Beauty Bias? Exploring the Influence of Attractiveness on Conservation Intentions for Plants and Their Pollinators
Abstract
1. Introduction
2. Materials and Methods
2.1. Participants and Procedure
2.2. Description of Research Tool
2.3. Selection of Images for the Questionnaire
2.4. Statistical Analyses
3. Results
3.1. Factors Influencing WTP Plants and Pollinators
3.2. Factors Influencing Perceived Attractiveness of Plants and Pollinators
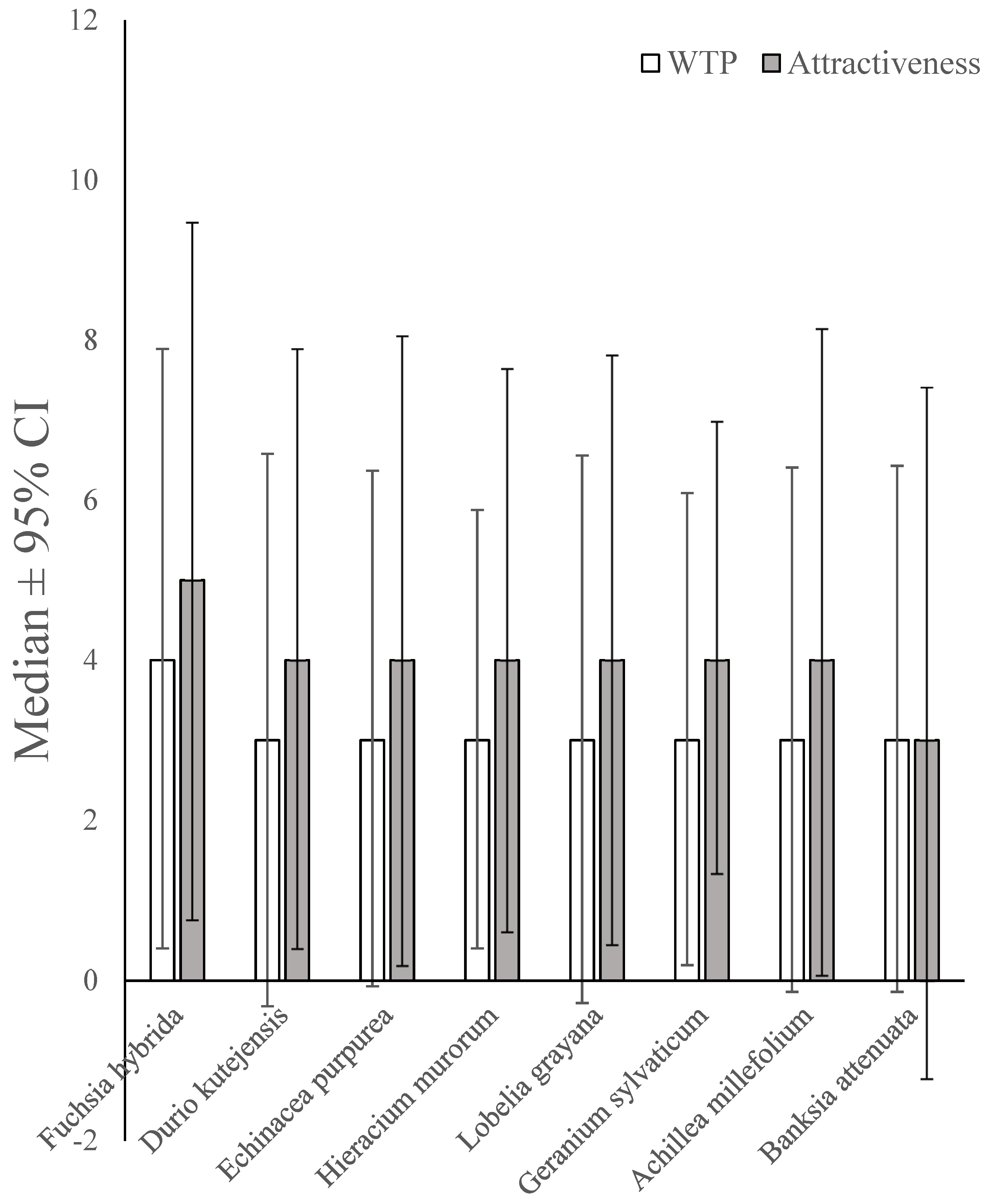
3.3. Differences in WTP and Attractiveness Between Plants
3.4. Differences in WTP and Attractiveness Between Pollinators
3.5. Differences in WTP and Attractiveness Between Plants Presented with Pollinators
3.6. Differences in WTP and Attractiveness Between Herbaceous Plants and Trees
4. Discussion
Limitation
5. Conclusions
Author Contributions
Funding
Institution Review Board Statement
Data Availability Statement
Acknowledgments
Conflicts of Interest
Correction Statement
References
- McKinley, D.C.; Miller-Rushing, A.J.; Ballard, H.L.; Bonney, R.; Brown, H.; Cook-Patton, S.C.; Soukup, M.A. Citizen science can improve conservation science, natural resource management, and environmental protection. Biol. Conserv. 2017, 208, 15–28. [Google Scholar] [CrossRef]
- Crall, A.W.; Newman, G.J.; Stohlgren, T.J.; Holfelder, K.A.; Graham, J.; Waller, D.M. Assessing citizen science data quality: An invasive species case study. Conserv. Lett. 2011, 4, 433–442. [Google Scholar] [CrossRef]
- Larson, E.R.; Graham, B.M.; Achury, R.; Coon, J.J.; Daniels, M.K.; Gambrell, D.K.; Suarez, A.V. From eDNA to citizen science: Emerging tools for the early detection of invasive species. Front. Ecol. Environ. 2020, 18, 194–202. [Google Scholar] [CrossRef]
- Kollmuss, A.; Agyeman, J. Mind the gap: Why do people act environmentally and what are the barriers to pro-environmental behavior? Environ. Educ. Res. 2002, 8, 239–260. [Google Scholar] [CrossRef]
- Jorgenson, S.N.; Stephens, J.C.; White, B. Environmental education in transition: A critical review of recent research on climate change and energy education. J. Environ. Educ. 2019, 50, 160–171. [Google Scholar] [CrossRef]
- Aronson, M.F.; Lepczyk, C.A.; Evans, K.L.; Goddard, M.A.; Lerman, S.B.; MacIvor, J.S.; Vargo, T. Biodiversity in the city: Key challenges for urban green space management. Front. Ecol. Environ. 2017, 15, 189–196. [Google Scholar] [CrossRef]
- Oikonomaki, E.; Papadaki, I.; Kakderi, C. Promoting Green Transformations through Smart Engagement: An Assessment of 100 Citizen-Led Urban Greening Projects. Land 2024, 13, 556. [Google Scholar] [CrossRef]
- Ansell, C.; Gash, A. Collaborative governance in theory and practice. J. Public Adm. Res. Theory 2008, 18, 543–571. [Google Scholar] [CrossRef]
- Reed, M.S. Stakeholder participation for environmental management: A literature review. Biol. Conserv. 2008, 141, 2417–2431. [Google Scholar] [CrossRef]
