An Efficient and Reliable Geographic Routing Protocol Based on Partial Network Coding for Underwater Sensor Networks
Abstract
:1. Introduction

2. Related Work
2.1. Geographic Information Routing
2.2. Network Coding Schemes for Underwater Networks
3. Network and Partial Networking Coding Models
3.1. The Network Model

3.2. Packet Delivery Probability
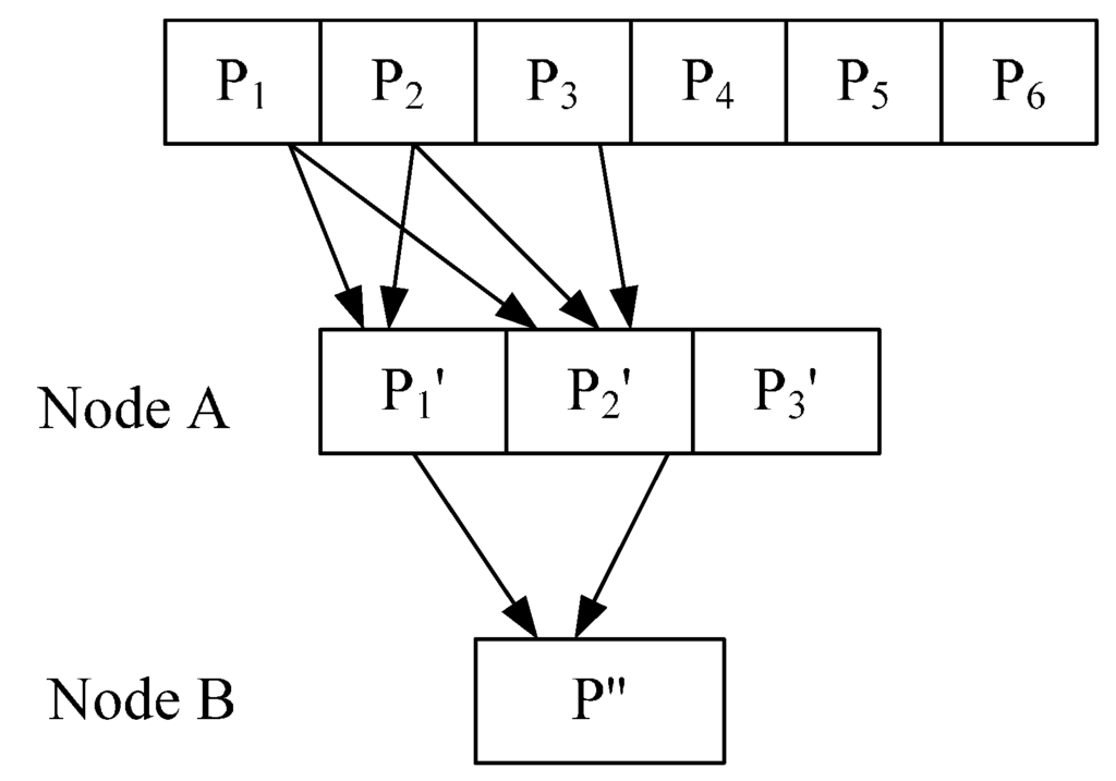
3.3. The Partial Network Coding Model



4. The GPNC Routing Algorithm
5. Performance Evaluation
5.1. Effect of the Size of Encoding Information Block N on the Network Performance
5.1.1. Network Delay


