Next Article in Journal
Marine Crabs from African Waters Housed in the Museo Nacional de Ciencias Naturales (MNCN-CSIC)—An Opportunity for Biogeographic and Systematic Studies—Part II: Thoracotremata
Next Article in Special Issue
The Enigmatic Hadal Ophiuroid Has Found Its Place: A New Family Abyssuridae Links Ultra-Abyssal and Shallow-Water Fauna
Previous Article in Journal
Whole-Genome Resequencing Reveals Population Genetic Structure and Selection Signatures in the Golden Wild Yak
Previous Article in Special Issue
Taxonomic Revision of Pasiphaea (Pasiphaeidae: Crustacea) of the Southwest Tropical Pacific with a Description of Eight New Species
 
 
Font Type:
Arial Georgia Verdana
Font Size:
Aa Aa Aa
Line Spacing:
Column Width:
Background:
Article

Large Parasites in a Crowded Space: Variation in Prevalence and Volumetric Effects of Sarcotaces arcticus (Collett, 1874) in Two Host Rockfish (Sebastes spp.) Species

Department of Biology, Brigham Young University, Provo, UT 84602, USA
*
Author to whom correspondence should be addressed.
Diversity 2025, 17(10), 688; https://doi.org/10.3390/d17100688
Submission received: 10 September 2025 / Revised: 27 September 2025 / Accepted: 27 September 2025 / Published: 30 September 2025
(This article belongs to the Special Issue 2025 Feature Papers by Diversity’s Editorial Board Members)

Abstract

Sarcotaces arcticus (Collett, 1874) is a relatively large, internal parasitic copepod that infects many marine fishes. Although its large size suggests it may have a negative effect on host reproduction by reducing space available in the abdominal cavity (i.e., volumetric effect), such quantitative aspects of host-parasite relationships for S. arcticus have never been documented. We compared the prevalence and the ratio of live to dead parasites among sizes and sexes of two species of rockfish hosts (Sebastes ciliatus, Tilesius, 1813, dark rockfish; and Sebastes variabilis, Pallas, 1814, dusky rockfish) and quantified the reduction of internal space available in infected hosts. Samples were collected in southeast Alaskan waters where the two host rockfish species coexist in sympatry. Both total prevalence and prevalence of live S. arcticus were significantly higher in S. variabilis compared to S. ciliatus, because of higher prevalence in female S. variabilis. The relationship between body cavity volume, volume available for reproduction, and total length was isometric for both host species combined. An average live S. arcticus with a volume of 8.1 milliliters occupied about 45% in smaller hosts and about 5% in larger hosts of the volume available for reproductive organs. The high prevalence and large size of this parasite could significantly reduce fecundity and fitness of rockfish hosts through reductions in internal volume available for reproduction.

1. Introduction

Internal parasites of vertebrates are typically small (relative to host body size) and thus do not impact host reproduction by occupying space in the abdominal cavity that the host would otherwise use to produce larger or more numerous offspring (i.e., volumetric effects of parasites). For most internal parasites, their negative effects on hosts are primarily considered in terms of energy loss. However, female Sarcotaces arcticus (Collett, 1874; Copepoda, Cyclopoida, Philichthyidae) are relatively large compared to other internal parasites, measuring up to 70 mm in length and 30 mm in width [1]. Sarcotaces arcticus is a parasitic copepod that causes “black bag disease” in many species of marine fishes, and it has especially high prevalence in many Pacific rockfish species (genus Sebastes) [2,3,4,5,6]. Sarcotaces arcticus has a large pyriform-shaped female, one to three microscopic male(s), as well as nauplii (larvae) or eggs, encased by a highly vascular, collagenous host gall [2,4,7,8]. These parasites rapidly develop through five naupliar stages and infect host fish during their copepodid stage [8]. Sarcotaces arcticus are directly transmitted, and fish are their only host. Female parasites enter the anal vent of the host and attach firmly to the internal wall of the intestine near the vent. The female forms a gall as an outpocketing of the intestine and grows within the gall, apparently by absorbing nutrients from the vascular wall through abundant villi on her body surface [1,3,4,8]. Once sexually mature, the female parasite mates with microscopic males that occupy the gall with her. She then reproduces, discharges larvae, and eventually degenerates and dies, leaving behind only a thick, tumor-like scar [3,4,9]. This scar or gall appears to persist throughout the life of the host fish and thus provides evidence of cumulative infections over the fish’s lifetime. These parasites do not appear to have serious debilitative effects or to cause mortality of the host fish [2,7,10]; however, infections may have negative effects on the reproductive output of host rockfishes [1,11,12] by reducing space available for developing embryos or by creating a physical blockage of the reproductive tract [13]. Sarcotaces arcticus individuals could have important ecological, evolutionary, and economic impacts on the rockfishes they infect. Although a basic natural history and description of S. arcticus have been available for years, only one quantitative study on prevalence of S. arcticus in one host fish has been published [7]. Additionally, the potential effects of this parasite on volume available in the host fish for reproduction have never been quantified.
Pacific rockfishes (genus Sebastes) are long-lived and highly fecund fishes that are commercially important in the north Pacific [11]. Abundant populations of dusky rockfish (Sebastes variabilis, Pallas, 1814) and dark rockfish (Sebastes ciliatus, Tilesius, 1813) occur sympatrically in southeast Alaskan marine waters [3,9,11,13], and provide an opportunity to compare the ecology of S. arcticus between these two common host fish species in the same location. We present the first quantitative analysis of S. arcticus prevalence and potential negative effects on the internal volume available for reproduction in these two species of rockfish (S. variabilis and S. ciliatus). Specifically, we quantified prevalence of S. arcticus (live and dead) in relation to species of host fish, size class (age) of host fish, and sex of host fish. Additionally, we estimated the negative volumetric effect of S. arcticus on these host species by calculating the volume occupied by a single live infection of S. arcticus that would otherwise be available to the host for reproductive output.

