 18.5 ab | |
| CV | 0.14 | 0.14 | 0.10 | 0.23 | 0.08 | 0.10 | 0.13 | 0.22 | ||
| SE | 207.99 | 60.37 | 0.09 | 1.87 | 139.37 | 52.70 | 0.12 | 2.07 | ||
| ZS 85 | Means | 2822.7 b | 1338.3 b | 0.8 ab | 10.6 | 3347.8 b | 1562.5 b | 0.9 ab | 14.2 | |
| CV | 0.17 | 0.18 | 0.08 | 0.13 | 0.12 | 0.11 | 0.14 | 0.21 | ||
| SE | 243.30 | 121.83 | 0.03 | 0.71 | 195.63 | 84.89 | 0.06 | 1.51 | ||
| Variant | Complete Plot (10 Row) | |||||||||
| Fresh-Weight (g) | Dry-Weight (g) | N-Content (%) | N-Uptake (g) | |||||||
| Barley | ZS 32 | Means | 4631.8 c | 1085.5 d | 2.4 a | 26.8 c | ||||
| CV | 0.09 | 0.09 | 0.11 | 0.14 | ||||||
| SE | 198.34 | 50.32 | 0.14 | 1.92 | ||||||
| ZS 65 | Means | 5254.5 c | 1809.9 c | 1.8 a | 34 b | |||||
| CV | 0.13 | 0.16 | 0.14 | 0.31 | ||||||
| SE | 352.90 | 145.62 | 0.13 | 5.27 | ||||||
| ZS 85 | Means | 5843.7 c | 2403.8 d | 1.3 a | 31.4 b | |||||
| CV | 0.10 | 0.12 | 0.09 | 0.13 | ||||||
| SE | 297.01 | 139.30 | 0.06 | 2.03 | ||||||
| Wheat | ZS 32 | Means | 2773.2 d | 574.7 d | 2.7 a | 15.3 d | ||||
| CV | 0.17 | 0.15 | 0.08 | 0.08 | ||||||
| SE | 231.69 | 42.96 | 0.11 | 0.58 | ||||||
| ZS 65 | Means | 6420.5 d | 1760.2 c | 1.7 a | 30.5 b | |||||
| CV | 0.08 | 0.09 | 0.09 | 0.14 | ||||||
| SE | 255.45 | 75.08 | 0.08 | 2.11 | ||||||
| ZS 85 | Means | 6000 c | 2896 c | 0.6 b | 19.4 | |||||
| CV | 0.04 | 0.04 | 0.13 | 0.11 | ||||||
| SE | 132.96 | 56.94 | 0.04 | 1.11 | ||||||
| GreenSeeker | Passive Spectrometer | ||||||
|---|---|---|---|---|---|---|---|
| Barley ZS 32 | 774/656 | NDVI | 774/656 | NDVI | 800/770 | 820/755 | 720/400 |
| Fresh weight | 0.53 ** | 0.48 ** | 0.49 ** | 0.37* | 0.86 ** | ||
| Dry weight | 0.41 ** | 0.35 * | 0.37 * | 0.28 * | 0.85 ** | ||
| N-content | |||||||
| N-uptake | 0.46 ** | 0.46 ** | 0.44 ** | 0.43 ** | 0.84 ** | ||
| Barley ZS 65 | |||||||
| Fresh weight | 0.25 * | 0.34 * | 0.85 ** | 0.70 ** | |||
| Dry weight | 0.20 * | 0.74 ** | 0.61 ** | ||||
| N-content | 0.21 * | ||||||
| N-uptake | 0.21 * | 0.29 * | 0.71 ** | 0.50 ** | |||
| Barley ZS 85 | |||||||
| Fresh weight | 0.50 ** | 0.45 ** | 0.67 ** | 0.64 ** | 0.77 ** | ||
| Dry weight | 0.46 ** | 0.44 ** | 0.60 ** | 0.64 ** | 0.72 ** | ||
| N-content | 0.20 * | 0.30 * | 0.27 * | ||||
| N-uptake | 0.43 ** | 0.35 ** | 0.63 ** | 0.53 ** | 0.71 ** | ||
| Wheat ZS 32 | |||||||
| Fresh weight | 0.62 ** | 0.60 ** | 0.86 ** | 0.52 ** | |||
| Dry weight | 0.63 ** | 0.58 ** | 0.88 ** | 0.54 ** | |||
| N-content | |||||||
| N-uptake | 0.59 ** | 0.55 ** | 0.93 ** | 0.55 ** | |||
| Wheat ZS 65 | |||||||
| Fresh weight | 0.74 ** | 0.69 ** | 0.67 ** | 0.60 ** | |||
| Dry weight | 0.72 ** | 0.70 ** | 0.65 ** | 0.59 * | |||
| N-content | |||||||
| N-uptake | 0.51 * | 0.47 * | 0.37 * | 0.33 * | |||
| Wheat ZS 85 | |||||||
| Fresh weight | 0.66 ** | ||||||
| Dry weight | 0.63 ** | ||||||
| N-content | |||||||
| N-uptake | 0.40 * | ||||||
© 2016 by the authors; licensee MDPI, Basel, Switzerland. This article is an open access article distributed under the terms and conditions of the Creative Commons Attribution (CC-BY) license (http://creativecommons.org/licenses/by/4.0/).
Share and Cite
Barmeier, G.; Schmidhalter, U. High-Throughput Phenotyping of Wheat and Barley Plants Grown in Single or Few Rows in Small Plots Using Active and Passive Spectral Proximal Sensing. Sensors 2016, 16, 1860. https://doi.org/10.3390/s16111860
Barmeier G, Schmidhalter U. High-Throughput Phenotyping of Wheat and Barley Plants Grown in Single or Few Rows in Small Plots Using Active and Passive Spectral Proximal Sensing. Sensors. 2016; 16(11):1860. https://doi.org/10.3390/s16111860
Chicago/Turabian StyleBarmeier, Gero, and Urs Schmidhalter. 2016. "High-Throughput Phenotyping of Wheat and Barley Plants Grown in Single or Few Rows in Small Plots Using Active and Passive Spectral Proximal Sensing" Sensors 16, no. 11: 1860. https://doi.org/10.3390/s16111860
APA StyleBarmeier, G., & Schmidhalter, U. (2016). High-Throughput Phenotyping of Wheat and Barley Plants Grown in Single or Few Rows in Small Plots Using Active and Passive Spectral Proximal Sensing. Sensors, 16(11), 1860. https://doi.org/10.3390/s16111860

