Next Article in Journal
A New Methodology for Vibration Error Compensation of Optical Encoders
Previous Article in Journal
Transformation of Ground Vibration Signal for Debris-Flow Monitoring and Detection in Alarm Systems
 
 
Font Type:
Arial Georgia Verdana
Font Size:
Aa Aa Aa
Line Spacing:
Column Width:
Background:
Article

Modelling of Amperometric Biosensor Used for Synergistic Substrates Determination

1
Faculty of Mathematics and Informatics, Vilnius University, Naugarduko 24, LT-03225 Vilnius, Lithuania
2
Institute of Biochemistry, Vilnius University, Mokslininku 12, LT-08662 Vilnius, Lithuania
*
Author to whom correspondence should be addressed.
Sensors 2012, 12(4), 4897-4917; https://doi.org/10.3390/s120404897
Submission received: 6 March 2012 / Revised: 2 April 2012 / Accepted: 4 April 2012 / Published: 16 April 2012
(This article belongs to the Section Biosensors)

Abstract

: In this paper the operation of an amperometric biosensor producing a chemically amplified signal is modelled numerically. The chemical amplification is achieved by using synergistic substrates. The model is based on non-stationary reaction-diffusion equations. The model involves three layers (compartments): a layer of enzyme solution entrapped on the electrode surface, a dialysis membrane covering the enzyme layer and an outer diffusion layer which is modelled by the Nernst approach. The equation system is solved numerically by using the finite difference technique. The biosensor response and sensitivity are investigated by altering the model parameters influencing the enzyme kinetics as well as the mass transport by diffusion. The biosensor action was analyzed with a special emphasis to the effect of the chemical amplification. The simulation results qualitatively explain and confirm the experimentally observed effect of the synergistic substrates conversion on the biosensor response.

1. Introduction

A biosensor is an electronic measuring device designed for measurement of the concentration of some specific substance (analyte) in a solution. The device specificity for a particular substance is achieved by some biological material, usually an enzyme [13]. An amperometric biosensor assesses the concentration of the analyte through the measurement of the current on a working electrode [4,5]. Biosensors are widely used in various applications that require fast quantitative analysis [610].

Oxidases are the kind of enzymes commonly used in biosensors. In the case of oxidases, molecules of an enzyme are reduced to their intermediate state and then oxidised by electron acceptors [5,11]. The reduction process as a rule is a specific reaction, while the oxidation of the reduced enzyme by electron acceptors is less specific. Many electron acceptors can be employed in this process [12].

The kinetic analysis of the reaction of a mixture of low and high reactive electron acceptors shows that the reduction of a low reactive electron acceptor may substantially increase if the rate of the cross reaction between these substances is high enough. This phenomenon is employed in biosensors for a high sensitivity determination of synergistic substrates [1315].

The understanding of the kinetic peculiarities of the biosensors is of crucial importance for their design and optimization. To improve the productivity as well as the efficiency of the biosensor design, a model of the biosensor should be built [16,17]. Starting from the seventies various mathematical models have been widely used as important tools to study and optimize analytical characteristics of actual biosensors [1822]. A comprehensive reviews on the modelling of the amperometric biosensors have been presented in [23,24]. Biosensors based on synergistic substrates were modelled at steady-state conditions a few years ago [25,26]. Very recently, a laccase-based biosensor utilizing simultaneous substrates conversion was numerically modelled at steady-state as well as transient conditions [27].

The goal of this investigation was to develop a computational model for an effective simulation of amperometric biosensors utilizing the synergistic substrates conversion as well as to investigate the influence of the physical and kinetic parameters on the biosensor response. The developed model is based on non-stationary reaction-diffusion equations [28,29]. The mathematical model comprises three compartments, a layer of enzyme solution entrapped on the electrode surface, a dialysis membrane covering the enzyme layer and an outer diffusion layer. By changing input parameters the output results were numerically analyzed at transition and steady-state conditions. The computational simulation was carried out using the finite difference technique [24,29,30]. The simulation results qualitatively explained and confirmed the experimentally observed effect of the synergistic substrates conversion on the biosensor response [13].

2. Mathematical Model

We consider the following kinetic scheme used for the determination of synergistic substrates [13]:

E o x + R k 1 E red + P
E red + S 1 k 2 E o x + P 1
E red + S 2 k 3 E o x + P 2
S 1 + P 2 k 4 P 1 + S 2
P 1 S 1 + n 1 e
P 2 S 2 + n 2 e
where Eox and Ered stand for oxidized and reduced enzyme forms, respectively, R is the enzyme reducer, S1 and S2 are the substrates, P, P1 and P2 are the products of the reactions, k1, k2, k3, k4 are the reaction rate constants, and n1, n2 are the numbers of electrons involved in a charge transfer at the electrode surface in reactions (1e) and (1f), respectively.

The reactions (1a) and (1b) may be considered as the reduction of a low reactive electron acceptor S1 by R and catalyzed by the enzyme. In the reaction (1a), the enzyme is reduced by the reducer R, and an intermediate form of enzyme (Ered) is formed. In the reaction (1b), the electron acceptor S1 is reduced by the Ered, the product P1 is formed and enzyme molecules regain their primary oxidized form Eox.

When the high reactive electron acceptor S2 is introduced, two more reactions, (1c) and (1d), start. The reaction (1c) represents the enzyme oxidation by the high reactive electron acceptor S2. The reaction (1d) is called a cross reaction. In the latter reaction, the substrate S1 oxidizes the product P2 and regenerates the substrate S2. This reaction also produces the product P1.

Reactions (1e) and (1f) are electrochemical reactions that take place on the biosensor electrode. Both reactions are assumed fast and irreversible due to the high electrode potential.

[Fe(CN)6]3− ion may be employed as the low reactive electron acceptor S1 [13,15]. In this case, [Fe(CN)6]4− ion would be the reaction product P1. Cation radicals of 1-(N,N-dimethylamino)-4-(4-morpholino)benzene, 5,10-dihydro-5,10-dimethylphenazine, phenoxazine-10-propionic acid or phenothiazine-10-propionic acid may be used as high reactive electron acceptors (S2). The reduced forms of those substances would be considered as the corresponding products (P2) [13].

During the physical experiment [13], the substrate S2 was introduced into the bulk solution at the moment when the steady-state response to the substrate S1 was established. The thickness of the diffusion layer was controlled by the rotating magnetic bar and it was estimated using the rotating disk electrode.

2.1. Biosensor Structure

The biosensor is considered as an electrode with a relatively thin layer of enzyme solution trapped on the surface of the electrode by applying a dialysis membrane [13]. The biosensor model involves four regions: the enzyme layer where the enzymatic and chemical reactions as well as the mass transport by diffusion take place, a dialysis membrane, a diffusion limiting region where only chemical reactions as well as the mass transport by diffusion take place, and a convective region where the analyte concentration is maintained constant, see Figure 1. Assuming a homogeneous distribution of the enzyme in the enzyme layer of the uniform thickness and symmetrical geometry of the dialysis membrane leads to the mathematical model of the biosensor action defined in a one-dimensional-in-space domain [23,24].

