Effects of Operating Parameters on Measurements of Biochemical Oxygen Demand Using a Mediatorless Microbial Fuel Cell Biosensor
Abstract
:1. Introduction
2. Materials and Methods
2.1. MFC
2.2. Operating Properties of the MFC Biosensor
2.3. Analysis
3. Results and Discussion
3.1. Effect of Retention Time on MFC Performance

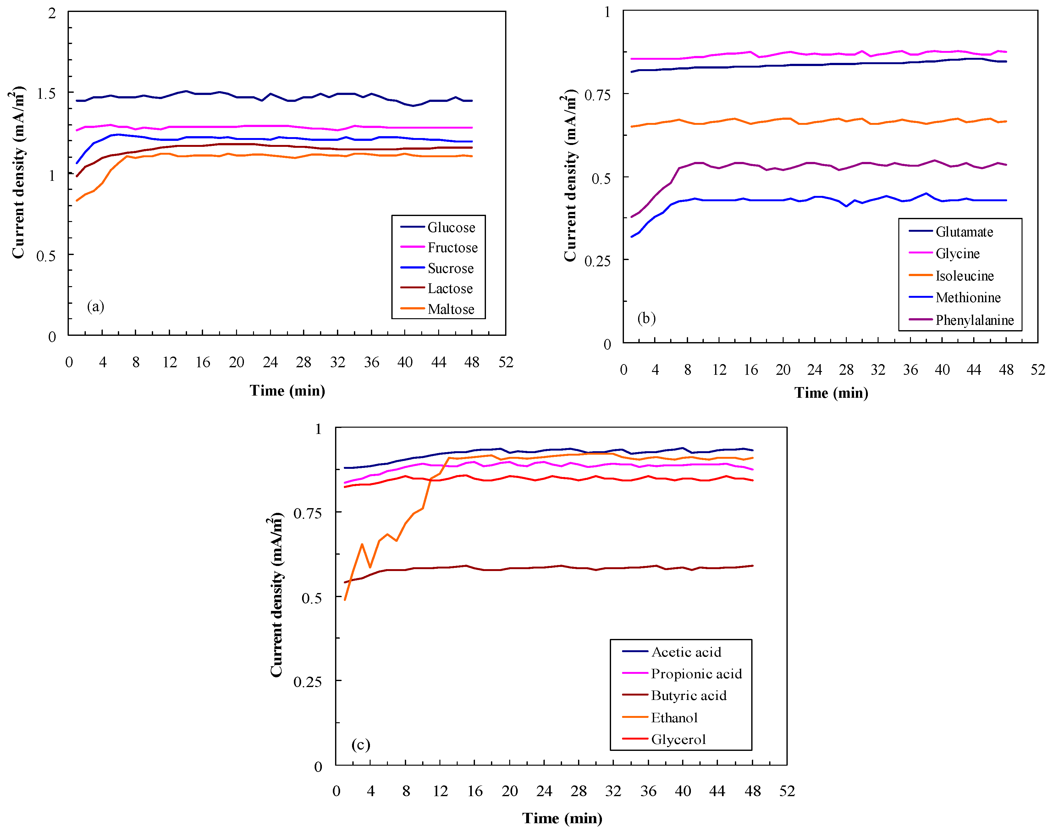
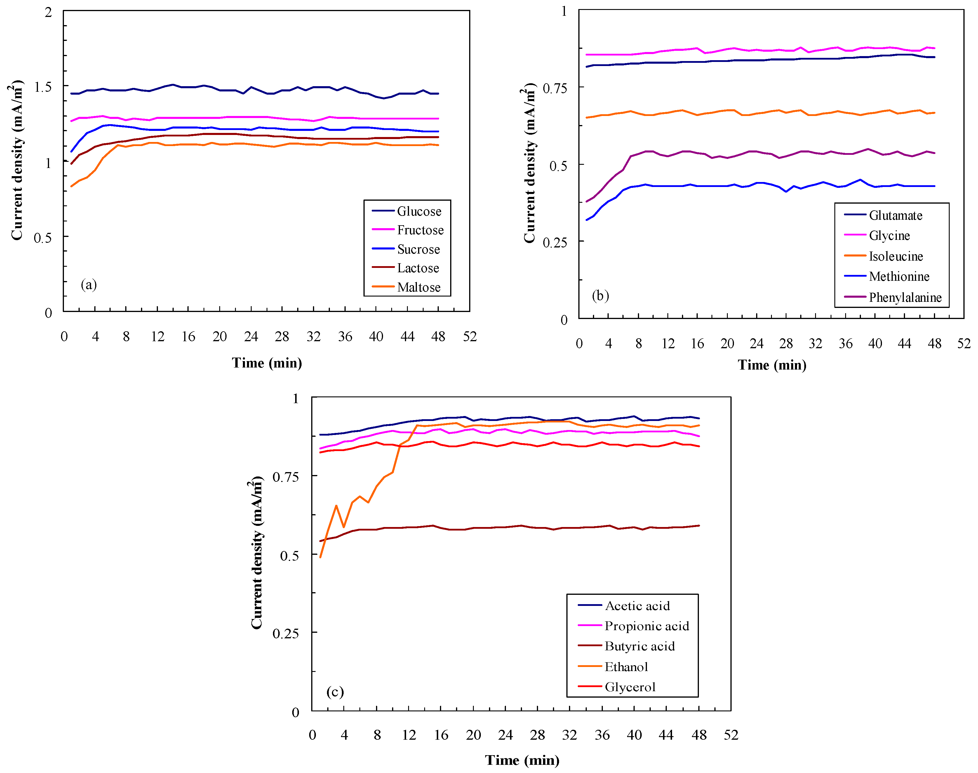
3.2. Effect of Substrates on MFC Performance


3.3. Effect of Coexisting Ions on MFC Performance

3.4. Effects of Metabolic Inhibitors


3.5. Continuous BOD Measurement on Wastewater Using the MFC Biosensor
| River Water | Seawater | Domestic Wastewater | ||||||||
|---|---|---|---|---|---|---|---|---|---|---|
| A* | B | C | A | B | A | B | C | D | E | |
| BOD5 (mg/L) | 18 ± 1.6 | 5±0.6 | 26 ± 1.8 | 15 ± 0.9 | 6.5 ± 0.4 | 210 ± 10.2 | 65 ± 2.8 | 25 ± 1.8 | 320 ± 13.8 | 580 ± 15.6 |
| MFC biosensor | 17.8 ± 1.2 | 5.1 ± 0.3 | 25.2 ± 1.2 | 14.5 ± 0.6 | 6.3 ± 0.2 | 206 ± 5.8 | 63 ± 1.9 | 24.6 ± 1.2 | 342 ± 8.5 | 624 ± 12.1 |
| Deviation (%) | −1.11 | 2.00 | −3.08 | −3.33 | −3.08 | −1.9 | −3.08 | −1.6 | 6.88 | 7.58 |
4. Conclusions
Acknowledgements
Author Contributions
Conflicts of Interest
References
- Kim, B.H.; Chang, I.S.; Gil, G.C.; Park, H.S.; Kim, H.J. Novel BOD (biological oxygen demand) sensor using mediator-less microbial fuel cell. Biotechnol. Lett. 2003, 25, 541–545. [Google Scholar] [CrossRef]
- Jouanneau, S.; Recoules, L.; Durand, M.J.; Boukabache, A.; Picot, V.; Primault, Y.; Lakel, A.; Sengelin, M.; Barillon, B.; Thouand, G. Methods for assessing biochemical oxygen demand (BOD): A review. Water Res. 2014, 49, 62–82. [Google Scholar] [CrossRef] [PubMed]
- Modin, O.; Wilén, B.M. A novel bioelectrochemical BOD sensor operating with voltage input. Water Res. 2012, 46, 6113–6120. [Google Scholar] [CrossRef] [PubMed]
- Chang, I.S.; Jang, J.K.; Gil, G.C.; Kim, M.; Kim, H.J.; Cho, B.W.; Kim, B.H. Continuous determination of biochemical oxygen demand using a microbial fuel cell type biosensor. Biosens. Bioelectron. 2004, 19, 607–613. [Google Scholar] [CrossRef]
- Chouler, J.; Di Lorenzo, M. Water quality monitoring in developing countries; can microbial fuel cells be the answer? Biosensors 2015, 5, 450–470. [Google Scholar] [CrossRef] [PubMed]