- O’Faircheallaigh, C. Public participation and environmental impact assessment: Purposes, implications, and lessons for public policy making. Environ. Impact Assess. Rev. 2010, 30, 19–27. [Google Scholar] [CrossRef]
- Kellert, S.R. The Value of Life: Biological Diversity and Human Society; Island Press: Washington, DC, USA, 1996. [Google Scholar]
- Wandersee, J.H.; Schussler, E.E. Preventing plant blindness. Am. Biol. Teach. 1999, 61, 82–86. [Google Scholar] [CrossRef]
- Parsley, K.M. Plant awareness disparity: A case for renaming plant blindness. Plants People Planet 2020, 2, 598–601. [Google Scholar] [CrossRef]
- Wandersee, J.H.; Schussler, E. Toward a theory of plant blindness. Plant Sci. Bull. 2001, 47, 2–9. [Google Scholar]
- Parsley, K.M.; Daigle, B.J.; Sabel, J.L. Initial development and validation of the plant awareness disparity index. CBE Life Sci. Educ. 2022, 21, ar64. [Google Scholar] [CrossRef] [PubMed]
- Pany, P.; Meier, F.D.; Dünser, B.; Yanagida, T.; Kiehn, M.; Möller, A. Measuring students’ plant awareness: A prerequisite for effective botany education. J. Biol. Educ. 2022, 58, 1103–1116. [Google Scholar] [CrossRef]
- Amprazis, A.; Papadopoulou, P. Plant awareness: At the dawn of a new era. J. Biol. Educ. 2024, 1–11. [Google Scholar] [CrossRef]
- Sanders, D.; Nyberg, E.; Brkovic, I. Putting plants in the picture. Environ. Educ. Res. 2024, 31, 1–10. [Google Scholar] [CrossRef]
- Balding, M.; Williams, K.J. Plant blindness and the implications for plant conservation. Conserv. Biol. 2016, 30, 1192–1199. [Google Scholar] [CrossRef] [PubMed]
- Prokop, P.; Masarovič, R.; Hajdúchová, S.; Ježová, Z.; Zvaríková, M.; Fedor, P. Prioritisation of charismatic animals in major conservation journals measured by the altmetric attention score. Sustainability 2022, 14, 17029. [Google Scholar] [CrossRef]
- Adamo, M.; Chialva, M.; Calevo, J.; Bertoni, F.; Dixon, K.; Mammola, S. Plant scientists’ research attention is skewed towards colourful, conspicuous and broadly distributed flowers. Nat. Plants 2021, 7, 574–578. [Google Scholar] [CrossRef]
- Martín-López, B.; Montes, C.; Benayas, J. The non-economic motives behind the willingness to pay for biodiversity conservation. Biol. Conserv. 2007, 139, 67–82. [Google Scholar] [CrossRef]
- Fančovičová, J.; Prokop, P.; Kubíčková, M. The effect of aposematic signals of plants on students’ perception and willingness to protect them. Sustainability 2022, 14, 9121. [Google Scholar] [CrossRef]
- Lipták, B.; Kouba, A.; Patoka, J.; Paunović, M.; Prokop, P. Biological invasions and invasive species in freshwaters: Perception of the general public. Hum. Dimens. Wildl. 2024, 29, 48–63. [Google Scholar] [CrossRef]
- Lipták, B.; Kouba, A.; Zorić, K.; Salvaras, L.; Prokop, P.; Paunović, M. The Attractiveness of Freshwater Species Correlates Positively with Conservation Support. Anthrozoös 2023, 36, 971–984. [Google Scholar] [CrossRef]
