High Sensitivity Refractive Index Sensor Based on Dual-Core Photonic Crystal Fiber with Hexagonal Lattice
Abstract
:1. Introduction
2. The Structure and Theoretical Analysis
3. Results and Discussion
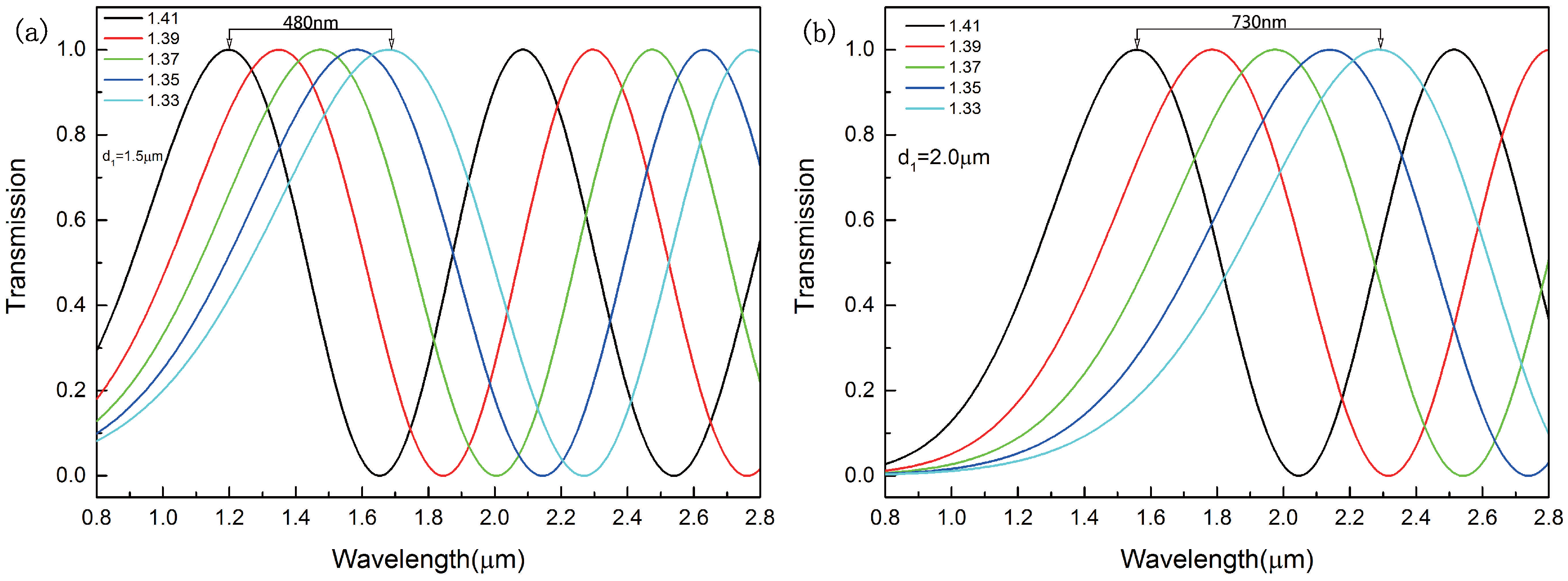
3.1. The Determine of the Transmission Length for the Refractive Index Sensor
3.2. The Effect of the Adjacent Air Holes Pitches on Sensitivity
3.3. The Effect of the Size of the Analyte-Filled Air Holes on Sensitivity
3.4. The Result of Numerical Fitting and Sensitivity Calculation
4. Conclusions
Acknowledgments
Author Contributions
Conflicts of Interest
References
- Birks, T.A.; Knight, J.C.; Russell, P.S.J. Endlessly single-mode photonic crystal fiber. Opt. Lett. 1997, 22, 961–963. [Google Scholar] [CrossRef] [PubMed]
- Roberts, P.; Couny, F.; Sabert, H.; Mangan, B.; Williams, D.; Farr, L.; Mason, M.; Tomlinson, A.; Birks, T.; Knight, J.; et al. Ultimate low loss of hollow-core photonic crystal fibres. Opt. Express 2005, 13, 236–244. [Google Scholar] [CrossRef] [PubMed]
- Yue, Y.; Kai, G.; Wang, Z.; Sun, T.; Jin, L.; Lu, Y.; Zhang, C.; Liu, J.; Li, Y.; Liu, Y.; et al. Highly birefringent elliptical-hole photonic crystal fiber with squeezed hexagonal lattice. Opt. Lett. 2007, 32, 469–471. [Google Scholar] [CrossRef] [PubMed]
- Liao, M.; Yan, X.; Qin, G.; Chaudhari, C.; Suzuki, T.; Ohishi, Y. A highly non-linear tellurite microstructure fiber with multi-ring holes for supercontinuum generation. Opt. Express 2009, 17, 15481–15490. [Google Scholar] [CrossRef] [PubMed]
- Hundertmark, H.; Rammler, S.; Wilken, T.; Holzwarth, R.; Hänsch, T.W.; Russell, P.S. Octave-spanning supercontinuum generated in SF6-glass PCF by a 1060 nm mode-locked fibre laser delivering 20 pJ per pulse. Opt. Express 2009, 17, 1919–1924. [Google Scholar] [CrossRef] [PubMed]
- Kurokawa, K.; Tajima, K.; Nakajima, K. 10-GHz 0.5-ps Pulse Generation in 1000-nm Band in PCF for High-Speed Optical Communication. J. Lightwave Technol. 2007, 25, 75–78. [Google Scholar] [CrossRef]
- Lu, Y.; Hao, C.J.; Wu, B.Q.; Musideke, M.; Duan, L.C.; Wen, W.Q.; Yao, J.Q. Surface plasmon resonance sensor based on polymer photonic crystal fibers with metal nanolayers. Sensors 2013, 13, 956–965. [Google Scholar] [CrossRef] [PubMed]
- Wang, J.J.; Chen, L.; Kwan, S.; Liu, F.; Deng, X. Resonant grating filters as refractive index sensors for chemical and biological detections. J. Vac. Sci. Technol. B 2005, 23, 3006–3010. [Google Scholar] [CrossRef]
- Qazi, H.H.; Mohammad, A.B.B.; Akram, M. Recent progress in optical chemical sensors. Sensors 2012, 12, 16522–16556. [Google Scholar] [CrossRef] [PubMed]
- Adhikari, B.R.; Govindhan, M.; Chen, A. Carbon nanomaterials based electrochemical sensors/biosensors for the sensitive detection of pharmaceutical and biological compounds. Sensors 2015, 15, 22490–22508. [Google Scholar] [CrossRef] [PubMed]