- Moon, H.; Chang, I.S.; Kang, K.H.; Jang, J.K.; Kim, B.H. Improving the dynamic response of a mediator-less microbial fuel cell as a biochemical oxygen demand (BOD) sensor. Biotechnol. Lett. 2004, 26, 1717–1721. [Google Scholar] [CrossRef] [PubMed]
- Hsieh, M.C.; Chung, Y.C. Measurement of biochemical oxygen demand from different wastewater samples using a mediator-less microbial fuel cell biosensor. Environ. Technol. 2014, 35, 2204–2211. [Google Scholar] [CrossRef] [PubMed]
- Kim, M.; Youn, S.M.; Shin, S.H.; Jang, J.G.; Han, S.H.; Hyun, M.S.; Gadd, G.M.; Kim, H.J. Practical field application of a novel BOD monitoring system. J. Environ. Monit. 2003, 5, 640–643. [Google Scholar] [CrossRef] [PubMed]
- Abrevaya, X.C.; Sacco, N.J.; Bonetto, M.C.; Hilding-Ohlsson, A.; Cortón, E. Analytical applications of microbial fuel cells. Part I: Biochemical oxygen demand. Biosens. Bioelectron. 2015, 63, 580–590. [Google Scholar] [CrossRef] [PubMed]
- Zheng, Q.; Xiong, L.; Mo, B.; Lu, W.; Kim, S.; Wang, Z. Temperature and humidity sensor powered by an individual microbial fuel cell in a power management system. Sensors 2015, 15, 23126–23144. [Google Scholar] [CrossRef] [PubMed]
- Freguia, S.; Rabaey, K.; Yuan, Z.; Keller, J. Electron and carbon balances in microbial fuel cells reveal temporary bacterial storage behavior during electricity generation. Environ. Sci. Technol. 2007, 41, 2915–2921. [Google Scholar] [CrossRef] [PubMed]
- Lee, H.S.; Parameswaran, P.; Kato-Marcus, A.; Torres, C.I.; Rittmann, B.E. Evaluation of energy-conversion efficiencies in microbial fuel cells (MFCs) utilizing fermentable and non-fermentable substrates. Water Res. 2008, 42, 1501–1510. [Google Scholar] [CrossRef] [PubMed]
- Harnisch, F.; Schröder, U. Selectivity versus mobility: separation of anode and cathode in microbial bioelectrochemical systems. ChemSusChem 2009, 2, 921–926. [Google Scholar] [CrossRef] [PubMed]
- Kim, B.H.; Park, H.S.; Kim, H.J.; Kim, G.T.; Chang, I.S.; Lee, J.; Phung, N.T. Enrichment of microbial community generating electricity using a fuel cell type electrochemical cell. Appl. Microbiol. Biotechnol. 2004, 63, 672–681. [Google Scholar] [CrossRef] [PubMed]