- Colléony, A.; Clayton, S.; Couvet, D.; Saint Jalme, M.; Prévot, A.C. Human preferences for species conservation: Animal charisma trumps endangered status. Biol. Conserv. 2017, 206, 263–269. [Google Scholar] [CrossRef]
- Landová, E.; Poláková, P.; Rádlová, S.; Janovcová, M.; Bobek, M.; Frynta, D. Beauty ranking of mammalian species kept in the Prague Zoo: Does beauty of animals increase the respondents’ willingness to protect them? Sci. Nat. 2018, 105, 69. [Google Scholar] [CrossRef] [PubMed]
- Castillo-Huitrón, N.M.; Naranjo, E.J.; Santos-Fita, D.; Estrada-Lugo, E. The importance of human emotions for wildlife conservation. Front. Psychol. 2020, 11, 1277. [Google Scholar] [CrossRef]
- Kinchin, I.M. Investigating secondary-school girls’ preferences for animals or plants: A simple ‘head-to-head’ comparison using two unfamiliar organisms. J. Biol. Educ. 1999, 33, 95–99. [Google Scholar]
- Lindemann-Matthies, P. ‘Loveable’ mammals and ‘lifeless’ plants: How children’s interest in common local organisms can be enhanced through observation of nature. Int. J. Sci. Educ. 2005, 27, 655–677. [Google Scholar] [CrossRef]
- Guerra, S.; Betti, S.; Sartori, L.; Zani, G.; Castiello, U. Plant awareness in the hand. J. Environ. Psychol. 2024, 94, 102246. [Google Scholar] [CrossRef]
- Soga, M.; Tsuchiya, K.; Evans, M.J.; Ishibashi, S. The inequalities of the extinction of experience: The role of personal characteristics and species traits in the distribution of people–plant interactions in Japan. Ecol. Res. 2019, 34, 350–359. [Google Scholar] [CrossRef]
- Stroud, S.; Fennell, M.; Mitchley, J.; Lydon, S.; Peacock, J.; Bacon, K.L. The botanical education extinction and the fall of plant awareness. Ecol. Evol. 2022, 12, e9019. [Google Scholar] [CrossRef]
- Querol i Mercadé, J.; Fernandez-Llamazares, Á.; Garnatje, T.; Casadevall, A.; Garet, A.; Gallois, S. Beyond plant awareness disparity: Exploring intangible relationships with plants in the Catalan Pyrenees. Plants People Planet 2024. [Google Scholar] [CrossRef]
- Balas, B.; Momsen, J.L. Attention “blinks” differently for plants and animals. CBE Life Sci. Educ. 2014, 13, 437–443. [Google Scholar] [CrossRef] [PubMed]
- Kanske, P.; Schönfelder, S.; Wessa, M. Emotional modulation of the attentional blink and the relation to interpersonal reactivity. Front. Hum. Neurosci. 2013, 7, 641. [Google Scholar] [CrossRef] [PubMed]
- Zani, G.; Low, J. Botanical priming helps overcome plant blindness on a memory task. J. Environ. Psychol. 2022, 81, 101808. [Google Scholar] [CrossRef]
- Schussler, E.E.; Olzak, L.A. It’s not easy being green: Student recall of plant and animal images. J. Biol. Educ. 2008, 42, 112–119. [Google Scholar] [CrossRef]
- Haviland-Jones, J.; Rosario, H.H.; Wilson, P.; McGuire, T.R. An environmental approach to positive emotion: Flowers. Evol. Psychol. 2005, 3, 147470490500300109. [Google Scholar] [CrossRef]