2. Materials and Methods

To assess the prevalence and effects on internal volume of hosts of S. arcticus, we surveyed two species of rockfish: S. variabilis and S. ciliatus. Sebastes ciliatus and S. variabilis are sister species that are commonly caught in the same areas. Both species are pelagic, occur in large aggregations, and feed on pelagic crustaceans in the water column. They are sympatric and syntopic in the areas we surveyed, such that fishing yields a mix of both species and sexes, and the depth at which both species are caught does not differ. We caught both species via hook and line in Frederick Sound, near Admiralty Island, AK, USA (56°57′14.76″ N, 134°10′36.19″ W). We were not able to collect individuals from the smallest size class (<240 mm TL; ages 1–4 yr) of either host fish species. This study focuses on individuals larger than about 240 mm TL, which are the smallest individuals available in the large aggregations where we fished.

2.1. Study System

We caught a total of 182 S. ciliatus and 135 S. variabilis from 7–10 July 2017. In addition to capturing the two host species, we caught 31 S. ruberrimus, 29 S. maliger, and small samples of other co-occurring rockfish species (S. brevispinis, S. caurinus, S. flavidus, S. melanops, S. miniatus, and S. nigrocinctus). On the same day the fish were caught, we dissected each fish for internal observation and detection of S. arcticus parasites. We recorded total length and standard length to the nearest millimeter of the host fish, determined the sex, collected muscle tissues and otolith samples, recorded whether each fish was parasitized by S. arcticus, and counted the total number of galls of S. arcticus. Only S. ciliatus and S. variabilis were parasitized by S. arcticus; therefore, none of the other Sebastes species were used for further analysis. We identified S. arcticus parasites in S. ciliatus and S. variabilis by the presence of an internal gall(s) near the anal vent of the fish. Then, we carefully extracted the galls to prevent rupture of the parasites and preserved them in 90% ethyl alcohol. In the lab, we dissected the gall and characterized each parasite by life stage. We separated S. arcticus into three life stages at the time of the collection: live small, live large, and dead. We classified stage one as a gall, up to 10 mm in length, containing a female but no black fluid (hemosiderin). Stage two was classified as a gall (>10 mm in length) containing a female and hemosiderin, as well as the presence of eggs or nauplii. We classified stage three as the “scar” or dead stage, which we identified by a relatively small and hard gall, with no identifiable female, often with the presence of solidified hemosiderin (ranging from 5 to 20 mm in length). Additionally, we classified each fish into one of three size classes based on total length: small (fish between 24 to 37 cm; 5–10 years old), intermediate (fish between 37 to 44 cm; 10–15 years old), and large (44+ cm; 15+ years old) [11].
In 2018, we collected 21 S. ciliatus and 10 S. variabilis to assess the volumetric effects of S. arcticus infection. To measure available space, we extracted the organs of each fish and measured their volume in milliliters via water displacement. Major organs such as the heart, kidneys, and stomach were included in the measurement of organ volume. The stomachs were always empty due to barotrauma-induced extrusion during capture. The swim bladder was excluded from our measurements, since its volume is highly variable depending on the location of the fish in the water column. If the individual was reproductively mature, we removed their enlarged gonads before calculating organ volume. We did not remove gonads of reproductively immature individuals because they were only small, thread-like structures that would not significantly affect the volume available. After all the organs were removed, we measured the total volume of each fish’s body cavity in milliliters. To adjust the volume of the nonreproductive internal organs to account for the swim bladder, we took the volume of nonreproductive organs and added an estimated 20% of the total cavity volume to represent the swim bladder. We then divided nonreproductive organ volume by total cavity volume (×100) to get the percentage of total cavity volume occupied by nonreproductive organs.
Further, to calculate volume available for reproduction, we subtracted nonreproductive organ volume from total cavity volume. From a separate set of host individuals, we collected 19 galls of S. arcticus. The volume of these galls was measured in milliliters via water displacement to establish an average volume occupied by a single S. arcticus infection. We then divided the average volume of a single S. arcticus individual by the calculated volume available for reproductive organs (×100) to get the percentage of normally available volume for reproductive organs that would be occupied by an individual S. arcticus.