5.1.2. Network Throughput

5.2. Energy Consumption


5.3. Packet Delivery Ratio


6. Conclusions and Future Work
Acknowledgments
Author Contributions
Conflicts of Interest
References
- Heidemann, J.; Stojanovic, M.; Zorzi, M. Underwater Sensor Networks: Applications, Advances, and Challenges. Philos. Trans. R. Soc. (A) 2012, 370, 158–175. [Google Scholar] [CrossRef] [PubMed]
- Guo, Z.; Luo, H.; Hong, F.; Yang, M.; Li, N. Current Progress and Research Issues in Underwater Sensor Networks. J. Comput. Res. Dev. 2010, 47, 377–389. [Google Scholar]
- Qarabaqi, P.; Stojanovic, M. Statistical Characterization and Computationally Efficient Modeling of a Class of Underwater Acoustic Communication Channels. IEEE J. Ocean. Eng. 2013, 38, 701–717. [Google Scholar] [CrossRef]
- Coutinho, R.W.L.; Boukerche, A.; Vieira, L.F.M.; Loureiro, A.A.F. GEDAR: Geographic and Opportunistic Routing Protocol with Depth Adjustment for Mobile Underwater Sensor Networks. In Proceedings of the IEEE International Conference on Communications (ICC), Sydney, Australia, 10–14 June 2014; pp. 251–256.
- Hong, F.; Zhang, Y.L.; Yang, B.Z.; Guo, Y.; Guo, Z. Review on Time Synchronization Techniques in Underwater Acoustic Sensor Networks. Acta Electron. Sin. 2013, 41, 960–965. [Google Scholar]
- Peng, J.; Hong, C.J.; Liu, T. Strategy of routing based on layered for underwater wireless sensor networks. J. Commun. 2014, 35, 25–31. [Google Scholar]
- Stojanovic, M.; Freitag, L. Recent Trends in Underwater Acoustic Communications. Mar. Technol. Soc. J. 2013, 47, 45–50. [Google Scholar] [CrossRef]
- Ayaz, M.; Baig, I.; Abdullah, A.; Faye, I. Review: A survey on routing techniques in underwater wireless sensor networks. J. Netw. Comput. Appl. 2011, 34, 1908–1927. [Google Scholar] [CrossRef]
- Ahlswede, R.; Cai, N.; Li, S.Y.R.; Yeung, R.W. Network Information Flow. IEEE Trans. Inf. Theory 2000, 46, 1204–1216. [Google Scholar] [CrossRef]
- Erez, E.; Kim, M.; Xu, Y.; Yeh, E.M.; Médard, M. Deterministic Network Model Revisited: An Algebraic Network Coding Approach. IEEE Trans. Inf. Theory 2014, 60, 4867–4879. [Google Scholar] [CrossRef]
- Angelopoulos, G.; Chandrakasan, A.P.; Médard, M. PRAC: Exploiting Partial Packets without Cross-layer or Feedback Information. In Proceedings of the IEEE International Conference on Communications (ICC), Sydney, Australia, 10–14 June 2014; pp. 5802–5807.
- Zhang, X.; Neglia, G.; Kurose, J.; Towsley, D.; Wang, H. Benefits of Network Coding for Unicast Application in Disruption-Tolerant Networks. IEEE/ACM Trans. Netw. 2013, 5, 1407–1420. [Google Scholar] [CrossRef]
- Wu, H.; Chen, M.; Guan, X. A Network Coding Based Routing Protocol for Underwater Sensor Networks. Sensors 2012, 12, 4559–4577. [Google Scholar] [CrossRef] [PubMed]
- Wang, D.; Zhang, Q.; Liu, J. Partial Network Coding: Theory and Application for Continuous Sensor Data Collection. In Proceedings of the IEEE International Workshop on Quality of Service (IWQoS), New Haven, CT, USA, 19–21 June 2006; pp. 93–101.
- Yan, H.; Shi, Z.J.; Cui, J.H. DBR: Depth-based routing for underwater sensor networks. In Proceedings of the 7th International IFIP-TC6 Networking Conference on Ad Hoc and Sensor Networks, Wireless Networks, Next Generation Internet, Singapore, 5–9 May 2008; pp. 72–86.
- Xie, P.; Cui, J.H.; Lao, L. VBF: vector-based forwarding protocol for underwater sensor networks. In Proceedings of the 5th International IFIP-TC6 Conference on Networking Technologies, Services, and Protocols; Performance of Computer and Communication Networks; Mobile and Wireless Communications Systems, Coimbra, Portugal, 15–19 May 2006; pp. 1216–1221.