Let us define d1, d2 and d3 as the thicknesses of the enzyme, dialysis membrane and diffusion layers, respectively. We will also need values representing the distances between the electrode surface and the boundaries of the regions. Let a1, a2 and a3 be the distances between the electrode surface and one of those boundaries shown in Figure 1.

The diffusion layer (a2 < x < a3) may be treated as the Nernst diffusion layer [29]. According to the Nernst approach a layer of thickness d3 remains unchanged with time. It was assumed that away from it the solution is uniform in concentration.

2.2. Governing Equations

The governing equations for a chemical reaction network can be formulated by the law of mass action [11,21]. Coupling reactions in the enzyme layer with the one-dimensional-in-space diffusion, described by the Fick's second law, leads to the following equations of the reaction–diffusion type (0 < x < a1, t > 0):

e o x t = k 1 e o x r 1 + k 2 e red s 11 + k 3 e red s 21
e red t = k 1 e o x r 1 k 2 e red s 11 k 3 e red s 21
r 1 t = D R 1 2 r 1 x 2 k 2 e o x r 1
s 11 t = D S 1 1 s 2 11 x 2 k 2 e red s 11 k 4 s 11 p 21
s 21 t = D S 2 1 s 2 21 x 2 k 3 e red s 21 + k 4 s 11 p 21
p 11 t = D P 1 1 2 p 11 x 2 + k 2 e red s 11 + k 4 s 11 p 21
p 21 t = D P 2 1 2 p 21 x 2 + k 3 e red s 21 k 4 s 11 p 21
where x stands for space, t is time, eox(x, t) and ered(x, t) correspond to concentrations of oxidized (Eox) and reduced (Ered) enzyme, respectively; s11(x, t) and s21(x, t) (p11(x, t) and p21(x, t)) are the concentrations of substrates (products) in the enzyme layer; r1(x, t) is the reducer concentration in the enzyme layer, and DR1, DS11, DS21, DP11, DP21 are the diffusion coefficients of the corresponding substances defined by the subscript. In the definition of the concentrations and diffusion coefficients, here and later in this paper the last numeric subscript label denotes the region of the model, particularly, 1 stands for the enzyme layer. The molecules of both enzyme forms, Eox and Ered, are considered as immobilized, and therefore there are no diffusion terms in the corresponding equations.

The product P does not act as a reactant in any reaction, so its concentration is not used in any further calculations. Therefore, equation system (2) contains no equation for the product P.

No enzyme molecules appear in the dialysis membrane as well as in the diffusion layer. Only the reaction (1d) as well as the mass transport by diffusion of the reducer, substrates and products take place in these two regions. The governing equations for both these layers are represented as follows (ai−1 < x < ai, t > 0, i = 2, 3):

r i t = D R i 2 r i x 2
s 1 i t = D S 1 i 2 s 1 i x 2 k 4 s 1 i p 2 i
s 2 i t = D S 2 i 2 s 2 i x 2 + k 4 s 1 i p 2 i
p 1 i t = D P 1 i 2 p 1 i x 2 + k 4 s 1 i p 2 i
p 2 i t = D P 2 i 2 p 2 i x 2 k 4 s 1 i p 2 i
where i = 2 corresponds to the dialysis membrane, and i = 3 corresponds to the diffusion layer.

2.3. Initial Conditions

Let x = 0 represents the electrode surface, while x = a1, x = a2 and x = a3 represent the boundaries between the adjacent regions as described in Section 2.1 and shown in Figure 1. The biosensor operation starts when the reducer and the substrates appear in the bulk solution. This is used in the initial conditions (t = 0),

r 1 ( x , 0 ) = s i 1 ( x , 0 ) = p i 1 ( x , 0 ) = 0 , 0 x a 1 , i = 1 , 2
e red ( x , 0 ) = 0 , e o x ( x , 0 ) = e 0 , 0 < x < a 1
r 2 ( x , 0 ) = s i 2 ( x , 0 ) = p i 2 ( x , 0 ) = 0 , a 1 x a 2 , i = 1 , 2
p i 3 ( x , 0 ) = 0 , a 2 x a 3 , i = 1 , 2
r 3 ( x 3 , 0 ) = s i 3 ( x , 0 ) = 0 , a 2 x < a 3 , i = 1 , 2
r 3 ( a 3 , 0 ) = r 0 , s 13 ( a 3 , 0 ) = s 10
s 23 ( a 3 , 0 ) = { 0 , T s 2 > 0 s 20 T s 2 = 0
where e0 stands for the total concentration of the enzyme in the enzyme layer (e0 = eox(x, t) + ered(x, t), ∀x, t : x ε (0, a1), t > 0), r0 is the reducer concentration in the bulk solution, s10 and s20 stand for substrate concentrations in the bulk solution, TS2 is the moment of the substrate S2 insertion into the bulk solution.

2.4. Matching Conditions

On the boundary between two regions having different diffusivities, matching conditions have to be defined (t > 0, i = 1, 2, m = 1, 2),

D R m r m x | x = a m = D R , m + 1 r m + 1 x | x = a m , r m ( a m , t ) = r m + 1 ( a m , t )
D S i m s i m x | x = a m = D S i , m + 1 s i , m + 1 x | x = a m , s i m ( a m , t ) = s i , m + 1 ( a m , t )
D P i m p i m x | x = a m = D P i , m + 1 p i , m + 1 x | x = a m , p i m ( a m , t ) = p i , m + 1 ( a m , t )
where m = 1 corresponds to the boundary between the enzyme layer and the dialysis membrane, whereas m = 2 corresponds to the boundary between the dialysis membrane and the diffusion layer.

These conditions mean that fluxes of the reducer, substrates and products through one region are equal to the corresponding fluxes entering the surface of the neighboring region. Concentrations of the reducer, substrates and products in one region versus the neighboring region are assumed to be equal.