2.2. Analysis

We calculated prevalence of S. arcticus for both species of host rockfish in relation to sex and size class. Prevalence was measured as the number of infected hosts divided by the total number of hosts examined for the specified group [14]. We compared prevalence of S. arcticus between species and sexes, and among size classes within species by sex combinations using contingency table analysis in Proc FREQ in SAS (SAS version 9.4, SAS Inc., Cary, NC, USA). Because some categories had an expected value < 5, we used a one-tailed version of Fisher’s exact test for comparison. We calculated prevalence of live S. arcticus in relation to sex and size class of host in the same way as total prevalence using contingency table analysis in Proc FREQ in SAS (SAS version 9.4, SAS Inc., Cary, NC, USA). To determine differences in the distribution of live and dead parasites, we mapped parasite mortality structure (live or dead) among size classes of the host fishes by comparing the number of parasites that were live to the number that were dead within each host species by sex and by size class of host fishes. We used a contingency table analysis to test for deviation from the overall expected proportion of live and dead parasites among host groups using Proc FREQ in SAS (SAS version 9.4, SAS Inc., Cary, NC, USA).
We performed an Analysis of Covariance (ANCOVA) to evaluate how total cavity volume and nonreproductive organ volume differed between host species and with total length (Table 1; R software, version 4.4.0). Because there was no significant species effect nor a significant species by total length interaction, we combined species for further analyses. We used linear regression to test against an expected slope of 3 (isometry for a length/volume comparison) between the (ln transformed) total length (mm) and (ln transformed) host cavity, and (ln transformed) nonreproductive organ volume. In addition, we used linear regression to determine if the percent of cavity volume available for reproduction occupied by an individual S. arcticus varied with host body size, as well as the percent of organ volume out of total cavity volume.
We estimated the volume of the two dead parasite galls as 4 milliliters each (half of the average live parasite volume) and subtracted them from the total measured gall volumes. For fish with multiple live parasites, we evenly distributed the volume to separate them into individual parasites. Subsequently, we determined the mean, minimum, and maximum percent of the potential reproductive volume an average S. arcticus occupied in the host species combined.

3. Results

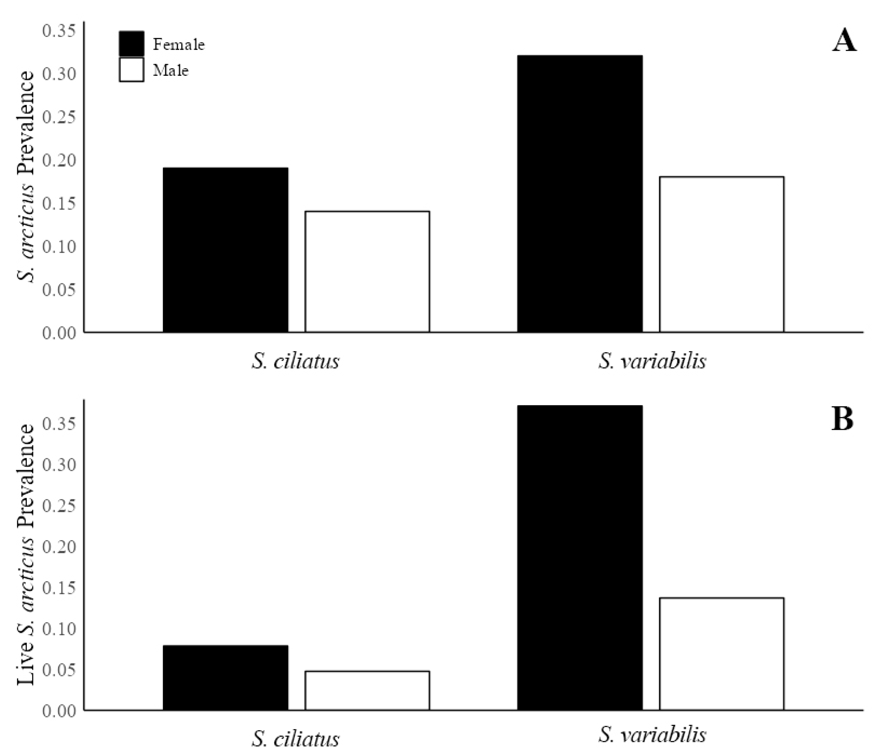
A total of 32 of 182 S. ciliatus and 35 of 135 S. variabilis were parasitized by S. arcticus (Table 2). Sebastes variabilis had a significantly higher prevalence of S. arcticus (25.9%) compared to S. ciliatus (17.6%; Fisher’s exact test, p = 0.049). Female S. variabilis had a significantly higher prevalence of S. arcticus (32.1%) compared to male S. variabilis (17.5%; Fisher’s exact test, p = 0.043). Prevalence did not differ between sexes of S. ciliatus (male prevalence = 14.3%; female prevalence = 18.6%; Fisher’s exact test, p = 0.35; Table 2, Figure 1A). Prevalence of S. arcticus did not differ among size classes of host fishes within any of the species by sex combinations (Fisher’s exact test, all p > 0.32; Figure 2A). The same pattern of prevalence between species and sexes exists when we consider the prevalence of only live S. arcticus, but the differences are even more obvious. Sebastes variabilis had a significantly higher prevalence of live S. arcticus (22.2%) compared to S. ciliatus (6.6%; Fisher’s exact test, p < 0.0001). Female S. variabilis had a significantly higher prevalence of live S. arcticus (29.5%) compared to male S. variabilis (12.3%; Fisher’s exact test, p = 0.014). Prevalence of live S. arcticus did not differ between sexes of S. ciliatus (male prevalence = 4.8%; female prevalence = 6.6%; Fisher’s exact test, p = 0.44; Table 2, Figure 1B). Prevalence of live S. arcticus did not differ among size classes of host fishes within any of the species by sex combinations (Fisher’s exact test, all p > 0.32; Figure 2B).
Across both species and sexes of infected hosts, 73% of individuals had only one S. arcticus gall present; 24% had two galls present; and 3% had three galls present. Live small parasites were uncommon; only four live small S. arcticus (5% of all parasites observed) were found among all host specimens. Live large parasites constituted 52% and dead parasites constituted the remaining 43% of all S. arcticus detected. Sebastes variabilis contained mostly live parasites (78.3%) and S. ciliatus contained mostly dead parasites (68.3%). The proportions of live to dead parasites differed significantly between the two host species (Fisher’s exact test, p < 0.0001). Female S. variabilis had a significantly higher prevalence of live S. arcticus (87.9%) compared to male S. variabilis (53.8%; Fisher’s exact test, p = 0.02). The proportion of live and dead parasites did not differ between sexes of S. ciliatus (Fisher’s exact test, p = 0.50; Table 3, Figure 2). The proportion of live compared to dead S. arcticus differed among size classes of host fishes only within female S. variabilis. In female S. variabilis, live parasites were most common in the first two size classes, whereas dead parasites were equally common in the largest size class (Fisher’s exact test, all p > 0.01; Table 3, Figure 2).
The relationship between body cavity volume and total length in both host species combined was isometric (Table 4, Figure 3). Similarly, the relationship between the volume of nonreproductive internal organs (including estimated volume of the swim bladder) and total length was isometric in both host species combined (Table 4, Figure 3). The percentage of the internal body cavity volume that was occupied by nonreproductive internal organs was relatively constant across body sizes at about 70%, decreasing about 10% from smallest to largest host sizes (Figure 4). The mean volume of a live S. arcticus was 8.1 mL (95% CI = 8.88–7.32, n = 19). Thus, the percentage of the internal body cavity volume available for reproductive organ expansion that is occupied by an average-sized S. arcticus decreased as the body size of the host increased (Figure 4). The mean percentage of potential reproductive volume occupied by one S. arcticus for smaller host individuals was about 45% and about 5% for larger host individuals.