- Shi, Q.; Kuhlmey, B.T. Optimization of photonic bandgap fiber long period grating refractive-index sensors. Opt. Commun. 2009, 282, 4723–4728. [Google Scholar] [CrossRef]
- Tian, M.; Lu, P.; Chen, L.; Lv, C.; Liu, D. All-solid D-shaped photonic fiber sensor based on surface plasmon resonance. Opt. Commun. 2012, 285, 1550–1554. [Google Scholar] [CrossRef]
- Xiao, Y.Y.; Wang, H.W. Refractive Index Sensors Based Resonant Coupling in Solid-Core Photonic Band-Gap Fibers. Adv. Mater. Res. 2013, 753–755, 2103–2106. [Google Scholar] [CrossRef]
- Chen, H.; Cheng, S.L.T. Polarization splitter based on three-core photonic crystal fiber with rectangle lattice. J. Mod. Opt. 2014, 61, 1696–1701. [Google Scholar] [CrossRef]
- Jiang, H.; Wang, E.; Xie, K.; Hu, Z. Dual-Core Photonic Crystal Fiber for Use in Fiber Filters. IEEE Photonics J. 2016, 8. [Google Scholar] [CrossRef]
- Sun, B.; Chen, M.Y.; Zhang, Y.K.; Yang, J.C.; Yao, J.Q.; Cui, H.X. Microstructured-core photonic-crystal fiber for ultra-sensitive refractive index sensing. Opt. Express 2011, 19, 4091–4100. [Google Scholar] [CrossRef] [PubMed]
- Shuai, B.; Xia, L.; Zhang, Y.; Liu, D. A multi-core holey fiber based plasmonic sensor with large detection range and high linearity. Opt. Express 2012, 20, 5974–5986. [Google Scholar] [CrossRef] [PubMed]
- Wu, D.K.; Kuhlmey, B.T.; Eggleton, B.J. Ultrasensitive photonic crystal fiber refractive index sensor. Opt. Lett. 2009, 34, 322–324. [Google Scholar] [CrossRef] [PubMed]
- Town, G.E.; Yuan, W.; Mccosker, R.; Bang, O. Microstructured optical fiber refractive index sensor. Opt. Lett. 2010, 35, 856–858. [Google Scholar] [CrossRef] [PubMed]
- Rindorf, L.; Jensen, J.B.; Dufva, M.; Pedersen, L.H.; Høiby, P.E.; Bang, O. Photonic crystal fiber long-period gratings for biochemical sensing. Opt. Express 2006, 14, 8224–8231. [Google Scholar] [CrossRef] [PubMed]
- Jensen, J.; Hoiby, P.; Emiliyanov, G.; Bang, O.; Pedersen, L.; Bjarklev, A. Selective detection of antibodies in microstructured polymer optical fibers. Opt. Express 2005, 13, 5883–5889. [Google Scholar] [CrossRef] [PubMed]
- Miyashita, K.; Kuroda, S.; Ubukata, T.; Ozawa, T.; Kubota, H. Full-Vector Analysis of Photonic Crystal Fibers Using the Finite Element Method (Special Issue on Optical Fibers and Devices). IEICE Trans. Electron. 2002, 85, 881–888. [Google Scholar]
- Lee, H.W.; Schmidt, M.A.; Tyagi, H.K.; Sempere, L.P.; Russell, P.S.J. Polarization-dependent coupling to plasmon modes on submicron gold wire in photonic crystal fiber. Appl. Phys. Lett. 2008, 93, 111102. [Google Scholar] [CrossRef]
- Agrawal, G.P. Nonlinear Fiber Optics; Academic Press: Cambridge, MA, USA, 1989. [Google Scholar]
- Ademgil, H.; Haxha, S. PCF Based Sensor with High Sensitivity, High Birefringence and Low Confinement Losses for Liquid Analyte Sensing Applications. Sensors 2015, 15, 31833–31842. [Google Scholar] [CrossRef] [PubMed]