2.5. Boundary Conditions

In the bulk solution, concentrations of the reducer, substrates and products remain constant (t > 0),

r 3 ( a 3 , t ) = r 0
s 13 ( a 3 , t ) = s 10
s 23 ( a 3 , t ) = { 0 , t < T S 2 s 20 , t T S 2
p i 3 ( a 3 , t ) = 0 , i = 1 , 2

The reaction products P1 and P2 take part in the electrochemical reactions (1e) and (1f), respectively, at the electrode surface (x = 0). Rates of those reactions are so high that the concentrations of P1 and P2 at the electrode surface are permanently reduced to zero (t > 0) [13],

p 11 ( 0 , t ) = 0
p 21 ( 0 , t ) = 0

Since the reaction (1e) produces as much S1 as it consumes P1, the concentration flux of P1 on the electrode surface is equal to the concentration flux of S1 but in opposite direction. The same is also assumed for the reaction (1f) and substances S2 and P2. These relations are expressed by the following boundary conditions (t > 0):

D P 1 1 p 11 x | x = 0 = D S 1 1 s 11 x | x = 0
D P 2 1 p 21 x | x = 0 = D S 2 1 s 21 x | x = 0

The reducer R is electrode-inactive substance, thus its concentration flux on the electrode surface is equal to zero (t > 0),

D R 1 r 1 x | x = 0 = 0

2.6. Biosensor Response

The measured current is usually assumed as the response of an amperometric biosensor in physical experiments. When modelling the biosensor action, due to the direct proportionality of the current to the area of the electrode surface, the current is often normalized with that area [23,31]. The biosensor current density j(t) at time t was expressed explicitly from Faraday's and Fick's laws,

j 1 ( t ) = n 1 F D P 1 1 p 11 x | x = 0
j 2 ( t ) = n 2 F D P 2 1 p 21 x | x = 0
j ( t ) = j 1 ( t ) + j 2 ( t )
where j1(t) and j2(t) are the faradaic current densities generated by the electrochemical reactions (1e) and (1f), respectively, F is the Faraday constant, F = 96, 486 C/mol.

We assume that the system approaches a steady state as t → ∞,

j s t = lim t j ( t )
j 1 s t = lim t j 1 ( t )
j 2 s t = lim t j 2 ( t )
where jst, j1st and j2st are the steady-state biosensor current densities.

Since the current is generated due to two electrochemical reactions (1e) and (1f), it is important to investigate the influence of each of them to the overall biosensor response. The contribution of the electrochemical reaction (1e) into the overall biosensor response was expressed as the ratio of the density of the steady-state current j1st to the density jst of the overall steady-state current,

J 1 = j 1 s t j s t

The sensitivity is also one of the most important characteristics of biosensors [1,2]. The biosensor sensitivity is usually expressed as the gradient of the biosensor current with respect to the concentration of the substrate in the bulk. Since the biosensor current as well as the substrate concentration varies even in orders of magnitude, a dimensionless expression of the sensitivity is preferable [31,32].

The biosensor based on synergistic reactions is designed to measure concentration of the substrate S2 [13]. The dimensionless biosensor sensitivity B to the concentration of the substrate S2 was defined as follows:

B ( s 20 ) = d j s t ( s 20 ) d s 20 × s 20 j s t ( s 20 )
where jst(s20) is the density of the steady-state biosensor current calculated at the concentration s20 of the substrate S2 in the bulk. B(s20) denotes the biosensor sensitivity at that concentration.

The chemical signal amplification caused by a synergistic effect is another important characteristic of this type of biosensors [13]. A measure Amp of the synergistic effect was expressed as the ratio of the biosensor response to a substrate S2-containing analyte to the response to the corresponding S2-free analyte,

Amp ( s 20 ) = j s t ( s 20 ) j s t ( 0 )
where Amp(s20) is the dimensionless ratio of the signal amplification obtained by the insertion of the substrate S2 of the concentration s20 into the buffer solution [13,22].

3. Numerical Simulation of Biosensor Action

3.1. Simulating the Biosensor Operation

Analytical solutions are not usually possible when solving non-linear partial differential equations [19,23,29]. Therefore, the biosensor action was simulated numerically. The simulation was carried out using the finite difference technique [29,30]. An explicit finite difference scheme was built on a uniform discrete grid with 200 points in space direction for each modelled layer corresponding to a certain time moment. The simulator has been programmed by authors in C programming language [33].

In the numerical simulation, the biosensor response time was assumed as the time when the change of the biosensor current remains very small during a relatively long term. A special dimensionless decay rate ε was used,

t r min j ( t ) > 0 { t : t j ( t ) | d j ( t ) d t | < ɛ } , j ( t r ) j s t
where tr is the biosensor response time. The decay rate value ε = 10−3 was used in calculations.

The following values of the model parameters were constant in all numerical simulations, unless stated otherwise [13]:

k 1 = 1.25 × 10 4 M 1 s 1 , k 2 = 1.2 × 10 2 M 1 s 1 k 3 = 1.4 × 10 6 M 1 s 1 , k 4 = 1.4 × 10 6 M 1 s 1 e 0 = 0.04 mM , s 10 = 8 mM , r 0 = 40 mM D R 1 = D S i 1 = D P i 1 = 3.15 × 10 6 cm 2 / s , i = 1 , 2 D R 2 = D S i 2 = D P i 2 = 4.2 × 10 7 cm 2 / s , i = 1 , 2 D R 3 = D S i 3 = D P i 3 = 6.3 × 10 6 cm 2 / s , i = 1 , 2 d 1 = 23.3 μ m , d 2 = 18.6 μ m n 1 = n 2 = 1

3.2. Experimental Validation

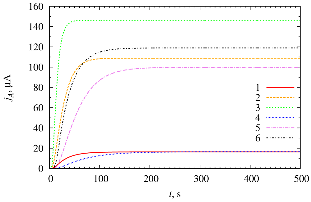
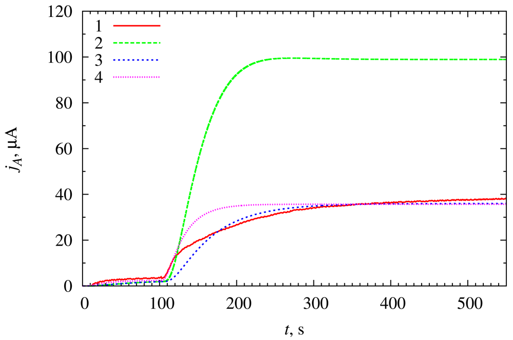
The numerical solution of the model (2)–(10) was compared with the experimental data of the research conducted by one of the authors [13]. The results are depicted in Figure 2. The experimental data were shifted by −30 s in time axis and by −1.9 μA in current axis [13]. The correction in time axis was applied in order to coincide the addition of reducer R (glucose in this particular case) into the bulk solution at the moment t = 0. The correction in current axis was applied in order to eliminate the background current influence to the overall biosensor response.

During physical experiment, the substrate S2 was added into the bulk solution at the moment t = 130 s which corresponds to t = 100 s in the simulations. Thus TS2 = 100 s value was used in the numerical simulations. Having simulated density j of the biosensor current, the biosensor current jA was calculated by multiplying the density by the area A of the electrode surface,

j A = j A

In the physical experiment, the electrode with the surface area of A = 0.3 cm2 was used [13].

The curve 2 in Figure 2 corresponds to the simulation carried out at the parameters equal to the parameters of the physical experiment [13]. The relative difference between the numerical solution and the experiment data at the moment TS2 (before insertion of S2) is about 14%. This indicates that mathematical model quite accurately reflects the physical experiment. However, after the insertion of S2, the accuracy deteriorates. The simulated steady-state current is about 2.5 times higher than the experimental one (Figure 2). This indicates that experiment is really more complex than as defined by the mathematical model. Presumably, the reaction of the reduced enzyme with oxygen, which was unforeseen in the mathematical modelling, is a main factor determining this difference [13]. The difference may be also caused by the limited stability of oxidized heterocyclic compounds and some external diffusion limitation of substrates [13].