- Hůla, M.; Flegr, J. What flowers do we like? The influence of shape and color on the rating of flower beauty. PeerJ 2016, 4, e2106. [Google Scholar] [CrossRef] [PubMed]
- Prokop, P.; Belzárová, K.; Tomanová Čergeťová, I. Compassion and the perceived rarity of plants can increase plant appreciation. People Nat. 2025; in press. [Google Scholar]
- Brkovic, I.; Sanders, D.; Nyberg, E. Investigating plant awareness: Methodologies, challenges and possibilities. Plants People Planet 2024. [Google Scholar] [CrossRef]
- Stagg, B.C.; Hetherington, L.; Dillon, J. Towards a model of plant awareness in education: A literature review and framework proposal. Int. J. Sci. Educ. 2024, 1–21. [Google Scholar] [CrossRef]
- Stagg, B.C.; Dillon, J. Plant awareness is linked to plant relevance: A review of educational and ethnobiological literature (1998–2020). Plants People Planet 2022, 4, 579–592. [Google Scholar] [CrossRef]
- Ward, J.R.; Clarke, H.D.; Horton, J.L. Effects of a research-infused botanical curriculum on undergraduates’ content knowledge, STEM competencies, and attitudes toward plant sciences. CBE Life Sci. Educ. 2014, 13, 387–396. [Google Scholar] [CrossRef] [PubMed]
- Lohr, V.I.; Pearson-Mims, C.H. Children’s active and passive interactions with plants influence their attitudes and actions toward trees and gardening as adults. HortTechnology 2005, 15, 472–476. [Google Scholar] [CrossRef]
- Fančovičová, J.; Prokop, P. Plants have a chance: Outdoor educational programmes alter students’ knowledge and attitudes towards plants. Environ. Educ. Res. 2011, 17, 537–551. [Google Scholar] [CrossRef]
- Strgar, J. Increasing the interest of students in plants. J. Biol. Educ. 2007, 42, 19–23. [Google Scholar] [CrossRef]
- Krosnick, S.E.; Baker, J.C.; Moore, K.R. The Pet Plant Project: Treating plant blindness by making plants personal. Am. Biol. Teach. 2018, 80, 339–345. [Google Scholar] [CrossRef]
- Amprazis, A.; Papadopoulou, P. Plant blindness: A faddish research interest or a substantive impediment to achieve sustainable development goals? Environ. Educ. Res. 2020, 26, 1065–1087. [Google Scholar] [CrossRef]
- Schönfelder, M.L.; Bogner, F.X. How to sustainably increase students’ willingness to protect pollinators. Environ. Educ. Res. 2018, 24, 461–473. [Google Scholar] [CrossRef]
- Prokop, P.; Fančovičová, J. Enhancing attention and interest in plants to mitigate plant awareness disparity. Plants 2023, 12, 2201. [Google Scholar] [CrossRef] [PubMed]
- Kellert, S.R. Values and perceptions of invertebrates. Conserv. Biol. 1993, 7, 845–855. [Google Scholar] [CrossRef]
- Polák, J.; Rádlová, S.; Janovcová, M.; Flegr, J.; Landová, E.; Frynta, D. Scary and nasty beasts: Self-reported fear and disgust of common phobic animals. Br. J. Psychol. 2020, 111, 297–321. [Google Scholar] [CrossRef]
