Electropolymerized Molecularly Imprinted Polypyrrole Film for Sensing of Clofibric Acid
Abstract
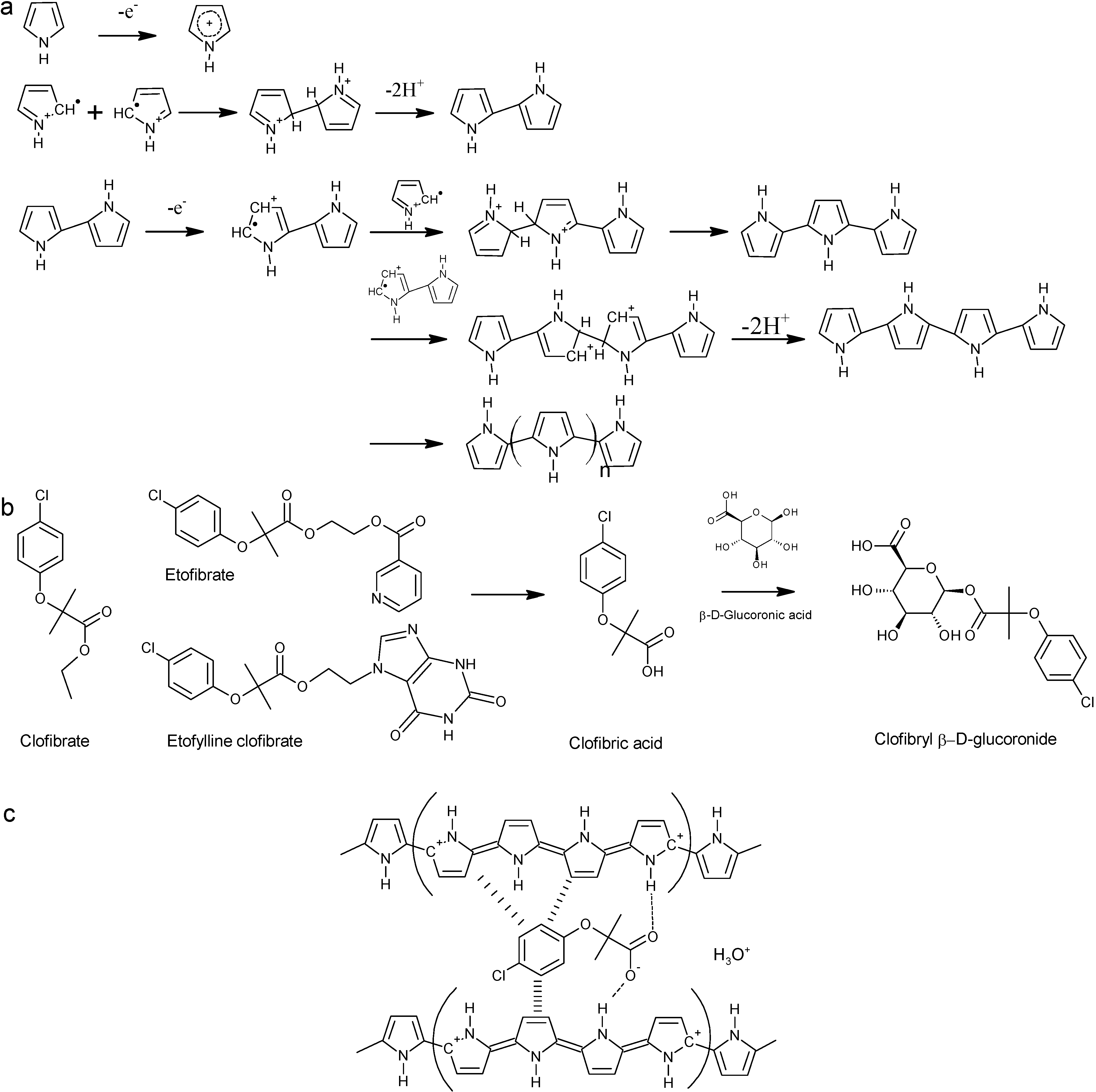
:1. Introduction

2. Experimental Section
2.1. Chemicals
2.2. Instrumentation
2.3. Synthesis and Characterization of Imprinted Polypyrrole Sensor
2.4. Binding Experiments
2.5. Washing Procedures
2.6. Selectivity Test
3. Results and Discussion
3.1. Influences of Template Concentration, Buffer, and Cycle Number on Polypyrrole Deposition


3.2. Binding Experiments


3.3. Surface Studies



4. Conclusions
Acknowledgments
Author Contributions
Appendix

Conflicts of Interest
References
- Wulff, G.; Sarhan, A.; Zabrocki, K. Enzyme-analogue built polymers and their use for the resolution of racemates. Tetrahedron Lett. 1973, 44, 4329–4332. [Google Scholar] [CrossRef]
- Marty, J.; Mauzac, M. Molecular imprinting: State of the art and perspectives. In Microlithography Molecular Imprinting; Springer: Berlin/Heidelberg, Germany, 2005; Volume 172, pp. 1–35. [Google Scholar]
- Vlatakis, G.; Andersson, L.; Müller, R.; Mosbach, K. Drug assay using antibody mimics made by molecular imprinting. Nature 1993, 361, 645–647. [Google Scholar] [CrossRef] [PubMed]
- Sellergren, B.; Shea, K.J. Enantioselective ester hydrolysis catalyzed by imprinted polymers. Tetrahedron Asymmetry 1994, 5, 1403–1406. [Google Scholar] [CrossRef]
- Sellergren, B.; Karmalkar, R.N.; Shea, K.J. Enantioselective ester hydrolysis catalyzed by imprinted polymers. J. Org. Chem. 2000, 65, 4009–4027. [Google Scholar] [CrossRef] [PubMed]
- Kryscio, D.R.; Peppas, N.A. Critical review and perspective of macromolecularly imprinted polymers. Acta Biomater. 2012, 8, 461–473. [Google Scholar] [CrossRef] [PubMed]
- Haupt, K.; Mosbach, K. Molecularly imprinted polymers and their use in biomimetic sensors. Chem. Rev. 2000, 100, 2495–2504. [Google Scholar] [CrossRef] [PubMed]
- Pardieu, E.; Cheap, H.; Vedrine, C.; Lazerges, M.; Lattach, Y.; Garnier, F.; Remita, S.; Pernelle, C. Molecularly imprinted conducting polymer based electrochemical sensor for detection of atrazine. Anal. Chim. Acta 2009, 649, 236–245. [Google Scholar] [CrossRef] [PubMed]
- Kanazawa, K.K.; Diaz, A.F.; Geiss, R.H.; Gill, W.D.; Kwak, J.F.; Logan, J.A.; Rabolt, J.F.; Street, G.B. “Organic metals”: Polypyrrole, a stable synthetic “metallic” polymer. J. Chem. Soc. Chem. Commun. 1979, 19, 854–855. [Google Scholar] [CrossRef]
- Heinze, J.; Frontana-Uribe, B.A.; Ludwigs, S. Electrochemistry of conducting polymers—Persistent models and new concepts. Chem. Rev. 2010, 110, 4724–4771. [Google Scholar] [CrossRef] [PubMed]
- Ebarvia, B.S.; Cabanilla, S.; Sevilla, F. Biomimetic properties and surface studies of a piezoelectric caffeine sensor based on electrosynthesized polypyrrole. Talanta 2005, 66, 145–152. [Google Scholar] [CrossRef] [PubMed]