The curves 3 and 4 of Figure 2 demonstrate that simulation results may be fitted with the experimental ones by varying the value of the reaction rate constant k3 and the diffusion layer thickness d3. However the measured values of the parameters will be used in this paper in further numerical simulations.

Despite this inadequacy with the experiment, the model (2)–(10) seems to be suitable for investigating the kinetic peculiarities and optimizing the configuration of biosensors utilizing the synergistic effect of substrates.

3.3. Simulating the Synergistic Effect

The understanding the nature of the synergistic effect is of crucial importance for preparation of highly sensitive biosensors [13,15,26]. For a kinetic analysis of the biosensor operation, let us introduce &upsilon;̄1, &upsilon;̄2, &upsilon;̄3, &upsilon;̄4 as the average rates of the reactions (1a), (1b), (1c), (1d) taking place in the enzyme layer,

υ ¯ 1 = k 1 e ¯ o x r ¯
υ ¯ 2 = k 2 e ¯ red s ¯ 1
υ ¯ 3 = k 3 e ¯ red s ¯ 2
υ ¯ 4 = k 4 s ¯ 1 p ¯ 2
where r̄, s̄1, s̄2, 1, 2, ox and red stand for the average concentrations of R, S1, S2, P1, P2, Eox and Ered in the enzyme layer.

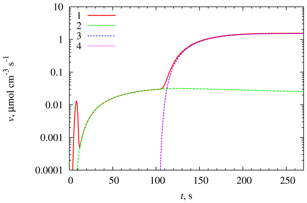
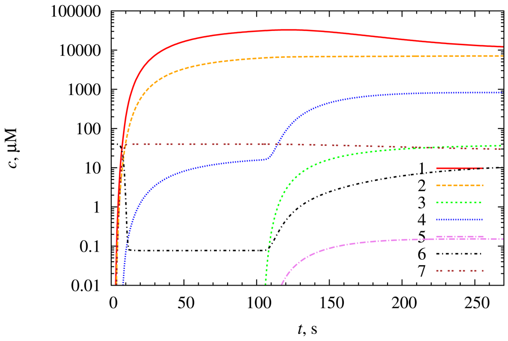
Figures 3 and 4 show how the synergistic effect occurs. The biosensor parameters were kept the same as in Figure 2.

When S2 is introduced into the bulk solution, a fast reaction (1c) starts, and a large amount of Eox and P2 molecules are produced (see Figure 3). In the meantime the increased concentration of Eox initiates an increase in the rate of the reaction (1a), molecules of P2 start to react with S1 in reaction (1d) (see Figure 4). A decrease of the reducer R concentration is the second indication of the increase in the reaction (1a) rate as the reaction consumes more reactant molecules (see Figure 3). The reactions (1a) and (1c) are very strongly interrelated because Eox is the product of reaction (1c), and at the same time it is the reactant of the reaction (1a) and vice versa with Ered molecule. Similar situation appears with the reactions (1c) and (1d) (molecules of P2 and S2).

The rate of the reaction (1c) is controlled by the concentration of S2. Reactions (1a) and (1d) are accelerated by the reaction (1c) and their rates tend to reach the rate of the reaction (1c). Hence the rates of reactions (1a), (1c) and (1d) are approximately equal during almost all the time of biosensor operation as seen in Figure 4. The rate of the reaction (1b) remains almost unaffected.

The reactions (1b) and (1d) produce the product P1 which is responsible for the biosensor current. Since the rate of the reaction (1b) remains almost unchanged and the rate of the reaction (1d) is greater than the rate of reaction (1b) by two orders of magnitude, the biosensor response is also increased by two orders of magnitude. In other words, the signal is amplified chemically. This is the desirable outcome of synergistic effect in this type of biosensors [13].

If the synergistic effect would not occur during the biosensor operation, that would mean that biosensor signal is not chemically amplified. A biosensor with no chemical amplification could be too weak for reliable measurement. That could mean the narrower range of biosensor application because biosensor would only work at relatively high concentrations of substrate. So, it is important to choose the correct biosensor parameters that support the occurrence of the synergistic effect.

The law of mass conservation was applied for an additional validation of the numerical solution of the initial boundary value problem Equations (2)(9). Since no mass transport of the enzyme takes place in the enzyme layer, the equality eox(x, t) + ered(x, t) = e0 holds for ∀x ε [0, a1] and ∀t ≥ 0. At the steady-state conditions when ∂sim/∂t= ∂pim/∂t = 0, the equality sim(x, t) + pim(x, t) = s10 holds for ∀x ε [am−1, am] and t → ∞, i = 1, 2, m = 1,2,3. A fulfillment of these conditions can be observed in Figure 3 (please note that concentrations are provided in a logarithmic scale).

3.4. Dynamics of Biosensor Current

Figure 5 shows the dynamics of the biosensor current jA simulated at two thicknesses (d3) of the diffusion layer and three concentrations (s20) of the substrate S2. For simplicity, here and below, the substrate S2 is introduced in the bulk solution in the beginning of the experiments (TS2 = 0 s).

At low substrate concentration (s20 = 4 μM) the steady-state current of the biosensor is not influenced by the thickness d3 of the diffusion layer. However at this concentration, a change in the thickness of the diffusion layer slightly changes the curvature of “current vs. time” curve and the biosensor with thinner diffusion layer reaches the steady state earlier. This is also correct in cases of higher substrate concentrations (s20 = 40 μM, s20 = 400 μM).

From the curves depicted in Figure 5 one can also observe another very important relationship: the steady-state current directly depends on the concentration s20 of the substrate S2 in the bulk solution. At higher substrate concentrations (s20 = 40 μM, s20 = 400 μM) it is also observable that steady-state current depends inversely on the thickness d3 of the diffusion layer. Intensity of the solution stirring plays important role when working with solutions of high concentration of the substrate.

4. Results and Discussion

4.1. Biosensor Response vs. Substrates Concentrations

The dependence of the steady-state biosensor current on the concentration s20 of the substrate S2 was investigated at different diffusion layer thicknesses d3 as well as at different values of the reaction rate constant k3. The results of the numerical simulations are depicted in Figure 6.

The biosensor may reliably measure the concentration of substrate S2 at the range of concentrations where the biosensor response is dependent on the concentration s20 but not dependent on the diffusion layer thickness d3. As one can observe from Figure 6 this range depends on the reaction rate constant k3. The lower boundary of this range varies from s20 ≈ 0.02 μM when k3 is relatively high (curves 3, 6) to s20 ≈ 0.1 μM when k3 is relatively low (curves 1, 4). The upper boundary of this range varies from s20 ≈ 16 μM when k3 is relatively high (curves 3, 6) to s20 ≈ 40 μM when k3 is relatively low (curves 1, 4). At the concentrations s20 ≳ 250 μM the biosensor response is not influenced by the concentration of the substrate S2.