- Calson, C.A.; Ferguson, L.P.; Ingraham, J.L. Properties of dissimilatory nitrate reductase purified from the denitrifier Psedomonas aeruginosa. J. Bacteriol. 1982, 151, 162–171. [Google Scholar]
- Gil, G.C.; Chang, I.S.; Kim, B.H.; Kim, M.; Jang, J.K.; Park, H.S.; Kim, H.J. Operational parameters affecting the performannce of a mediator-less microbial fuel cell. Biosens. Bioelectron. 2003, 18, 327–334. [Google Scholar] [CrossRef]
- Kim, K.Y.; Chae, K.J.; Choi, M.J.; Ajayi, F.F.; Jang, A.; Kim, C.W.; Kim, I.S. Enhanced Coulombic efficiency in glucose-fed microbial fuel cells by reducing metabolite electron losses using dual-anode electrodes. Bioresour. Technol. 2011, 102, 4144–4149. [Google Scholar] [CrossRef] [PubMed]
- Kumlanghan, A.; Liu, J.; Thavarungkul, P.; Kanatharana, P.; Mattiasson, B. Microbial fuel cell-based biosensor for fast analysis of biodegradable organic matter. Biosens. Bioelectron. 2007, 22, 2939–2944. [Google Scholar] [CrossRef] [PubMed]
- Ayyaru, S.; Dharmalingam, S. Enhanced response of microbial fuel cell using sulfonated poly ether ether ketone membrane as a biochemical oxygen demand sensor. Anal. Chim. Acta 2014, 25, 15–22. [Google Scholar] [CrossRef] [PubMed]
- Wang, H.Y.; Bernarda, A.; Huang, C.Y.; Lee, D.J.; Chang, J.S. Micro-sized microbial fuel cell: A mini-review. Bioresour. Technol. 2011, 102, 235–243. [Google Scholar] [CrossRef] [PubMed]
- Bachate, S.P.; Nandre, V.S.; Ghatpande, N.S.; Kodam, K.M. Simultaneous reduction of Cr(VI) and oxidation of As(III) by Bacillus firmus TE7 isolated from tannery effluent. Chemosphere 2013, 90, 2273–2278. [Google Scholar] [CrossRef] [PubMed]
- Nakamura, H.; Suzuki, K.; Ishikuro, H.; Kinoshita, S.; Koizumi, R.; Okuma, S.; Gotoh, M.; Karube, I. A new BOD estimation method employing a double-mediator system by ferricyanide and menadione using the eukaryote Saccharomyces Cerevisiae. Talanta. 2007, 72, 210–216. [Google Scholar] [CrossRef] [PubMed]
- Kumar, M.S.; Ghare, N.Y.; Vaidya, A.N.; Bal, A.S. Recovery of acid from pickling liquors. Environ. Eng. Sci. 1998, 15, 259–263. [Google Scholar] [CrossRef]