4. Discussion

The most unique characteristic of the Sebastes and S. arcticus system is the volumetric constraint that S. arcticus may impose on the reproductive potential of its host. Rockfishes parasitized by S. arcticus may have reduced fecundity or reproductive output [11,12]. Reduced reproductive output is a well-known host effect; however, most studies of this effect attribute it either to the energetic burden of parasitism or host castration as an adaptive strategy. There is no evidence to suggest that S. arcticus specifically targets the reproductive organs of its host. The reduction in reproductive potential observed in hosts of S. arcticus may be partially caused by the energetic burden of parasitism, although this burden is yet to be studied quantitatively. Sarcotaces arcticus are large parasites and take up a considerable amount of space in a host’s body. Rockfishes exhibit internal fertilization and are live-bearing fish [11,15]. Meaning that, for female rockfish, reproductive output is likely limited by the volume of the body cavity, and therefore any reduction in the amount of space available for eggs or larvae will result in lower reproductive output. A single S. arcticus could take up from 5–45% of available space within the body cavity, depending on the size of the host fish. This represents a significant reduction in available space, especially for smaller individuals. Additionally, fertilization could be impaired by the presence of a large S. arcticus, causing a blockage in the reproductive tract of the host [16]. This volumetric effect is most pronounced in females, due to the higher volume required for developing embryos, but males might also be affected. For males, the presence of S. arcticus could lead to a reduced size of both their testes and urine sack. If a reduction in the size of the testes or urine sack occurred, there could be a decrease in relative sperm output and in the ability to signal mates with pheromones.
We show a quantitative difference in the prevalence and mortality structure (i.e., live versus dead parasites) of S. arcticus between two host Pacific rockfish species. Prevalence of S. arcticus in female S. variabilis was significantly higher than prevalence in male S. variabilis and both male and female S. ciliatus. This finding is similar to a previous study conducted by Moser et al., which reported that female S. ciliatus had a higher prevalence of parasites than males [7]. At the time of the study, S. ciliatus and S. variabilis were considered one species. It is possible that the higher prevalence in female S. ciliatus in Moser et al. [7] may be explained by the female-skewed prevalence of S. variabilis that we report. These sex-biased patterns of parasite aggregation have been documented in other host-parasite systems [17,18,19,20]. A possible explanation for this pattern is varying exposure between males and females. This is often the case for species in which males and females have different behaviors or ecological preferences, causing different rates of exposure to a parasite [21]. However, in this host system, we did not identify any differences in ecology (i.e., habitat use, depth, diet, sex-specific aggregations) that would account for different rates of exposure to S. arcticus. If catch rates are indicative of abundance in the feeding aggregations, then S. ciliatus is slightly more abundant than S. variabilis, and females of both species are more abundant in the aggregation than males. There may be differences in host aggregation composition and density at other times of the year that may account for our results. A more in-depth description of the life histories of both S. ciliatus and S. variabilis would help clarify this issue. However, from what we know now, there are no differences in the rates of exposure between species or sexes. Additional research that quantifies the occurrence of S. arcticus in smaller size classes of host fishes would be valuable both for determining the earliest occurrence of infection and for calculating potential lifespan of the parasite.
A second possibility is that the sex-biased aggregation we observed is driven by a difference in susceptibility. Parasite establishment in a host requires avoiding or overcoming the host’s behavioral and immune defenses [22,23]. Host fish can differ in their immune function and susceptibility to infection, based on the interaction of reproduction with the immune system. Generally, high concentrations of sex hormones in an organism can reduce immune function [24]. High prevalence of infection in female S. variabilis could come from a strong tradeoff between reproduction and immune function, resulting in lower immunity and higher rates of successful establishment of S. arcticus. This explanation is partially supported by the pattern of live and dead S. arcticus among species, sexes, and size classes. In both sexes of S. ciliatus, the proportion of dead relative to live S. arcticus is skewed 2:1 in favor of dead parasites. In female S. variabilis, the pattern of dead and live parasites is starkly different. Despite the high prevalence of S. arcticus in all size classes of female S. variabilis, no dead parasites were observed in the youngest size class, and only one dead parasite was observed in the medium size class. Overall, in female S. variabilis, live parasites outnumbered dead parasites by a 7:1 ratio. These comparisons suggest that female S. variabilis have relatively poor immune function and cannot effectively rid themselves of S. arcticus once they are infected. S. ciliatus, on the other hand, seems to be able to resist the parasite more effectively. Male S. variabilis may be more effective at killing the parasite than female S. variabilis, but not quite as good as S. ciliatus. This pattern is made even more clear by considering the prevalence of live S. arcticus between species and sexes (Table 2). There could also be differences in reproductive effort between these two closely related species that we are not aware of. It could be that some difference in life history makes S. variabilis more susceptible to S. arcticus.
The relationship between Sebastes and S. arcticus has potential as a model for studying volumetric effects and energy allocation in hosts. Because S. arcticus is a relatively large parasite, we can determine the impact of this parasite on the reproductive output of live-bearing fish. Determining how successful a host has been at combating these parasites is possible because S. arcticus leaves a record of past infections. Unfortunately, we still lack information about growth rates and longevity of S. arcticus, nor do we understand exactly how or if the rockfish immune system responds to an S. arcticus infection. However, the growth rates of infected Sebastes individuals can be obtained relatively easily by analyzing their otoliths. Multiple analyses of general fish health could be used to evaluate the immune response to infection by a parasite [25]. By comparing growth rates, immune response, and rates of parasite establishment, we could evaluate potential costs of infection from this parasite.

5. Conclusions

Taken together, our findings on the prevalence and volumetric effects of S. arcticus on host fishes suggest potentially significant impacts on rockfish reproductive output, thus also on their evolution and ecology. Rockfishes are long-lived and produce millions of offspring over their lifetime. However, survival rates of offspring are extremely low, so even small reductions in internal volume available for reproduction could lead to large differences in fitness between infected and uninfected individuals. Understanding the long-term effect of S. arcticus on host populations requires research on the spatial and temporal variation in prevalence of S. arcticus infections in rockfish, clarifying how hosts become or avoid becoming infected, and further research on the effects of S. arcticus infection as a constraint on reproductive output of their hosts.

Author Contributions

Conceptualization, M.C.B.; methodology, M.C.B., R.W. and S.A.T.; formal analysis, R.W., S.A.T. and C.C.S.; investigation, S.A.T. and M.C.B.; resources, M.C.B.; data curation, R.W. and M.C.B.; writing—original draft preparation, R.W., S.A.T., C.C.S. and M.C.B.; writing—review and editing, R.W. and M.C.B.; visualization, R.W., S.A.T., C.C.S. and M.C.B.; supervision, M.C.B.; project administration, M.C.B.; funding acquisition, M.C.B. All authors have read and agreed to the published version of the manuscript.

Funding

This research received no external funding.

Institutional Review Board Statement

The collection of fish and parasites was reviewed and ruled exempt by the Brigham Young University Institutional Animal Care and Use Committee.

Data Availability Statement

The datasets for this study can be found in Dryad; https://doi.org/10.5061/dryad.1ns1rn93z.