- Choong, C.-L.; Bendall, J.S.; Milne, W.I. Carbon nanotube array: A new MIP platform. Biosens. Bioelectron. 2009, 25, 652–656. [Google Scholar] [CrossRef] [PubMed]
- Choong, C.-L.; Milne, W.I. Dynamic modulation of detection window in conducting polymer based biosensors. Biosens. Bioelectron. 2010, 25, 2384–2388. [Google Scholar] [CrossRef] [PubMed]
- Deore, B.; Chen, Z.; Nagaoka, T. Potential-induced enantioselective uptake of amino acid into molecularly imprinted overoxidized polypyrrole. Anal. Chem. 2000, 72, 3989–3994. [Google Scholar] [CrossRef] [PubMed]
- Shiigi, H.; Kijima, D.; Ikenaga, Y.; Hori, K.; Fukazawa, S.; Nagaoka, T. Molecular recognition for bile acids using a molecularly imprinted overoxidized polypyrrole film. J. Electrochem. Soc. 2005, 152, H129–H134. [Google Scholar] [CrossRef]
- Syritski, V.; Reut, J.; Menaker, A.; Gyurcsányi, R.E.; Öpik, A. Electrosynthesized molecularly imprinted polypyrrole films for enantioselective recognition of l-aspartic acid. Electrochim. Acta 2008, 53, 2729–2736. [Google Scholar] [CrossRef]
- Spurlock, L.D.; Jaramillo, A.; Praserthdam, A.; Lewis, J.; Brajter-Toth, A. Selectivity and sensitivity of ultrathin purine-templated overoxidized polypyrrole film electrodes. Anal. Chim. Acta 1996, 336, 37–46. [Google Scholar] [CrossRef]
- Choi, S.-W.; Chang, H.-J.; Lee, N.; Chun, H.S. A surface plasmon resonance sensor for the detection of deoxynivalenol using a molecularly imprinted polymer. Sensors 2011, 11, 8654–8664. [Google Scholar] [CrossRef] [PubMed]
- Huang, W.-R.; Chen, Y.-L.; Lee, C.-Y.; Chiu, H.-T. Fabrication of gold/polypyrrole core/shell nanowires on a flexible substrate for molecular imprinted electrochemical sensors. RSC Adv. 2014, 4, 62393–62398. [Google Scholar]
- Maouche, N.; Guergouri, M.; Gam-Derouich, S.; Jouini, M.; Nessark, B.; Chehimi, M.M. Molecularly imprinted polypyrrole films: Some key parameters for electrochemical picomolar detection of dopamine. J. Electroanal. Chem. 2012, 685, 21–27. [Google Scholar] [CrossRef]
- Sun, S.; Zhang, M.; Li, Y.; He, X. A molecularly imprinted polymer with incorporated graphene oxide for electrochemical determination of quercetin. Sensors 2013, 13, 5493–5506. [Google Scholar] [CrossRef] [PubMed]
- Radi, A.-E.; El-Naggar, A.-E.; Nassef, H.M. Determination of coccidiostat clopidol on an electropolymerized-molecularly imprinted polypyrrole polymer modified screen printed carbon electrode. Anal. Methods 2014, 6, 7967–7972. [Google Scholar] [CrossRef]
- Hrichi, H.; Louhaichi, M.R.; Monser, L.; Adhoum, N. Gliclazide voltammetric sensor based on electropolymerized molecularly imprinted polypyrrole film onto glassy carbon electrode. Sens. Actuators B Chem. 2014, 204, 42–49. [Google Scholar] [CrossRef]
- Tadi, K.K.; Motghare, R.V.; Ganesh, V. Electrochemical detection of sulfanilamide using pencil graphite electrode based on molecular imprinting technology. Electroanalysis 2014, 26, 2328–2336. [Google Scholar] [CrossRef]