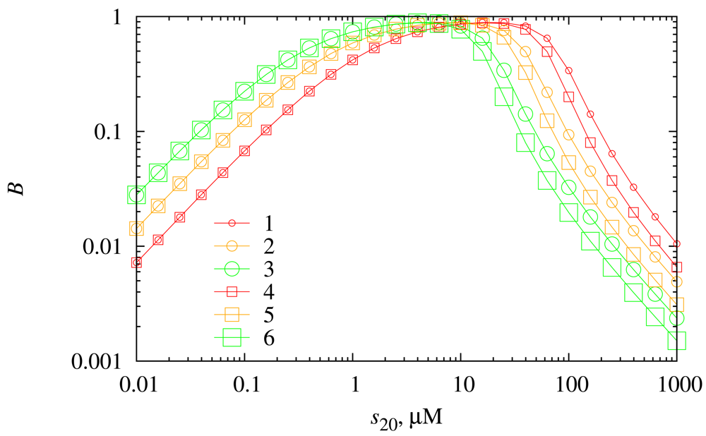
To investigate the dependence of the biosensor sensitivity on the substrate concentration, the biosensor response was simulated at the same values of the diffusion layer thickness d3 and the reaction rate constant k3 as in Figure 6. The calculation results are depicted in Figure 7.

As one can observe from Figure 7, the biosensor shows the highest values of the sensitivity when the concentration of the substrate S2 is moderate (1 μM ≤ s20 ≤ 10 μM). At low substrate S2 concentrations (0.01 μM ≤ s20 < 1 μM) as well as at high concentrations of S2 (10 μM < s20 ≤ 1,000 μM) biosensor exhibits poor sensitivity.

At low substrate concentrations, a higher k3 yields a higher biosensor sensitivity, whereas the thickness d3 of the diffusion layer does not influence the biosensor response at this concentration range. At high substrate concentrations, k3 has the opposite effect on the biosensor sensitivity compared with a low substrate concentration range. A higher k3 yields a lower biosensor sensitivity. At this concentration range, the thickness d3 of the diffusion layer does influence the biosensor sensitivity. A thicker diffusion layer diminishes the value of biosensor sensitivity.

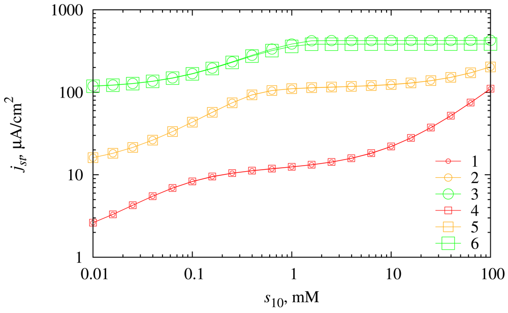
Although this type biosensors are designed to measure the concentration s20 of the substrate S2, it is also important to investigate the biosensor response dependency on the concentration s10 of the substrate S1 in order to optimize the biosensors. The dependence of the steady-state biosensor current jst on the concentration s10 was investigated at different values of diffusion layer thickness d3 as well as at different concentrations (s20) of the substrate S2. The simulation results are depicted in Figure 8.

As we can observe from the curves in Figure 8, the biosensor response directly depends on the concentration s10. In cases of low and moderate substrate concentrations of S2, this dependency holds through the whole range of investigated s10 concentrations. At high concentrations of S2 (s20 = 100 μM), this dependency is valid only for low concentrations of S1 (s10 < 1mM). At high concentrations of S1 (s10 > 1 mM) the biosensor response becomes practically insensitive to the change of s10.

The thickness d3 of the diffusion layer has no noticeable influence on the biosensor response at the majority of the biosensor parameters investigated. Only at high concentrations of S1 and high concentrations of S2 the effect of the diffusion layer thickness becomes noticeable.

4.2. The Composition of Biosensor Response

The biosensor response is determined by two electrochemical reactions (1e) and (1f). It is important to understand the role of each process at certain values of the biosensor parameters.

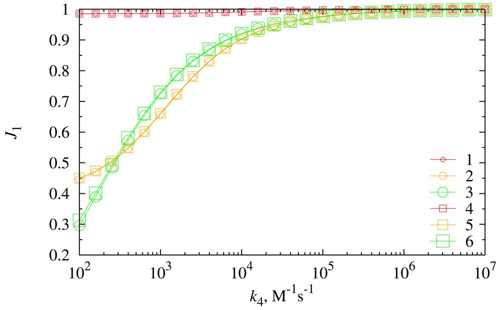
The dependence of the biosensor response composition on the reaction rate constant k4 was investigated at different diffusion layer thicknesses (d3) as well as at different values of the substrate concentration s20. Results of the numerical simulation are depicted in Figure 9.

As one can see in Figure 9, the ratio J1 of the density j1st of the steady-state current generated by the electrochemical reactions (1e) to the density jst of the overall steady-state current directly depends on the reaction rate constant k4. This can be explained by the reaction (1d). The faster the reaction (1d) the more P2 consumes, and molecules of P2 do not reach electrode surface.

At low s20 concentrations, a value of k4 only slightly influences the composition of the biosensor response (curves 1 and 4). The biosensor response is almost entirely generated by the faradaic process (1e) at such concentrations of S2. As one can see from the reaction scheme (1), a low concentration of S2 directly cause a low concentration of P2. However at a high concentration s20 of S2, a value of the reaction rate constant k4 makes a major impact on the composition of the biosensor response. When k4 is small enough, the ratio J1 is less than 0.5, i.e., the main part of the biosensor response is generated by the faradaic process (1f).

Figure 9 also shows that the thickness d3 of the diffusion layer only slightly influences the composition of the biosensor response.

4.3. The Role of Substrates Synergistic Conversion in the Biosensor Response

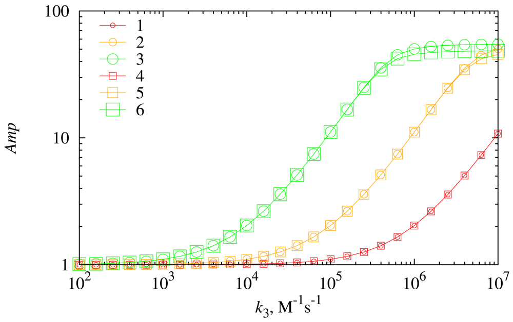
The synergistic effect was analyzed with respect to the chemical amplification Amp. The dependence of the chemical amplification on the reaction rate constant k3 was investigated at different diffusion layer thicknesses (d3) as well as at different values of the substrate concentration s20. Results of the numerical simulation are depicted in Figure 10.