Acknowledgments

We thank A. Kokkonen, H. Brown, M. Sorensen, P. Searle, P. Neilson, and T. Bly for helping collect data and samples. We thank the Roger and Victoria Sant Foundation, the BYU College of Life Sciences, and the BYU Biology Department for helping to fund our research in Alaska. Additionally, we thank Scott and Jody Jorgensen for allowing us to stay at Pybus Point Lodge and providing us with wonderful accommodations, as well as fishing boats and equipment, while in Alaska.

Conflicts of Interest

The authors declare that the research was conducted in the absence of any commercial or financial relationships that could be construed as a potential conflict of interest.

References

  1. Kabata, Z. Diseases of Fishes, Book I: Crustacea as Enemies of Fishes; T.F.H Publications: Jersey City, NJ, USA, 1970; p. 171. [Google Scholar]
  2. Bullock, A.M.; Phillips, S.E.; Gordon, J.D.M.; Roberts, R.J. Sarcotaces sp., a Parasitic Copepod Infection in two Deep-Sea Fishes, Lepidion eques and Coelorhynchus occa. J. Mar. Biol. Assoc. UK 1986, 66, 835–843. [Google Scholar] [CrossRef]
  3. Avdeev, G.; Avdeev, V. Parasitic crustacean of the genus Sarcotaces Olsson, 1872 (Copepoda) from fishes of the Pacific Ocean. Bull. Pac. Sci. Inst. Fish. Oceanogr. 1975, 96, 227–231. [Google Scholar] [CrossRef]
  4. Aitken, A. An Undescribed Stage of Sarcotaces. Nature 1942, 150, 180–181. [Google Scholar] [CrossRef]
  5. Boxshall, G.A. Host specificity in copepod parasites of deep-sea fishes. J. Mar. Syst. 1998, 15, 215–223. [Google Scholar] [CrossRef]
  6. Collett, R. Meddelelse om Sarcotaces arcticus, en ny Art af en maerkelig slaegt af Fiske-Parasiter. In Proceedings of the Forhandandlingerne ved de Skandinaviske Naturforskeres 11 Möte, Kjobenhavn, Denmark, 3–9 July 1873; Schultz: Kjobenhavn, Denmark, 1874; Volume 11, pp. 387–389. [Google Scholar]
  7. Moser, M.; Haldorson, L.; Field, L.J. The Taxonomic Status of Sarcotaces komaii and Sarcotaces verrucosus (Copepoda, Phylichthyidae) and Host-Parasite Relationships between Sarcotaces arcticus and Sebastes spp. (Pisces). J. Parasitol. 1985, 71, 472–480. [Google Scholar] [CrossRef]
  8. Izawa, K. On the development of parasitic Copepoda I. Sarcotaces pacificus Komai (Cyclopoida: Philichthyidae). Publ. Seto Mar. Biol. Lab. 1973, 21, 77–86. [Google Scholar] [CrossRef] [PubMed][Green Version]
  9. Sekerak, A.D. Parasites as Indicators of Populations and Species Of Rockfishes: (Sebastes: Scorpaenidae) of the Northeastern Pacific Ocean. Doctoral Thesis, University of Calgary, Calgary, AB, Canada, 2005. [Google Scholar] [CrossRef]
  10. Kuitunen-Ekbaum, E. The Occurrence of Sarcotaces in Canada. J. Fish. Res. Board Can. 1949, 7c, 505–512. [Google Scholar] [CrossRef]
  11. Love, M.S.; Yoklavich, M.; Thorsteinson, L.K. The Rockfishes of the Northeast Pacific; University of California Press: Berkeley, CA, USA, 2002. [Google Scholar]
  12. Stanley, R.D.; Kronlund, A.R. Life history characteristics for silvergray rockfish (Sebastes brevispinis) in British Columbia waters and the implications for stock assessment and management. Fish. Bull. 2005, 103, 670–684. [Google Scholar]
  13. Moles, A. Parasites of the fishes of Alaska and surrounding waters. Alsk. Fish. Res. Bull. 2007, 12, 197–226. [Google Scholar]
  14. Bush, A.O.; Lafferty, K.D.; Lotz, J.M.; Shostak, A.W. Parasitology Meets Ecology on Its Own Terms: Margolis et al. Revisited. J. Parasitol. 1997, 83, 575–583. [Google Scholar] [CrossRef] [PubMed]
  15. Orr, J.W.; Brown, M.A.; Baker, D.C. Guide to Rockfishes (Scorpaenidae) of the Genera Sebastes, Sebastolobus, and Adelosebastes of the Northeast Pacific Ocean, 2nd ed.; National Oceanic and Atmospheric Administration: Silver Spring, MD, USA, 2000; p. 47. [Google Scholar]
  16. Conrath, C.L. Reproductive potential of light dusky rockfish (Sebastes variabilis) and northern rockfish (S. polyspinis) in the Gulf of Alaska. Fish. B.-Noaa 2019, 117, 140–150. [Google Scholar] [CrossRef]