- Fukano, Y.; Soga, M. Why do so many modern people hate insects? The urbanization–disgust hypothesis. Sci. Total Environ. 2021, 777, 146229. [Google Scholar] [CrossRef]
- Gunnthorsdottir, A. Physical attractiveness of an animal species as a decision factor for its preservation. Anthrozoös 2001, 14, 204–215. [Google Scholar] [CrossRef]
- Harnish, R.J.; Nataraajan, R.; Tarka, P.; Slack, F.J. Attitudes toward protecting endangered species: The impact of perceived physical attractiveness of animals and political ideology. Psychol. Mark. 2023, 40, 73–88. [Google Scholar] [CrossRef]
- The Jamovi Project. Jamovi (Version 2.5) [Computer Software]. 2024. Available online: https://www.jamovi.org (accessed on 20 November 2024).
- New, J.; Cosmides, L.; Tooby, J. Category-specific attention for animals reflects ancestral priorities, not expertise. Proc. Natl. Acad. Sci. USA 2007, 104, 16598–16603. [Google Scholar] [CrossRef] [PubMed]
- Lückmann, K.; Menzel, S. Herbs versus trees: Influences on teenagers’ knowledge of plant species. J. Biol. Educ. 2014, 48, 80–90. [Google Scholar] [CrossRef]
- Prokop, P.; Zvaríková, M.; Zvarík, M.; Ježová, Z.; Fedor, P. Charismatic species should be large: The role of admiration and fear. People Nat. 2024, 6, 945–957. [Google Scholar] [CrossRef]
- Miralles, A.; Raymond, M.; Lecointre, G. Empathy and compassion toward other species decrease with evolutionary divergence time. Sci. Rep. 2019, 9, 19555. [Google Scholar] [CrossRef]
- Hall, D.M.; Martins, D.J. Human dimensions of insect pollinator conservation. Curr. Opin. Insect Sci. 2020, 38, 107–114. [Google Scholar] [CrossRef] [PubMed]
- Kubiatko, M.; Fančovičová, J.; Prokop, P. Factual knowledge of students about plants is associated with attitudes and interest in botany. Int. J. Sci. Educ. 2021, 43, 1426–1440. [Google Scholar] [CrossRef]
- Wiegand, F.; Kubisch, A.; Heyne, T. Out-of-school learning in the botanical garden: Guided or self-determined learning at workstations? Stud. Educ. Eval. 2013, 39, 161–168. [Google Scholar] [CrossRef]
- Palmberg, I.; Berg, I.; Jeronen, E.; Kärkkäinen, S.; Norrgård-Sillanpää, P.; Persson, C.; Vilkonis, R.; Yli-Panula, E. Nordic-Baltic student teachers’ identification of and interest in plant and animal species: The importance of species identification and biodiversity for sustainable development. J. Sci. Teach. Educ. 2015, 26, 549–571. [Google Scholar] [CrossRef]
- Fančovičová, J.; Prokop, P. Development and initial psychometric assessment of the plant attitude questionnaire. J. Sci. Educ. Technol. 2010, 19, 415–421. [Google Scholar] [CrossRef]
- Li, Y.; Wang, B.; Saechang, O. Is female a more pro-environmental gender? Evidence from China. Int. J. Environ. Res. Public Health 2022, 19, 8002. [Google Scholar] [CrossRef]