The direct influence of the reaction rate constant k3 on the Amp is the main dependency that can be observed in Figure 10. At a higher rate constant (k3) of the biochemical reaction (1c) more molecules of P2 are produced. Because of this, the rate of the reaction (1d) increases, and eventually the amount of P1 also increases. Product P1 is the main generator of the current as was shown in the Section 4.2.

As one can also see in Figure 10, a higher concentration s20 of S2 corresponds to a higher chemical amplification Amp. At low values of k3 (k3 < 103 M−1 s−1) this effect is rather weak, whereas at moderate values of k3 (from 104 to 106 M−1 s−1) this effect is strongly expressed. However, at high values of the reaction rate constant k3 (k3 > 107 M−1 s−1) this effect noticeably diminishes again. A positive influence of s20 on the amplification can be explained by the increase of the rate of reaction (1c) that is caused by the increase of the concentration of one of the reactants. At low values of k3 this is not so obvious because the increase in the reactant concentration does not counterweigh low values of k3. At high values of k3 the system arrives at the point where the chemical amplification Amp is not dependent on the reaction rate constant k3. The influence of the diffusion layer thickness d3 appears noticeable only at high values of k3.

Similar limitations of the rate of the synergistic process have been also observed experimentally using glucose oxidase biosensors utilizing the synergistic substrates conversion [13].

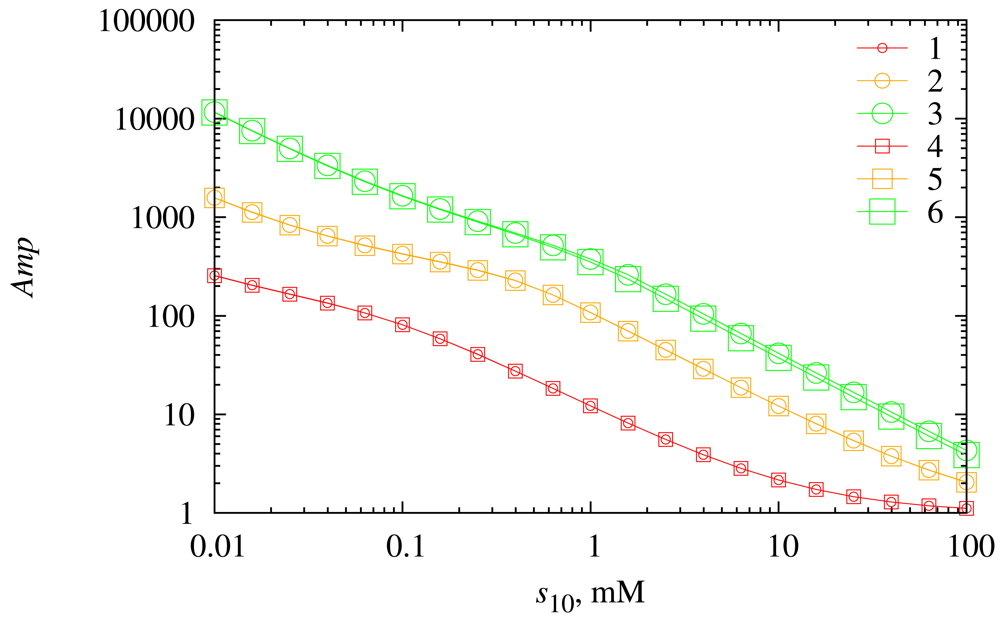
The amplification of the biosensor current was also investigated with respect to the substrate S1 concentration. Numerical experiments were conducted at different diffusion layer thicknesses (d3) as well as at different concentrations (s20). The results of the numerical simulation are depicted in Figure 11.

As one can see in Figure 11 the biosensor exhibits the highest values of the chemical signal amplification Amp at low concentrations of substrate S1 and the lowest values of Amp at high values of s10. So, the influence of s10 on the biosensor response that was observed in Figure 8 is diminished by the chemical amplification, because the magnitude of the amplification buffers the impact of the substrate S1 concentration change. When the concentration s10 is low, the response of the biosensor is highly amplified by the synergistic effect and vice versa in the case of high s10.

The thickness of the diffusion layer only slightly influences the chemical amplification throughout the range of the concentration s10 that was used in this investigation. A slight influence of the diffusion layer thickness d3 is observed only in the case of high concentrations of both substrates, S1 and S2.

5. Conclusions

The developed mathematical model (2)–(10) is suitable for the modelling of an amperometric biosensor with synergistic substrates conversion. The model can be used as a tool for the biosensor optimization prior to the development stage of an actual biosensor.

The investigation of the biosensor response showed that the range of concentrations, where the biosensor reliably operates, depends on the reaction rate constant k3. In cases when k3 is lower the biosensor may be used to measure higher concentrations s20. In cases when k3 is higher the biosensor may be used to measure lower concentrations s20 (Figure 6).

The biosensor has the highest sensitivity at moderate concentrations of the substrate S2 (Figure 7). At low and high concentrations of S2, the biosensor sensitivity is quite low.

The biosensor response is directly dependent on the concentration s10 of the substrate S1. Low and moderate concentrations of S1 are preferable, because at these concentrations the biosensor response is practically independent from the diffusion layer thickness (Figure 8).

The biosensor response almost entirely depends on the electrochemical reaction (1e) (Figure 9). The electrochemical reaction (1f) may generate a significant current only in cases when the reaction rate constant of cross reaction (1d) is low and the concentration s20 of S2 is moderate or high (Figure 9).

The biosensor exhibits the highest values of the chemical amplification in cases when the reaction rate constant k3 as well as the concentration s20 are the high (Figure 10). The diffusion has a minor effect on the rate Amp of the chemical amplification. A thicker diffusion layer weakens the chemical amplification only at high values of the reaction rate constant k3 and high concentrations of S2. The amplification ratio Amp inversely depends on the concentration s10 of the substrate S1 (Figure 11). This effect is somewhat opposite to the s10 effect on the biosensor response.

To prove conclusions made the physical experiments are running using glucose dehydrogenase as well as laccase-based biosensors with different configurations. A more precise computational model implying the reaction of the reduced enzyme with oxygen in addition to the reactions (1e) and (1f) is now under development for a more accurate simulation of the biosensor action.

Acknowledgments

This research was funded by the European Social Fund under the Global Grant Measure, Project No. VP1-3.1-ŠMM-07-K-01-073/MTDS-110000-583.