  17. Christe, P.; Glaizot, O.; Evanno, G.; Bruyndonckx, N.; Devevey, G.; Yannic, G.; Patthey, P.; Maeder, A.; Vogel, P.; Arlettaz, R. Host sex and ectoparasites choice: Preference for, and higher survival on female hosts. J. Anim. Ecol. 2007, 76, 703–710. [Google Scholar] [CrossRef] [PubMed]
  18. Krasnov, B.R.; Morand, S.; Hawlena, H.; Khokhlova, I.S.; Shenbrot, G.I. Sex-biased parasitism, seasonality and sexual size dimorphism in desert rodents. Oecologia 2005, 146, 209–217. [Google Scholar] [CrossRef] [PubMed]
  19. Poulin, R. Sexual Inequalities in Helminth Infections: A Cost of Being a Male? Am. Nat. 1996, 147, 287–295. [Google Scholar] [CrossRef]
  20. Strona, A.L.S.; Levenhagem, M.; Leiner, N.O. Reproductive effort and seasonality associated with male-biased parasitism in Gracilinanus agilis (Didelphimorphia: Didelphidae) infected by spp. (Apicomplexa: Eimeriidae) in the Brazilian cerrado. Parasitology 2015, 142, 1086–1094. [Google Scholar] [CrossRef] [PubMed]
  21. Schalk, G.; Forbes, M.R. Male biases in parasitism of mammals: Effects of study type, host age, and parasite taxon. Oikos 1997, 78, 67–74. [Google Scholar] [CrossRef]
  22. Daly, E.W.; Johnson, P.T.J. Beyond immunity: Quantifying the effects of host anti-parasite behavior on parasite transmission. Oecologia 2011, 165, 1043–1050. [Google Scholar] [CrossRef] [PubMed]
  23. Schmid-Hempel, P. Parasite immune evasion: A momentous molecular war. Trends Ecol. Evol. 2008, 23, 318–326. [Google Scholar] [CrossRef] [PubMed]
  24. Foo, Y.Z.; Nakagawa, S.; Rhodes, G.; Simmons, L.W. The effects of sex hormones on immune function: A meta-analysis. Biol. Rev. Camb. Philos. Soc. 2017, 92, 551–571. [Google Scholar] [CrossRef] [PubMed]
  25. Seibel, H.; Bassmann, B.; Rebl, A. Blood Will Tell: What Hematological Analyses Can Reveal About Fish Welfare. Front. Vet. Sci. 2021, 8, 616955. [Google Scholar] [CrossRef]
Figure 1. Differences in S. arcticus total prevalence (A) and live only prevalence (B) relative to sex of both host rockfish species—S. ciliatus and S. variabilis. Prevalence of S. arcticus is significantly higher for female S. variabilis.
Figure 1. Differences in S. arcticus total prevalence (A) and live only prevalence (B) relative to sex of both host rockfish species—S. ciliatus and S. variabilis. Prevalence of S. arcticus is significantly higher for female S. variabilis.
Diversity 17 00688 g001
Figure 2. Differences in S. arcticus prevalence by host size class in terms of live and dead parasites for four species and sex combinations. Panels (AD): female S. ciliatus, male S. ciliatus, female S. variabilis, male S. variabilis. Size class 1 corresponds to fish up to 10 years old, size class 2 ages 10–15, and size class 3 ages 15 and up.
Figure 2. Differences in S. arcticus prevalence by host size class in terms of live and dead parasites for four species and sex combinations. Panels (AD): female S. ciliatus, male S. ciliatus, female S. variabilis, male S. variabilis. Size class 1 corresponds to fish up to 10 years old, size class 2 ages 10–15, and size class 3 ages 15 and up.
Diversity 17 00688 g002
Figure 3. Linear regression comparing the natural log-transformed total length (mm) and cavity and nonreproductive organ volume (mL) of the host species together.
Figure 3. Linear regression comparing the natural log-transformed total length (mm) and cavity and nonreproductive organ volume (mL) of the host species together.
Diversity 17 00688 g003
Figure 4. The percent of volume that an average S. arcticus takes up of the volume available for reproduction.
Figure 4. The percent of volume that an average S. arcticus takes up of the volume available for reproduction.
Diversity 17 00688 g004
Table 1. ANCOVA test results for effects of total length (TL), species, and the interaction between TL and species on cavity volume for S. ciliatus and S. variabilis. Significant values are bolded.