- Nicolaou, N.; See, A.; Xie, P.; Cui, J.H.; Maggiorini, D. Improving the robustness of location-based routing for underwater sensor networks. In Proceedings of the OCEANS 2007—Europe, Aberdeen, UK, 18–21 June 2007; p. 106.
- Jornet, J.M.; Stojanovic, M.; Zorzi, M. Focused beam routing protocol for underwater acoustic networks. In Proceedings of the Third ACM International Workshop on Underwater Networks (WUWNet), San Francisco, CA, USA, 14–19 September 2008; pp. 75–82.
- Chen, Y.S.; Juang, T.Y.; Lin, Y.W.; Tsai, I.C. A Low Propagation Delay Multi-Path Routing Protocol for Underwater Sensor Networks. J. Internet Technol. 2010, 11, 153–165. [Google Scholar]
- Mo, H.; Zhou, Z.; Zuba, M.; Peng1, Z.; Cui, J.H.; Shu, Y. Practical Coding-based Multi-hop Reliable Data Transfer for Underwater Acoustic Networks. In Proceedings of the IEEE Global Communications Conference (GLOBECOM), Anaheim, CA, USA, 3–7 December 2012; pp. 5751–5756.
- Chitre, M.; Soh, W.S. Network coding to combat packet loss in underwater networks. In Proceedings of the Fifth ACM International Workshop on UnderWater Networks (WUWNet), Woods Hole, MA, USA, 30 September–1 October 2010; p. 106.
- Guo, Z.; Wang, B.; Xie, P.; Zeng, W.; Cui, J.H. Efficient error recovery with network coding in underwater sensor networks. Ad Hoc Netw. 2009, 7, 791–802. [Google Scholar] [CrossRef]
- Kun, H.; Zhigang, J.; Ping, H. A New Opportunistic Routing Mechanism Based on Partial Network Coding. In Proceedings of the 5th International Conference on Intelligent Networks and Intelligent Systems, Bucharest, Romania, 19–21 September 2012; pp. 154–157.
- Zuba, M.; Jiang, Z.; Yang, T.; Su, Y.; Cui, J.H. An Advanced Channel Framework for Improved Underwater Acoustic Network Simulations. In Proceedings of the MTS/IEEE OCEANS’13, San Diego, CA, USA, 23–27 September 2013.
- Zhu, Y.; Martin, R.; Cui, J.H. Aqua-Sim 2.0: An NS-2 Based Simulator for Underwater Sensor Networks. In Proceedings of the Eighth ACM International Workshop on Underwater Networks (WUWNet), Kaohsiung, Taiwan, 11–13 November 2013.
- Tran, M.; Zuba, M.; Le, S.; Zhu, Y.; Peng, Z.; Cui, J.H. Aqua-3D: An Underwater Network Animator. In Proceedings of the MTS/IEEE OCEANS’12, Hampton Roads, VA, USA, 14–17 October 2012; pp. 1–5.
- LinkQuest Underwater Acoustic Moderms UWM3000. Available online: http://www.link-quest.com/html/uwm3000.htm (6 September 2014).
© 2015 by the authors; licensee MDPI, Basel, Switzerland. This article is an open access article distributed under the terms and conditions of the Creative Commons Attribution license (http://creativecommons.org/licenses/by/4.0/).
Share and Cite
Hao, K.; Jin, Z.; Shen, H.; Wang, Y. An Efficient and Reliable Geographic Routing Protocol Based on Partial Network Coding for Underwater Sensor Networks. Sensors 2015, 15, 12720-12735. https://doi.org/10.3390/s150612720
Hao K, Jin Z, Shen H, Wang Y. An Efficient and Reliable Geographic Routing Protocol Based on Partial Network Coding for Underwater Sensor Networks. Sensors. 2015; 15(6):12720-12735. https://doi.org/10.3390/s150612720
Chicago/Turabian StyleHao, Kun, Zhigang Jin, Haifeng Shen, and Ying Wang. 2015. "An Efficient and Reliable Geographic Routing Protocol Based on Partial Network Coding for Underwater Sensor Networks" Sensors 15, no. 6: 12720-12735. https://doi.org/10.3390/s150612720
APA StyleHao, K., Jin, Z., Shen, H., & Wang, Y. (2015). An Efficient and Reliable Geographic Routing Protocol Based on Partial Network Coding for Underwater Sensor Networks. Sensors, 15(6), 12720-12735. https://doi.org/10.3390/s150612720