References

  1. Turner, A.P.F.; Karube, I.; Wilson, G.S. Biosensors: Fundamentals and Applications; Oxford University Press: Oxford, UK, 1987; p. 770. [Google Scholar]
  2. Scheller, F.W.; Schubert, F. Biosensors; Elsevier Science: Amsterdam, The Netherlands, 1992; p. 360. [Google Scholar]
  3. Malhotra, B.D.; Turner, A. Advances in Biosensors: Perspectives in Biosensors; Elsevier Science: Amsterdam, The Netherlands, 2003; Volume 5. [Google Scholar]
  4. Chaubey, A.; Malhotra, B. Mediated biosensors. Biosens. Bioelectron 2002, 17, 441–456. [Google Scholar]
  5. Ronkainen, N.J.; Halsall, H.B.; Heineman, W.R. Electrochemical biosensors. Chem. Soc. Rev. 2010, 39, 1747–1763. [Google Scholar]
  6. Rogers, K.R. Biosensors for environmental applications. Biosens. Bioelectron 1995, 10, 533–541. [Google Scholar]
  7. Scheller, F.W.; Schubert, F.; Fedrowitz, J. Practical Applications; Birkhäuser: Basel, Switzerland, 1997; Volume 2, p. 175. [Google Scholar]
  8. Liang, J.F.; Li, Y.T.; Yang, V.C. Biomedical application of immobilized enzymes. J. Pharm. Sci. 2000, 89, 979–990. [Google Scholar]
  9. Yu, D.; Blankert, B.; Vire, J.C.; Kauffmann, J.M. Biosensors in drug discovery and drug analysis. Anal. Lett. 2005, 38, 1687–1701. [Google Scholar]
  10. Yoo, E.H.; Lee, S.Y. Glucose biosensors: An overview of use in clinical practice. Sensors 2010, 10, 4558–4576. [Google Scholar]
  11. Gutfreund, H. Kinetics for the Life Sciences; Cambridge University Press: Cambridge, UK, 1995; p. 346. [Google Scholar]
  12. Kulys, J.; Tetianec, L.; Bratkovskaja, I. Pyrroloquinoline quinone-dependent carbohydrate dehydrogenase: Activity enhancement and the role of artificial electron acceptors. Biotechnol. J 2010, 5, 822–828. [Google Scholar]
  13. Kulys, J.; Tetianec, L. Synergistic substrates determination with biosensors. Biosens. Bioelectron 2005, 21, 152–158. [Google Scholar]
  14. Bratkovskaja, I.; Ivanec, R.; Kulys, J. Mediator-assisted laccase-catalyzed oxidation of 4-hydroxybiphenyl. Biochemistry (Moscow) 2006, 71, 550–554. [Google Scholar]
  15. Kulys, J.; Vidziunaite, R. Laccase based synergistic electrocatalytical system. Electroanalysis 2009, 21, 2228–2233. [Google Scholar]
  16. Corcuera, J.I.R.D.; Cavalieri, R.P.; Powers, J.R.; Tang, J. Amperometric Enzyme Biosensor Optimization Using Mathematical Modeling. Proceedings of the 2004 ASAE/Csae Annual International Meeting, Ottawa, ON, Canada, 1–4 August 2004.
  17. Ferreira, L.S.; Souza, M.B.D.; Trierweiler, J.O.; Broxtermann, O.; Folly, R.O.M.; Hitzmann, B. Aspects concerning the use of biosensors for process control: Experimental and simulation investigations. Comput. Chem. Eng. 2003, 27, 1165–1173. [Google Scholar]
  18. Mell, L.D.; Maloy, J.T. A model for the amperometric enzyme electrode obtained through digital simulation and applied to the immobilized glucose oxidase system. Anal. Chem. 1975, 47, 299–307. [Google Scholar]
  19. Kernevez, J.P. Studies in Mathematics and Its Applications; Elsevier Science: Amsterdam, The Netherlands, 1980; Volume 10. [Google Scholar]
  20. Kulys, J. The development of new analytical systems based on biocatalysts. Anal. Lett. 1981, 14, 377–397. [Google Scholar]
  21. Bartlett, P.N.; Whitaker, R.G. Electrochemical imobilisation of enzymes: Part 1. Theory. J. Electroanal. Chem. 1987, 224, 27–35. [Google Scholar]
  22. Baronas, R.; Kulys, J.; Ivanauskas, F. Mathematical model of the biosensors acting in a trigger mode. Sensors 2004, 4, 20–36. [Google Scholar]
  23. Schulmeister, T. Mathematical modelling of the dynamic behaviour of amperometric enzyme electrodes. Sel. Electrode Rev. 1990, 12, 203–260. [Google Scholar]
  24. Baronas, R.; Ivanauskas, F.; Kulys, J. Mathematical Modeling of Biosensors; Springer: Dordrecht, The Netherlands, 2010; Volume 9, p. 353. [Google Scholar]
  25. Kulys, J. Kinetics of biocatalytical synergistic reactions. Nonlinear Anal. Model. Control 2005, 10, 223–233. [Google Scholar]
  26. Kulys, J.; Dapkūnas, Z. The effectiveness of synergistic enzymatic reaction with limited mediator stability. Nonlinear Anal. Model. Control 2007, 12, 495–501. [Google Scholar]
  27. Gaidamauskaite, E.; Baronas, R.; Kulys, J. Modelling synergistic action of laccase-based biosensor utilizing simultaneous substrates conversion. J. Math. Chem. 2011, 49, 1573–1586. [Google Scholar]
  28. Aris, R. The Theory of the Steady State; Clarendon Press: Oxford, UK, 1975; Volume 1, p. 444. [Google Scholar]
  29. Britz, D. Digital Simulation in Electrochemistry, 3rd ed.; Springer: Berlin, Heidelberg, Germany, 2005; p. 338. [Google Scholar]
  30. Samarskii, A.A. The Theory of Difference Schemes; Marcel Dekker: New York, NY, USA, 2001; p. 761. [Google Scholar]
  31. Baronas, R.; Kulys, J. Modelling amperometric biosensors based on chemically modified electrodes. Sensors 2008, 8, 4800–4820. [Google Scholar]
  32. Šimelevićius, D.; Baronas, R. Computational modelling of amperometric biosensors in the case of substrate and product inhibition. J. Math. Chem. 2010, 47, 430–445. [Google Scholar]
  33. Press, W.H.; Teukolsky, S.A.; Vetterling, W.T.; Flannery, B.P. Numerical Recipes in C: The Art of Scientific Computing, 2nd ed.; Cambridge University Press: Cambridge, UK, 1992; p. 994. [Google Scholar]
Figure 1. Principal structure of a biosensor.
Figure 1. Principal structure of a biosensor.
Sensors 12 04897f1 1024
Figure 2. Model validation with experimental data; (1) experimental data, (2)–(4) simulation results. Simulation was carried out at two reaction rate constants (k3) of the reaction (1c) (1.4 × 106 M−1 s−1 (2) and 0.35 × 106 M−1 s−1 (3, 4)) and at two thicknesses (d3) of the diffusion layer (223 μm (2, 3) and 116.5 μm (4)); s20 = 39 μM.
