Label-Free Toxin Detection by Means of Time-Resolved Electrochemical Impedance Spectroscopy
Abstract
:1. Introduction
2. Results and Discussion
2.1. Immunosensor fabrication and anti-SEB immobilization
2.2. SEB detection and optimization of measuring parameters
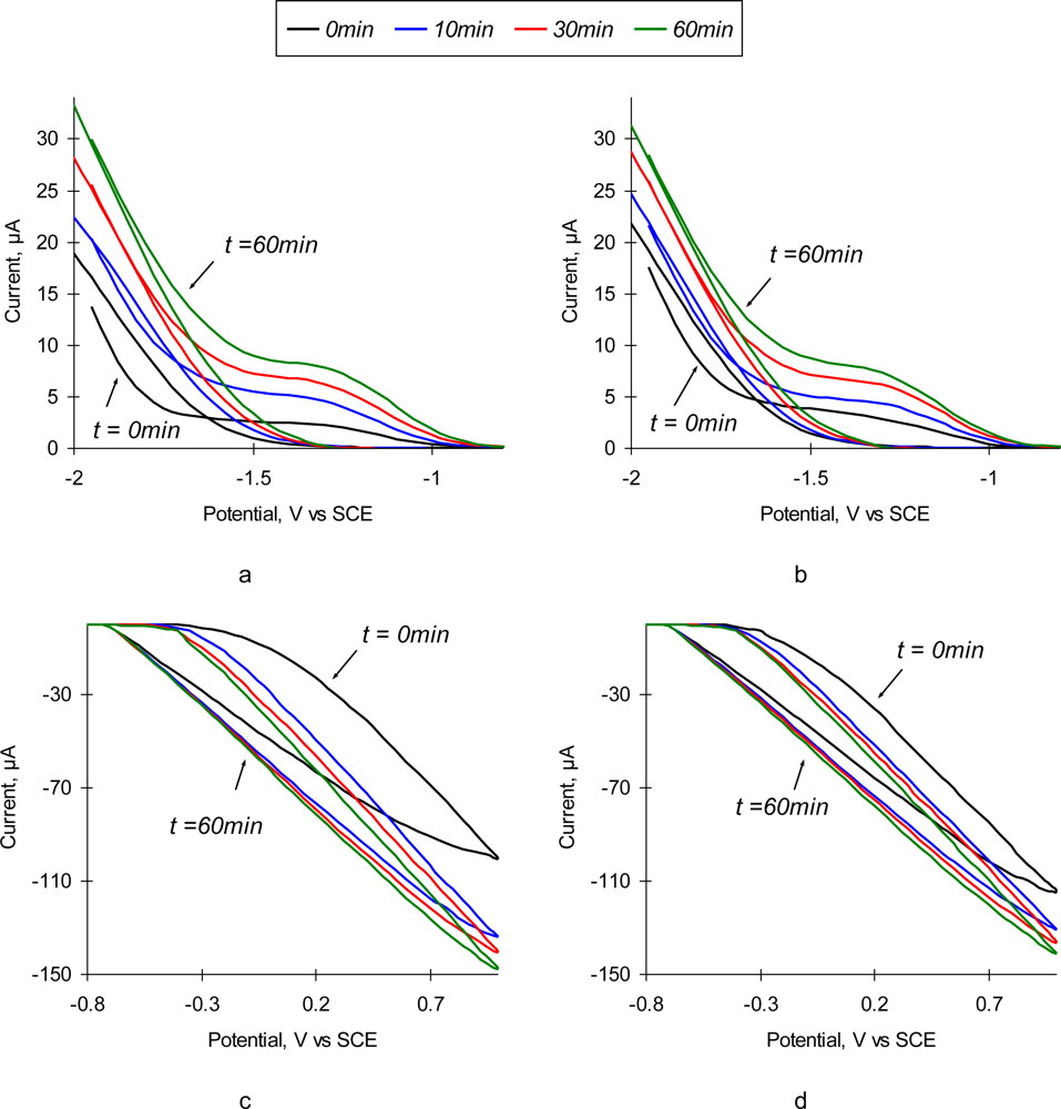
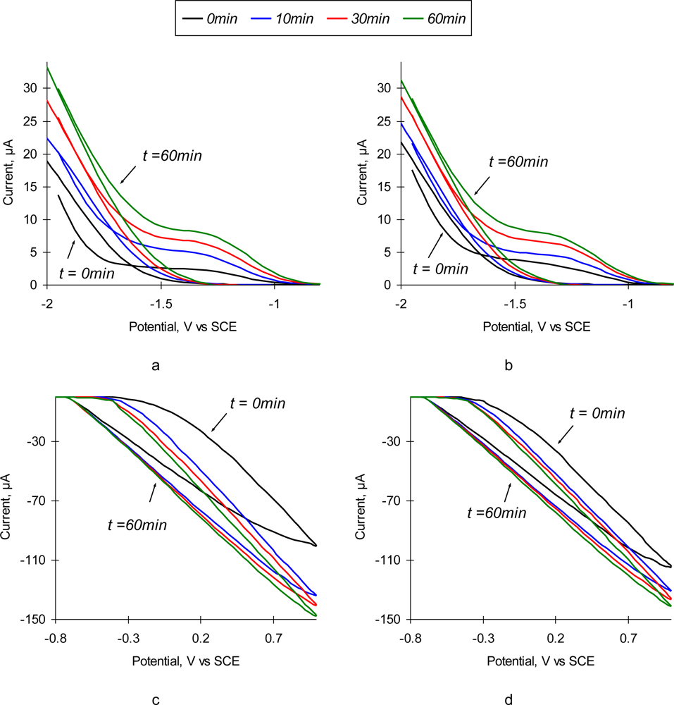
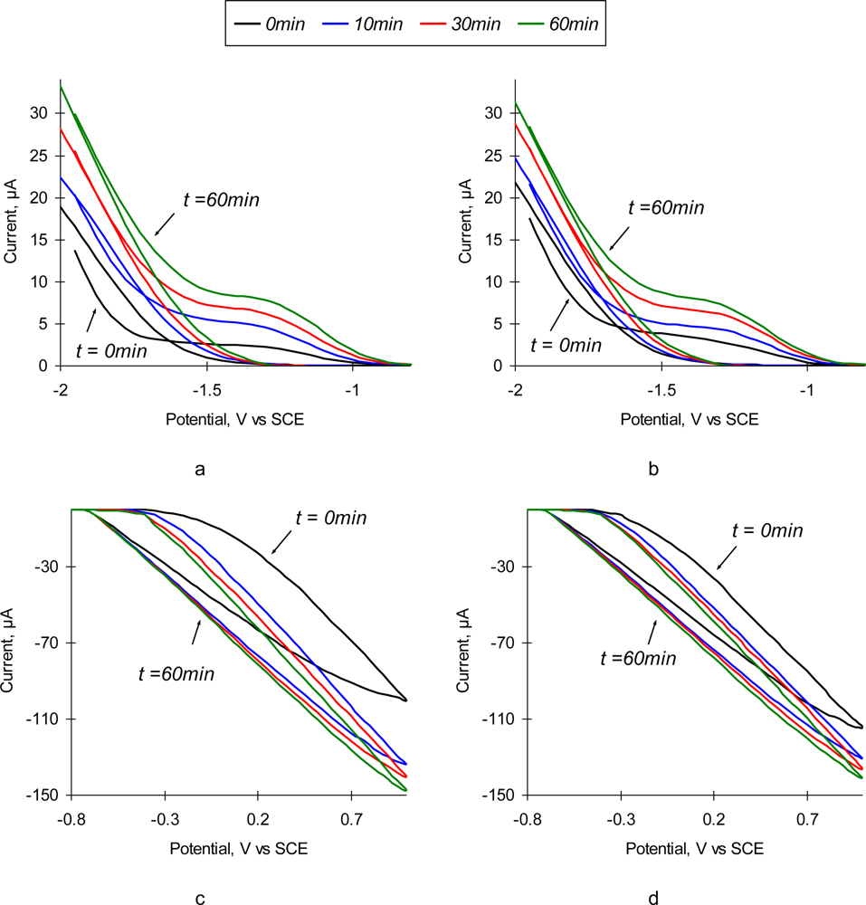
- To study electrode dynamics associated with the immunoreaction in the presence of excessive amount of highly conductive background electrolyte. The complete electrochemical behavior of a system can be investigated by sweeping the electrode potential with time and recording the resulting current as a function of potential. In that case, cyclic voltammetry is used to identify polarization regime of anti-SEB/SEB reaction and corresponding electrode charge transfer resistance. It allows to determine the optimal detection conditions with the highest sensitivity and stability of immobilized anti-SEB.
- To use time resolved electrochemical impedance spectroscopy (TREIS) to identify the perturbation frequency that corresponds to the specific interaction of probing charge carriers with Ab/Ag complexes. Measuring the sensor’s impedance at this optimal frequency provides the best signal-to-noise ratio and stability of an output signal.
- To determine the dynamic characteristics of detector and to identify the minimal detection time of the sensor by recording sensor’s complex impedance at the optimal single frequency as a function of time.