- Guan, C.; Yuan, L.; Shi, J. Supermode analysis of multicore photonic crystal fibers. Opt. Commun. 2010, 283, 2686–2689. [Google Scholar] [CrossRef]
- Shuai, B.; Xia, L.; Liu, D. Coexistence of positive and negative refractive index sensitivity in the liquid-core photonic crystal fiber based plasmonic sensor. Opt. Express 2012, 20, 25858–25866. [Google Scholar] [CrossRef] [PubMed]
- Wang, Y.; Liao, C.R.; Wang, D.N. Femtosecond laser-assisted selective infiltration of microstructured optical fibers. Opt. Express 2010, 18, 18056–18060. [Google Scholar] [CrossRef] [PubMed]
- Hunger, D.; Deutsch, C.; Barbour, R.J.; Warburton, R.J.; Reichel, J. Laser micro-fabrication of concave, low-roughness features in silica. AIP Adv. 2011, 2, 943–948. [Google Scholar] [CrossRef]
- Wang, Z.; Taru, T.; Birks, T.; Knight, J.; Liu, Y.; Du, J. Coupling in dual-core photonic bandgap fibers: Theory and experiment. Opt. Express 2007, 15, 4795–4803. [Google Scholar] [CrossRef] [PubMed]
- Huang, T. Highly Sensitive SPR Sensor Based on D-shaped Photonic Crystal Fiber Coated with Indium Tin Oxide at Near-Infrared Wavelength. Plasmonics 2016, 1–6. [Google Scholar] [CrossRef]
- Wo, J.; Wang, G.; Cui, Y.; Sun, Q.; Liang, R.; Shum, P.P.; Liu, D. Refractive index sensor using microfiber-based Mach—Zehnder interferometer. Opt. Lett. 2012, 37, 67–69. [Google Scholar] [CrossRef] [PubMed]
- Lu, P.; Men, L.; Sooley, K.; Chen, Q. Tapered fiber Mach–Zehnder interferometer for simultaneous measurement of refractive index and temperature. Appl. Phys. Lett. 2009, 94, 131110. [Google Scholar] [CrossRef]









© 2016 by the authors; licensee MDPI, Basel, Switzerland. This article is an open access article distributed under the terms and conditions of the Creative Commons Attribution (CC-BY) license (http://creativecommons.org/licenses/by/4.0/).
Share and Cite
Wang, H.; Yan, X.; Li, S.; An, G.; Zhang, X. High Sensitivity Refractive Index Sensor Based on Dual-Core Photonic Crystal Fiber with Hexagonal Lattice. Sensors 2016, 16, 1655. https://doi.org/10.3390/s16101655
Wang H, Yan X, Li S, An G, Zhang X. High Sensitivity Refractive Index Sensor Based on Dual-Core Photonic Crystal Fiber with Hexagonal Lattice. Sensors. 2016; 16(10):1655. https://doi.org/10.3390/s16101655
Chicago/Turabian StyleWang, Haiyang, Xin Yan, Shuguang Li, Guowen An, and Xuenan Zhang. 2016. "High Sensitivity Refractive Index Sensor Based on Dual-Core Photonic Crystal Fiber with Hexagonal Lattice" Sensors 16, no. 10: 1655. https://doi.org/10.3390/s16101655
APA StyleWang, H., Yan, X., Li, S., An, G., & Zhang, X. (2016). High Sensitivity Refractive Index Sensor Based on Dual-Core Photonic Crystal Fiber with Hexagonal Lattice. Sensors, 16(10), 1655. https://doi.org/10.3390/s16101655
 
         
                                                