- Turco, A.; Corvaglia, S.; Mazzotta, E. Electrochemical sensor for sulfadimethoxine based on molecularly imprinted polypyrrole: Study of imprinting parameters. Biosens. Bioelectron. 2015, 63, 240–247. [Google Scholar] [CrossRef] [PubMed]
- Apodaca, D.C.; Pernites, R.B.; Ponnapati, R.R.; Del Mundo, F.R.; Advincula, R.C. Electropolymerized molecularly imprinted polymer films of a bis-terthiophene dendron: Folic acid quartz crystal microbalance sensing. ACS Appl. Mater. Interfaces 2011, 3, 191–203. [Google Scholar] [CrossRef] [PubMed]
- Ikariyama, Y.; Heineman, W. Polypyrrole electrode as a detector for electroinactive anions by flow injection analysis. Anal. Chem. 1986, 58, 1803–1806. [Google Scholar] [CrossRef]
- Ye, J.; Baldwin, R. Flow-injection analysis for electroinactive anions at a polyaniline electrode. Anal. Chem. 1988, 60, 1979–1982. [Google Scholar] [CrossRef]
- Ramanaviciene, A.; Finkelsteinas, A.; Ramanavicius, A. Molecularly imprinted polypyrrole for sensor design. Mater. Sci. 2004, 10, 18–23. [Google Scholar]
- Ramanaviciene, A.; Ramanavicius, A. Molecularly imprinted polypyrrole-based synthetic receptor for direct detection of bovine leukemia virus glycoproteins. Biosens. Bioelectron. 2004, 20, 1076–1082. [Google Scholar] [CrossRef] [PubMed]
- Ternes, T.A. Occurrence of drugs in German sewage treatment plants and rivers. Water Res. 1998, 32, 3245–3260. [Google Scholar] [CrossRef]
- Emudianughe, T.; Caldwell, J.; Sinclair, K.; Smith, R. Species differences in the metabolic conjugation of clofibric acid and clofibrate in laboratory animals and man. Drug Metab. Dispos. 1983, 11, 91–102. [Google Scholar] [PubMed]
- Zhang, Y.; Liu, Y.; Dai, C.; Zhou, X.; Liu, S. Adsorption of clofibric acid from aqueous solution by graphene oxide and the effect of environmental factors. Water Air Soil Pollut. 2014, 225, 2064. [Google Scholar] [CrossRef]
- Huang, D.-L.; Wang, R.-Z.; Liu, Y.-G.; Zeng, G.-M.; Lai, C.; Xu, P.; Lu, B.-A.; Xu, J.-J.; Wang, C.; Huang, C. Application of molecularly imprinted polymers in wastewater treatment: A review. Environ. Sci. Pollut. Res. Int. 2015, 22, 963–977. [Google Scholar] [CrossRef] [PubMed]
- Dai, C.-M.; Zhang, J.; Zhang, Y.-L.; Zhou, X.-F.; Duan, Y.-P.; Liu, S.-G. Selective removal of acidic pharmaceuticals from contaminated lake water using multi-templates molecularly imprinted polymer. Chem. Eng. J. 2012, 211–212, 302–309. [Google Scholar] [CrossRef]
- Dai, C.; Zhang, J.; Zhang, Y.; Zhou, X.; Liu, S. Application of molecularly imprinted polymers to selective removal of clofibric acid from water. PLoS One 2013, 8, e78167. [Google Scholar] [CrossRef] [PubMed]
- Dai, C.; Zhang, J.; Zhang, Y.; Zhou, X.; Duan, Y.; Liu, S. Removal of carbamazepine and clofibric acid from water using double templates-molecularly imprinted polymers. Environ. Sci. Pollut. Res. Int. 2013, 20, 5492–5501. [Google Scholar] [CrossRef] [PubMed]