Table 1. ANCOVA test results for effects of total length (TL), species, and the interaction between TL and species on cavity volume for S. ciliatus and S. variabilis. Significant values are bolded.
VariableDegrees of FreedomF-Valuep-Value
TL1/31129.98.0 × 10−12
Species1/310.20.6
TL:Species1/310.270.6
Table 2. Total prevalence and prevalence of live S. arcticus across species, sexes, and size classes of rockfish hosts. Bolded values represent totals by species.
Table 2. Total prevalence and prevalence of live S. arcticus across species, sexes, and size classes of rockfish hosts. Bolded values represent totals by species.
Host SpeciesSexSize ClassNumber Parasitized/Total NumberPrevalence%Number with Live Parasite/Total NumberLive Prevalence%
S. ciliatusmale11/175.90/170
S. ciliatusmale25/2420.82/248.3
S. ciliatusmale30/100/10
Combined total 6/4214.32/424.8
S. ciliatusfemale14/2714.82/277.4
S. ciliatusfemale213/7118.37/719.9
S. ciliatusfemale39/4221.41/422.4
Combined total 26/14018.610/1407.1
Combined total by species 32/18217.612/1826.6
S. variabilismale14/2615.43/2611.5
S. variabilismale26/2524.04/2516
S. variabilismale30/600/60
Combined total 10/5717.57/5712.3
S. variabilisfemale19/3129.09/3129
S. variabilisfemale212/3435.312/3435.3
S. variabilisfemale34/1330.82/1315.4
Combined total 25/7832.123/7829.5
Combined total by species 35/13525.930/13522.2
Table 3. Number of live and dead S. arcticus and percent live S. arcticus across species, sexes, and size classes of rockfish hosts. Bolded values represent totals by species.
Table 3. Number of live and dead S. arcticus and percent live S. arcticus across species, sexes, and size classes of rockfish hosts. Bolded values represent totals by species.
Host SpeciesSexSize ClassLive/Dead/Total% Live S. arcticus
S. ciliatusmale10/1/10
S. ciliatusmale22/5/728.6
S. ciliatusmale30/0/00
Combined total 2/6/825
S. ciliatusfemale12/2/450
S. ciliatusfemale28/11/1942.1
S. ciliatusfemale31/9/1010
Combined total 11/22/3333.3
Combined total
by species
13/28/4131.7
S. variabilismale13/1/475
S. variabilismale24/5/944.4
S. variabilismale30/0/00
Combined total 7/6/1353.8
S. variabilisfemale113/0/13100
S. variabilisfemale213/1/1492.9
S. variabilisfemale33/3/650
Combined total 29/4/3387.9
Combined total by species 36/10/4678.3
Table 4. Ordinary least squares regression tested against a slope of 3 for isometry between the natural log-transformed total length (TL) and cavity and organ volume for host species combined. In addition, ordinary least squares regression between the natural log-transformed TL and percent of cavity volume occupied by organs, and the percent of remaining volume occupied by an average S. arcticus for host species combined.
Table 4. Ordinary least squares regression tested against a slope of 3 for isometry between the natural log-transformed total length (TL) and cavity and organ volume for host species combined. In addition, ordinary least squares regression between the natural log-transformed TL and percent of cavity volume occupied by organs, and the percent of remaining volume occupied by an average S. arcticus for host species combined.
VariableSample SizeTermEstimateStandard ErrorT-Statisticp-Value
Cavity volume31Intercept TL−15.2
0.5
1.3
0.2
−12.2
2.3
6.4 × 10−13
0.03
Organ volume31Intercept TL−12.5
−0.1
1.3
0.2
−9.6
−0.5
1.8 × 10−10
0.624
Percent organs31Intercept TL239.14
−29.28
72.50
12.40
3.3
−2.4
0.003
0.03
Percent parasite31Intercept TL443.85
−72.61
80.35
13.73
5.524
−5.288
6.64 × 10−6
1.26 × 10−5
Disclaimer/Publisher’s Note: The statements, opinions and data contained in all publications are solely those of the individual author(s) and contributor(s) and not of MDPI and/or the editor(s). MDPI and/or the editor(s) disclaim responsibility for any injury to people or property resulting from any ideas, methods, instructions or products referred to in the content.