Figure 2. Model validation with experimental data; (1) experimental data, (2)–(4) simulation results. Simulation was carried out at two reaction rate constants (k3) of the reaction (1c) (1.4 × 106 M−1 s−1 (2) and 0.35 × 106 M−1 s−1 (3, 4)) and at two thicknesses (d3) of the diffusion layer (223 μm (2, 3) and 116.5 μm (4)); s20 = 39 μM.
Sensors 12 04897f2 1024
Figure 3. Average concentrations (1), 1 (2), s̄2 (3), 1 (4), 2 (5), ox (6) and red (7).
Figure 3. Average concentrations (1), 1 (2), s̄2 (3), 1 (4), 2 (5), ox (6) and red (7).
Sensors 12 04897f3 1024
Figure 4. Average rates &upsilon;̄1 (1), &upsilon;̄2 (2), &upsilon;̄3 (3), &upsilon;̄4 (4) of the reactions (1a)–(1d) taking place in the enzyme layer (curves 3 and 4 coincide).
Figure 4. Average rates &upsilon;̄1 (1), &upsilon;̄2 (2), &upsilon;̄3 (3), &upsilon;̄4 (4) of the reactions (1a)–(1d) taking place in the enzyme layer (curves 3 and 4 coincide).
Sensors 12 04897f4 1024
Figure 5. The evolution of the biosensor current jA at different thicknesses (d3) of the diffusion layer (116.5 μm (1, 2, 3) and 233 μm (4, 5, 6)) and concentrations (s20) of the substrate S2 (4 μM (1, 4), 40 μM (2, 5) and 400 μM (3, 6).
Figure 5. The evolution of the biosensor current jA at different thicknesses (d3) of the diffusion layer (116.5 μm (1, 2, 3) and 233 μm (4, 5, 6)) and concentrations (s20) of the substrate S2 (4 μM (1, 4), 40 μM (2, 5) and 400 μM (3, 6).
Sensors 12 04897f5 1024
Figure 6. The dependence of the steady-state current density jst on the substrate concentration s20 at two thicknesses (d3) of the diffusion layer (116.5 μm (1, 2, 3) and 233 μm (4, 5, 6)) and three reaction rate constants (k3) of the reaction (1c) (7 × 105 M−1 s−1 (1, 4), 1.4 × 106 M−1 s−1 (2, 5) and 2.8 × 106 M−1 s−1 (3, 6)).
Figure 6. The dependence of the steady-state current density jst on the substrate concentration s20 at two thicknesses (d3) of the diffusion layer (116.5 μm (1, 2, 3) and 233 μm (4, 5, 6)) and three reaction rate constants (k3) of the reaction (1c) (7 × 105 M−1 s−1 (1, 4), 1.4 × 106 M−1 s−1 (2, 5) and 2.8 × 106 M−1 s−1 (3, 6)).
Sensors 12 04897f6 1024
Figure 7. The dependence of the biosensor sensitivity B on the substrate concentration s20. Values of all parameters are the same as in Figure 6.
Figure 7. The dependence of the biosensor sensitivity B on the substrate concentration s20. Values of all parameters are the same as in Figure 6.
Sensors 12 04897f7 1024
Figure 8. The dependence of the steady-state current density jst on the substrate concentration s10 at two thicknesses (d3) of the diffusion layer (116.5 μm (1, 2, 3) and 233 μm (4, 5, 6)) and three concentrations (s20) of the substrate S2 (1 μM (1, 4), 10 μM (2, 5) and 100 μM (3, 6)).
Figure 8. The dependence of the steady-state current density jst on the substrate concentration s10 at two thicknesses (d3) of the diffusion layer (116.5 μm (1, 2, 3) and 233 μm (4, 5, 6)) and three concentrations (s20) of the substrate S2 (1 μM (1, 4), 10 μM (2, 5) and 100 μM (3, 6)).
Sensors 12 04897f8 1024
Figure 9. The dependence of the ratio J1on the reaction rate k4 at two thicknesses (d3) of the diffusion layer (116.5 μm (1, 2, 3) and 233 μm (4, 5, 6)) and three concentrations (s20) of the substrate S2 (0.1 μM (1, 4), 10 μM (2, 5) and 1, 000 μM (3, 6)).
Figure 9. The dependence of the ratio J1on the reaction rate k4 at two thicknesses (d3) of the diffusion layer (116.5 μm (1, 2, 3) and 233 μm (4, 5, 6)) and three concentrations (s20) of the substrate S2 (0.1 μM (1, 4), 10 μM (2, 5) and 1, 000 μM (3, 6)).
Sensors 12 04897f9 1024
Figure 10. The dependence of the chemical amplification Amp on the reaction rate constant k3 at two thicknesses (d3) of the diffusion layer (116.5 μm (1, 2, 3) and 233 μm (4, 5, 6)) and three concentrations (s20) of S2 (1 μM (1, 4), 10 μM (2, 5) and 100 μM (3, 6)).
Figure 10. The dependence of the chemical amplification Amp on the reaction rate constant k3 at two thicknesses (d3) of the diffusion layer (116.5 μm (1, 2, 3) and 233 μm (4, 5, 6)) and three concentrations (s20) of S2 (1 μM (1, 4), 10 μM (2, 5) and 100 μM (3, 6)).
Sensors 12 04897f10 1024
Figure 11. The dependence of the chemical amplification Amp on the substrate concentration s10 at two thicknesses (d3) of the diffusion layer (116.5 μm (1, 2, 3) and 233 μm (4, 5, 6)) and three concentrations (s20) of the substrate S2 (1 μM (1, 4), 10 μM (2, 5) and 100 μM (3, 6)).
Figure 11. The dependence of the chemical amplification Amp on the substrate concentration s10 at two thicknesses (d3) of the diffusion layer (116.5 μm (1, 2, 3) and 233 μm (4, 5, 6)) and three concentrations (s20) of the substrate S2 (1 μM (1, 4), 10 μM (2, 5) and 100 μM (3, 6)).
Sensors 12 04897f11 1024

Share and Cite

MDPI and ACS Style

Simelevicius, D.; Baronas, R.; Kulys, J. Modelling of Amperometric Biosensor Used for Synergistic Substrates Determination. Sensors 2012, 12, 4897-4917. https://doi.org/10.3390/s120404897

AMA Style

Simelevicius D, Baronas R, Kulys J. Modelling of Amperometric Biosensor Used for Synergistic Substrates Determination. Sensors. 2012; 12(4):4897-4917. https://doi.org/10.3390/s120404897

Chicago/Turabian Style

Simelevicius, Dainius, Romas Baronas, and Juozas Kulys. 2012. "Modelling of Amperometric Biosensor Used for Synergistic Substrates Determination" Sensors 12, no. 4: 4897-4917. https://doi.org/10.3390/s120404897

APA Style

Simelevicius, D., Baronas, R., & Kulys, J. (2012). Modelling of Amperometric Biosensor Used for Synergistic Substrates Determination. Sensors, 12(4), 4897-4917. https://doi.org/10.3390/s120404897

Article Metrics

Back to TopTop