- Dhenge, S.A.; Ghadge, S.N.; Ahire, M.C.; Gorantiwar, S.D.; Shinde, M.G. Gender attitude towards environmental protection: A comparative survey during COVID-19 lockdown situation. Environ. Dev. Sustain. 2022, 24, 13841–13886. [Google Scholar] [CrossRef]
- Link-Perez, M.A.; Dollo, V.H.; Weber, K.M.; Schussler, E.E. What’s in a Name: Differential Labelling of Plant and Animal Photographs in Two Nationally Syndicated Elementary Science Textbook Series. Int. J. Sci. Educ. 2010, 32, 1227–1242. [Google Scholar] [CrossRef]
- Ulbig, S.G. A picture is worth what? Using visual images to enhance classroom engagement. Int. J. Instr. Media 2010, 37, 185–201. [Google Scholar]
- Broer, P.N.; Juran, S.; Liu, Y.J.; Weichman, K.; Tanna, N.; Walker, M.E.; Persing, J.A. The impact of geographic, ethnic, and demographic dynamics on the perception of beauty. J. Craniofacial Surg. 2014, 25, e157–e161. [Google Scholar] [CrossRef] [PubMed]
- Hill, R.; Nates-Parra, G.; Quezada-Euán JJ, G.; Buchori, D.; LeBuhn, G.; Maués, M.M.; Pert, P.L.; Kwapong, P.K.; Saeed, S.; Breslow, S.J.; et al. Biocultural approaches to pollinator conservation. Nat. Sustain. 2019, 2, 214–222. [Google Scholar] [CrossRef]
- Boso, À.; Álvarez, B.; Pérez, B.; Imio, J.C.; Altamirano, A.; Lisón, F. Understanding human attitudes towards bats and the role of information and aesthetics to boost a positive response as a conservation tool. Anim. Conserv. 2021, 24, 937–945. [Google Scholar] [CrossRef]
- Baldock, K.C.R.; Goddard, M.A.; Hicks, D.M.; Kunin, W.E.; Mitschunas, N.; Morse, H.; Osgathorpe, L.M.; Potts, S.G.; Robertson, K.M.; Scott, A.V.; et al. A systems approach reveals urban pollinator hotspots and conservation opportunities. Nat. Ecol. Evol. 2019, 3, 363–373. [Google Scholar] [CrossRef] [PubMed]
- Bueddefeld, J.; Ostrem, J.; Murphy, M.; Halpenny, E.; Orr, B. Petting bees or building bee boxes? Strategies for transformative learning. Environ. Educ. Res. 2022, 28, 560–580. [Google Scholar] [CrossRef]
- Knapp, J.L.; Phillips, B.B.; Clements, J.; Shaw, R.F.; Osborne, J.L. Socio-psychological factors, beyond knowledge, predict people’s engagement in pollinator conservation. People Nat. 2021, 3, 204–220. [Google Scholar] [CrossRef]




| Species Name | Tree/Shrub/Herbaceous | Described by | |
|---|---|---|---|
| Plants alone | Hybrid Fuchsia (Fuchsia hybrida) | Shrub | Ch. Plumier, 1696–1697 |
| Gray’s Lobelia (Lobelia grayana) | Shrub | E. Wimm., 1948 | |
| Durian nyekak (Durio kutejensis) | Tree | G. de Orta, 1563 | |
| Candlestick Banksia (Banksia attenuata) | Tree | R. Brown, 1810 | |
| Common yarrow (Achillea millefolium) n | Herbaceous | C. Linné, 1753 | |
| Wall hawkweed (Hieracium murorum) n | Herbaceous | J. Loudon, 1829 | |
| Purple coneflower (Echinacea purpurea) | Herbaceous | C. Moench, 1794 | |
| Wood cranesbill (Geranium sylvaticum) n | Herbaceous | W. Withering, 1796 | |
| Invertebrate/Vertebrate | |||
| Pollinators alone | Rufous hummingbird (Selasphorus rufus) | Vertebrate | J. F. Gmenil, 1788 |