Share and Cite

MDPI and ACS Style

Wilson, R.; Tilden, S.A.; Snyder, C.C.; Belk, M.C. Large Parasites in a Crowded Space: Variation in Prevalence and Volumetric Effects of Sarcotaces arcticus (Collett, 1874) in Two Host Rockfish (Sebastes spp.) Species. Diversity 2025, 17, 688. https://doi.org/10.3390/d17100688

AMA Style

Wilson R, Tilden SA, Snyder CC, Belk MC. Large Parasites in a Crowded Space: Variation in Prevalence and Volumetric Effects of Sarcotaces arcticus (Collett, 1874) in Two Host Rockfish (Sebastes spp.) Species. Diversity. 2025; 17(10):688. https://doi.org/10.3390/d17100688

Chicago/Turabian Style

Wilson, Raquel, Samantha A. Tilden, Catherine C. Snyder, and Mark C. Belk. 2025. "Large Parasites in a Crowded Space: Variation in Prevalence and Volumetric Effects of Sarcotaces arcticus (Collett, 1874) in Two Host Rockfish (Sebastes spp.) Species" Diversity 17, no. 10: 688. https://doi.org/10.3390/d17100688

APA Style

Wilson, R., Tilden, S. A., Snyder, C. C., & Belk, M. C. (2025). Large Parasites in a Crowded Space: Variation in Prevalence and Volumetric Effects of Sarcotaces arcticus (Collett, 1874) in Two Host Rockfish (Sebastes spp.) Species. Diversity, 17(10), 688. https://doi.org/10.3390/d17100688

Note that from the first issue of 2016, this journal uses article numbers instead of page numbers. See further details here.

Article Metrics

Back to TopTop