- Zorita, S.; Boyd, B.; Jönsson, S.; Yilmaz, E.; Svensson, C.; Mathiasson, L.; Bergström, S. Selective determination of acidic pharmaceuticals in wastewater using molecularly imprinted solid-phase extraction. Anal. Chim. Acta 2008, 626, 147–154. [Google Scholar] [CrossRef] [PubMed]
- Ebarvia, B.S.; Binag, C.A.; Sevilla, F. Biomimetic piezoelectric quartz sensor for caffeine based on a molecularly imprinted polymer. Anal. Bioanal. Chem. 2004, 378, 1331–1337. [Google Scholar] [CrossRef] [PubMed]
- Luo, Y.; Guo, W.; Ngo, H.H.; Nghiem, L.D.; Hai, F.I.; Zhang, J.; Liang, S.; Wang, X.C. A review on the occurrence of micropollutants in the aquatic environment and their fate and removal during wastewater treatment. Sci. Total Environ. 2014, 473–474, 619–641. [Google Scholar] [CrossRef] [PubMed]
- Sadki, S.; Schottland, P.; Brodie, N.; Sabouraud, G. The mechanisms of pyrrole electropolymerization. Chem. Soc. Rev. 2000, 29, 283–293. [Google Scholar] [CrossRef]
- Löffler, D.; Römbke, J.; Meller, M.; Ternes, T.A. Environmental fate of pharmaceuticals in water/sediment systems. Environ. Sci. Technol. 2005, 39, 5209–5218. [Google Scholar] [CrossRef] [PubMed]
- Scheytt, T.; Mersmann, P.; Lindstädt, R.; Heberer, T. 1-Octanol/water partition coefficients of 5 pharmaceuticals from human medical care: Carbamazepine, clofibric acid, diclofenac, ibuprofen, and propyphenazone. Water. Air. Soil Pollut. 2005, 165, 3–11. [Google Scholar] [CrossRef]
- Ryan, E.M.; Breslin, C.B.; Moulton, S.E.; Wallace, G.G. The effect of dopant pKa and the solubility of corresponding acid on the electropolymerisation of pyrrole. Electrochim. Acta 2013, 92, 276–284. [Google Scholar] [CrossRef]
- Dwivedi, P.; Matz, L.M.; Atkinson, D.A.; Hill, H.H. Electrospray ionization-ion mobility spectrometry: A rapid analytical method for aqueous nitrate and nitrite analysis. Analyst 2004, 129, 139–144. [Google Scholar] [CrossRef] [PubMed]
- Bose, C.; Basak, S.; Rajeshwar, K. Electrochemistry of poly(pyrrole chloride) films: A study of polymerization efficiency, ion transport during redox and doping level assay by electrochemical quartz crystal microgravimetry, pH, and ion-selective electrode measurements. J. Phys. Chem. 1992, 96, 9899–9906. [Google Scholar] [CrossRef]
- Tokonami, S.; Shiigi, H.; Nagaoka, T. Molecularly Imprinted Sensors. In Molecularly Imprinted Sensors: Overview and Applications; Li, S., Ge, Y., Piletsky, S.A., Lunec, J., Eds.; Elsevier: Oxford, UK, 2012; pp. 73–89. [Google Scholar]
- Higgins, M.J.; McGovern, S.T.; Wallace, G.G. Visualizing dynamic actuation of ultrathin polypyrrole films. Langmuir 2009, 25, 3627–3633. [Google Scholar] [CrossRef] [PubMed]
- Özcan, L.; Şahin, Y. Determination of paracetamol based on electropolymerized-molecularly imprinted polypyrrole modified pencil graphite electrode. Sens. Actuators B Chem. 2007, 127, 362–369. [Google Scholar] [CrossRef]