- Stewart, V. Nitrate respiration in relation to facultative metabolism in Enterobacteria. Microbial. Rev. 1988, 52, 190–232. [Google Scholar]
- Richardson, D.J.; McEwan, A.G.; Page, M.D.; Jackson, J.B.; Ferguson, S.J. The identification of cytochromes involved in the transfer of electrons to the periplasmic NO3− reductase of Rhodobacter capsulatus and resolution of a soluble (NO3−)-reductase-cytochromec552 redox complex. Eur. J. Biochem. 1990, 194, 263–270. [Google Scholar] [CrossRef] [PubMed]
- Kumlanghan, A.; Kanatharana, P.; Asawatreratanakul, A.; Mattiasson, B.; Thavarungkul, P. Microbial BOD sensor for monitoring treatment of wastewater from a rubber latex industry. Enzyme Microb. Tech. 2008, 42, 483–491. [Google Scholar] [CrossRef]
- Zhang, Y.; Angelidaki, I. Submersible microbial fuel cell sensor for monitoring microbial activity and BOD in groundwater: focusing on impact of anodic biofilm on sensor applicability. Biotechnol. Bioeng. 2011, 108, 2339–2347. [Google Scholar] [CrossRef] [PubMed]
© 2015 by the authors; licensee MDPI, Basel, Switzerland. This article is an open access article distributed under the terms and conditions of the Creative Commons by Attribution (CC-BY) license (http://creativecommons.org/licenses/by/4.0/).
Share and Cite
Hsieh, M.-C.; Cheng, C.-Y.; Liu, M.-H.; Chung, Y.-C. Effects of Operating Parameters on Measurements of Biochemical Oxygen Demand Using a Mediatorless Microbial Fuel Cell Biosensor. Sensors 2016, 16, 35. https://doi.org/10.3390/s16010035
Hsieh M-C, Cheng C-Y, Liu M-H, Chung Y-C. Effects of Operating Parameters on Measurements of Biochemical Oxygen Demand Using a Mediatorless Microbial Fuel Cell Biosensor. Sensors. 2016; 16(1):35. https://doi.org/10.3390/s16010035
Chicago/Turabian StyleHsieh, Min-Chi, Chiu-Yu Cheng, Man-Hai Liu, and Ying-Chien Chung. 2016. "Effects of Operating Parameters on Measurements of Biochemical Oxygen Demand Using a Mediatorless Microbial Fuel Cell Biosensor" Sensors 16, no. 1: 35. https://doi.org/10.3390/s16010035
APA StyleHsieh, M.-C., Cheng, C.-Y., Liu, M.-H., & Chung, Y.-C. (2016). Effects of Operating Parameters on Measurements of Biochemical Oxygen Demand Using a Mediatorless Microbial Fuel Cell Biosensor. Sensors, 16(1), 35. https://doi.org/10.3390/s16010035