| Scarlet honeycreeper (Vestiaria coccinea) | Vertebrate | G. Forster, 1780 | |
| Cave nectar bat (Eonycteris spelaea) | Vertebrate | G. E. Dobson, 1871 | |
| Honey possum (Tarsipes rostratus) | Vertebrate | P. Gervais & J. Verreaux, 1842 | |
| Bee-eating beetle (Trichodes apiarius) n | Invertebrate | C. Linné, 1758 | |
| Summer butterbur blacket (Cheilosia canicularis) n | Invertebrate | G. W. F. Panzer, 1801 | |
| Monarch butterfly (Danaus plexippus) | Invertebrate | C. Linné, 1758 | |
| Honey bee (Apis mellifera) n | Invertebrate | C. Linné, 1758 | |
| Plants with Pollinators | Hybrid Fuchsia/Rufous hummingbird | - | - |
| Gray’s Lobelia/Scarlet honeycreeper | - | - | |
| Durian nyekak/Cave nectar bat | - | - | |
| Candlestick Banksia/Honey possum | - | - | |
| Common yarrow/Bee-eating beetle | - | - | |
| Wall hawkweed/Summer butterbur blacket | - | - | |
| Purple coneflower/Monarch butterfly | - | - | |
| Wood cranesbill/Honey bee | - | - |
| X2 | df | p | |
|---|---|---|---|
| Attractiveness | 1553.895 | 1.00 | <0.001 |
| Age | 0.864 | 1.00 | 0.353 |
| SDA | 121.458 | 2.00 | <0.001 |
| Sex | 1.612 | 1.00 | 0.204 |
| SDA × Sex | 9.378 | 2.00 | 0.009 |
| X2 | df | p | |
|---|---|---|---|
| SDA | 50.706 | 2.00 | <0.001 |
| Sex | 0.049 | 1.00 | 0.826 |
| Age | 0.283 | 1.00 | 0.595 |
Disclaimer/Publisher’s Note: The statements, opinions and data contained in all publications are solely those of the individual author(s) and contributor(s) and not of MDPI and/or the editor(s). MDPI and/or the editor(s) disclaim responsibility for any injury to people or property resulting from any ideas, methods, instructions or products referred to in the content. |
© 2025 by the authors. Licensee MDPI, Basel, Switzerland. This article is an open access article distributed under the terms and conditions of the Creative Commons Attribution (CC BY) license (https://creativecommons.org/licenses/by/4.0/).
Share and Cite
Prokop, P.; Todáková, S.; Fančovičová, J. Beauty Bias? Exploring the Influence of Attractiveness on Conservation Intentions for Plants and Their Pollinators. Diversity 2025, 17, 71. https://doi.org/10.3390/d17010071
Prokop P, Todáková S, Fančovičová J. Beauty Bias? Exploring the Influence of Attractiveness on Conservation Intentions for Plants and Their Pollinators. Diversity. 2025; 17(1):71. https://doi.org/10.3390/d17010071
Chicago/Turabian StyleProkop, Pavol, Simona Todáková, and Jana Fančovičová. 2025. "Beauty Bias? Exploring the Influence of Attractiveness on Conservation Intentions for Plants and Their Pollinators" Diversity 17, no. 1: 71. https://doi.org/10.3390/d17010071
APA StyleProkop, P., Todáková, S., & Fančovičová, J. (2025). Beauty Bias? Exploring the Influence of Attractiveness on Conservation Intentions for Plants and Their Pollinators. Diversity, 17(1), 71. https://doi.org/10.3390/d17010071