- Zaid, B.; Aeiyach, S.; Lacaze, P. Electropolymerization of pyrrole in propylene carbonate on zinc electrodes modified by heteropolyanions. Synth. Met. 1994, 65, 27–34. [Google Scholar] [CrossRef]
- Atanasoska, L.; Naoi, K.; Smyrl, W. XPS studies on conducting polymers: Polypyrrole films doped with perchlorate and polymeric anions. Chem. Mater. 1992, 4, 988–994. [Google Scholar] [CrossRef]
- Idla, K.; Talo, A.; Niemi, H.; Forsén, O.; Yläsaari, S. An XPS and AFM study of polypyrrole coating on mild steel. Surf. Interface Anal. 1997, 25, 837–854. [Google Scholar] [CrossRef]
- Inganäs, O.; Erlandsson, R.; Nylander, C.; Lundström, I. Proton modification of conducting polypyrrole. J. Phys. Chem. Solids 1984, 45, 427–432. [Google Scholar] [CrossRef]
- Skotheim, T.; Florit, M.; Melo, A.; O’Grady, W. Ultrahigh-vacuum in situ electrochemistry with solid polymer electrolyte and X-ray photoelectron spectroscopy studies of polypyrrole. Phys. Rev. B 1984, 30, 4846–4849. [Google Scholar] [CrossRef]
- Apodaca, D.; Pernites, R.; Ponnapati, R.; del Mundo, F.R.; Advincula, R.C. Electropolymerized molecularly imprinted polymer film: EIS sensing of bisphenol A. Macromolecules 2011, 44, 6669–6682. [Google Scholar] [CrossRef]
- Thompson, B.C.; Moulton, S.E.; Richardson, R.T.; Wallace, G.G. Effect of the dopant anion in polypyrrole on nerve growth and release of a neurotrophic protein. Biomaterials 2011, 32, 3822–3831. [Google Scholar] [CrossRef] [PubMed]
- Zhang, X.; Bai, R. Surface electric properties of polypyrrole in aqueous solutions. Langmuir 2003, 19, 10703–10709. [Google Scholar] [CrossRef]
- Gelmi, A.; Higgins, M.J.; Wallace, G.G. Physical surface and electromechanical properties of doped polypyrrole biomaterials. Biomaterials 2010, 31, 1974–1983. [Google Scholar] [CrossRef] [PubMed]
© 2015 by the authors; licensee MDPI, Basel, Switzerland. This article is an open access article distributed under the terms and conditions of the Creative Commons Attribution license (http://creativecommons.org/licenses/by/4.0/).
Share and Cite
Schweiger, B.; Kim, J.; Kim, Y.J.; Ulbricht, M. Electropolymerized Molecularly Imprinted Polypyrrole Film for Sensing of Clofibric Acid. Sensors 2015, 15, 4870-4889. https://doi.org/10.3390/s150304870
Schweiger B, Kim J, Kim YJ, Ulbricht M. Electropolymerized Molecularly Imprinted Polypyrrole Film for Sensing of Clofibric Acid. Sensors. 2015; 15(3):4870-4889. https://doi.org/10.3390/s150304870
Chicago/Turabian StyleSchweiger, Bianca, Jungtae Kim, Young Jun Kim, and Mathias Ulbricht. 2015. "Electropolymerized Molecularly Imprinted Polypyrrole Film for Sensing of Clofibric Acid" Sensors 15, no. 3: 4870-4889. https://doi.org/10.3390/s150304870
APA StyleSchweiger, B., Kim, J., Kim, Y. J., & Ulbricht, M. (2015). Electropolymerized Molecularly Imprinted Polypyrrole Film for Sensing of Clofibric Acid. Sensors, 15(3), 4870-4889. https://doi.org/10.3390/s150304870