2.3. Cyclic voltammetry of the SEB immunosensor
2.4. Time-resolved electrochemical impedance spectroscopy
2.4.1. TREIS analysis of non-polarized SEB immunosensor
2.4.2. TREIS analysis of polarized SEB immunosensor
2.5. Detection of ultra-low SEB concentrations with polarized immunosensor
3. Conclusions
4. Experimental Section
4.1. Materials
4.2. Methods
Nano-patterning of the biosensor’s substrate: electropolishing and anodization
Sensibilization of nano-porous aluminum: silanization and anti-SEB immobilization
Surface morphology control
Electrochemical measurements
Acknowledgments
References and Notes
- Gheorghe, M.; Guiseppi-Elie, A. Electrical frequency dependent characterization of DNA hybridization. Biosens. Bioelectron 2003, 19, 95–102. [Google Scholar]
- Farace, G.; Lillie, G.; Hianik, T.; Payne, P.; Vadgama, P. Reagentless biosensing using electrochemical impedance spectroscopy. Bioelectrochem 2002, 55, 1–3. [Google Scholar]
- Cui, X.; Pei, R.; Wang, Z.; Yang, F.; Ma, Y.; Dong, S.; Yang, X. Layer-by-layer assembly of multilayer films composed of avidin and biotin-labeled antibody for immunosensing. Biosens. Bioelectron 2003, 18, 59–67. [Google Scholar]
- DeSilva, M.S.; Zhang, Y.; Hesketh, P.J.; Maclay, G.J.; Gendel, S.M.; Stetter, J.R. Impedance based sensing of the specific binding reaction between Staphylococcus enterotoxin B and its antibody on an ultra-thin platinum film. Biosens. Bioelectron 1995, 10, 675–682. [Google Scholar]
- Jie, M.; Ming, C.Y.; Jing, D.; Cheng, L.S.; Huai na, L.; Jun, F.; Xiang, C.Y. An electrochemical impedance immunoanalytical method for detecting immunological interaction of human mammary tumor associated glycoprotein and its monoclonal antibody. Electrochem. Commun 1999, 1, 425–428. [Google Scholar]
- Naumann, R.; Schmidt, E.K.; Jonczyk, A.; Fendler, K.; Kadenbach, B.; Liebermann, T.; Offenhausser, A.; Knoll, W. The peptide-tethered lipid membrane as a biomimetic system to incorporate cytochrome c oxidase in a functionally active form. Biosen. Bioelectron 1999, 14, 651–662. [Google Scholar]
- Ouerghi, O.; Touhami, A.; Jaffrezic-Renault, N.; Martelet, C.; Ouada, H.B.; Cosnier, S. Impedimetric immunosensor using avidin-biotin for antibody immobilization. Bioelectrochem 2002, 56, 131–133. [Google Scholar]
- Vagin, M.Y.; Karyakina, E.E.; Hianik, T.; Karyakin, A.A. Electrochemical transducers based on surfactant bilayers for the direct detection of affinity interactions. Biosen. Bioelectron 2003, 18, 1031–1037. [Google Scholar]
- Gabrielli, C. Electrochemical impedance spectroscopy: principles, instrumentation, and applications. In Physical Electrochemistry: Principles, Methods, and Applications; Rubinstein, I., Ed.; CRC: New York, NY, USA, 1995; pp. 243–292. [Google Scholar]
- Jonscher, A.K. Dielectric relaxation in solids. J. Phys. D: Appl. Phys 1999, R, 57–70. [Google Scholar]
- McDonald, J.R. Impedance Spectroscopy: Emphasizing Solid Materials and Systems; Wiley-Interscience: New York, NY, USA, 1987. [Google Scholar]
- MacDonald, J.R. Impedance Spectroscopy: Emphasizing Solid Materials and Systems; Wiley-Interscience: New York, NY, USA, 1987. [Google Scholar]
- Jonscher, A.K. Dielectric Relaxation in Solids; Chelsea Dielectrics Press: London, UK, 1983. [Google Scholar]
- Vagin, M.Y.; Karyakina, E.E.; Hianik, T.; Karyakin, A.A. Electrochemical transducers based on surfactant bilayers for the direct detection of affinity interactions. Biosens. Bioelectron 2003, 18, 1031–1037. [Google Scholar]
- Katz, E.; Willner, I. Probing biomolecular interactions at conductive and semiconductive surfaces by impedance spectroscopy: Routes to impedimetric immunosensors, DNA-sensors, and enzyme biosensors. Electroanalysis 2003, 15, 913–947. [Google Scholar]
- Evenson, M.L.; Hinds, M.W.; Bernstein, R.S.; Bergdoll, M.S. Estimation of human dose of staphylococcal enterotoxin A from a large outbreak of staphylococcal food poisoning involving chocolate milk. Int. J. Food Microbiol 1988, 7, 311–316. [Google Scholar]
- Medina, M.B. A biosensor method for a competitive immunoassay detection of staphylococcal enterotoxin b (seb) in milk. J. Rapid Method. Autom. Microbio 2005, 13, 37–55. [Google Scholar]
- Naimushin, A.N.; Soelberg, S.D.; Nguyen, D.K.; Dunlap, L.; Bartholomew, D.; Elkind, J.; Melendez, J.; Furlong, C.E. Detection of Staphylococcus aureus enterotoxin B at femtomolar levels with a miniature integrated two-channel surface plasmon resonance (SPR) sensor. Biosens. Bioelectron 2002, 17, 573–584. [Google Scholar]
- Yuzhakov, V.; Takhistov, P.; Miller, A.; Chang, H.C. Pattern Selection During Electropolishing due to Double-Layer Effects. Chaos 1999, 1, 62–77. [Google Scholar]
- Horner, M.R.; Boerio, F.J.; Clearfield, H.M. An XPS investigation of the adsorption of aminosilanes onto metal substrates. In Silanes and Other Coupling Agents; Mittal, K.L., Ed.; VSP: Utrecht, The Netherlands, 1992; pp. 305–321. [Google Scholar]
- Nashat, A.H.; Moronne, M.; Ferrari, M. Detection of functional groups and antibodies on microfabricated surfaces by confocal microscopy. Biotechnol. Bioeng 1998, 60, 137–146. [Google Scholar]
- Ivnitski, D.; Abdel-Hamid, I.; Atanasov, P.; Wilkins, E. Biosensors for detection of pathogenic bacteria. Biosens. Bioelectron 1999, 14, 599–624. [Google Scholar]
- Schmickler, W.; Leiva, E. A note on the surface stress and tension of solid metal electrodes. J. Electroanal. Chem 1998, 453, 61. [Google Scholar]
- Snejdarkova, M.; Reh, L.C.M.; Hianik, T. Amperometric Immunosensor for Direct Detection of Human IgG. Electroanal 2000, 12, 940–945. [Google Scholar]
- Tang, D.; Yuan, R.; Chai, Y.; Dai, J.; Zhong, X.; Liu, Y. A novel immunosensor based on immobilization of hepatitis B surface antibody on platinum electrode modified colloidal gold and polyvinyl butyral as matrices via electrochemical impedance spectroscopy. Bioelectrochemistry 2004, 65, 15–22. [Google Scholar]
- Wang, X.; Han, G.R. Fabrication and characterization of anodic aluminum oxide template. Microelectr. Eng 2003, 66, 166. [Google Scholar]
- Sadana, A.; Alariea, J.; Vo-Dinha, T. Antigen-antibody diffusion-limited binding kinetics for biosensors: a fractal analysis. Sens. Actuat. B: Chem. 1996, 32, 195–201. [Google Scholar]
- Bockris, J.; Reddy, A. Modern Electrochemistry; Plenum: New York, NY, USA, 1998. [Google Scholar]
- Rucker, V.C.; Havenstrite, K.L.; Herr, A.E. Antibody microarrays for native toxin detection. Anal. Biochem 2005, 339, 262–270. [Google Scholar]







©2010 by the authors; licensee Molecular Diversity Preservation International, Basel, Switzerland. This article is an open access article distributed under the terms and conditions of the Creative Commons Attribution license (http://creativecommons.org/licenses/by/3.0/)
Share and Cite
Chai, C.; Takhistov, P. Label-Free Toxin Detection by Means of Time-Resolved Electrochemical Impedance Spectroscopy. Sensors 2010, 10, 655-669. https://doi.org/10.3390/s100100655
Chai C, Takhistov P. Label-Free Toxin Detection by Means of Time-Resolved Electrochemical Impedance Spectroscopy. Sensors. 2010; 10(1):655-669. https://doi.org/10.3390/s100100655
Chicago/Turabian StyleChai, Changhoon, and Paul Takhistov. 2010. "Label-Free Toxin Detection by Means of Time-Resolved Electrochemical Impedance Spectroscopy" Sensors 10, no. 1: 655-669. https://doi.org/10.3390/s100100655
APA StyleChai, C., & Takhistov, P. (2010). Label-Free Toxin Detection by Means of Time-Resolved Electrochemical Impedance Spectroscopy. Sensors, 10(1), 655-669. https://doi.org/10.3390/s100100655
