Spatial Distribution Patterns of Herbaceous Vegetation Diversity and Environmental Drivers in the Subalpine Ecosystem of Anyemaqen Mountains, Qinghai Province, China
Abstract
1. Introduction
2. Materials and Methods
2.1. Study Area Overview
2.2. Data Collection
2.2.1. Plot Survey
2.2.2. Data Measurement
2.3. Data Analysis
2.3.1. Calculation of Diversity Indices
2.3.2. Statistical Analysis Method
3. Results
3.1. Distribution of Herbaceous Along Elevations on Different Slope Directions
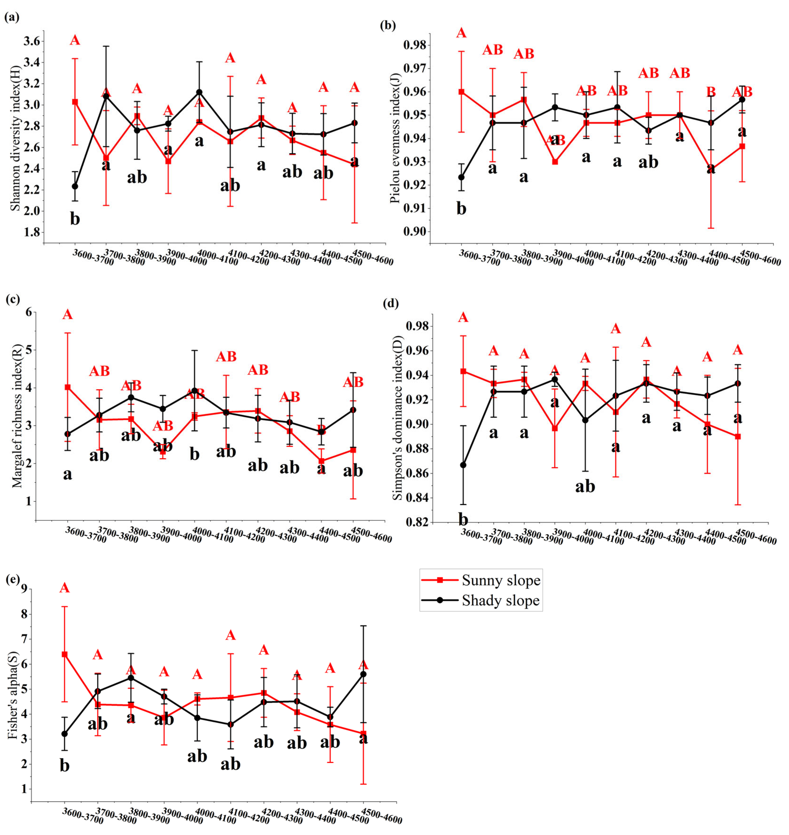
3.2. Variation of Herbaceous Vegetation Diversity in Different Slope Directions with Elevation Gradient
3.3. Variation of Herbaceous Vegetation Regeneration in Different Slope Direction with Elevation Gradient
3.4. Effects of Environmental Factors on the Distribution of Herbaceous Vegetation in Different Slope Directions
4. Discussion
4.1. Differences in Herbaceous Plants Between Sunny and Shady Slopes
4.2. Comparative Analysis of Herbaceous Vegetation on Sunny and Shady Slopes Under Different Elevation Gradients
4.3. Changes in Herbaceous Vegetation Diversity Index on Sunny and Shady Slopes Under Different Elevation Gradients
4.4. Influence of Environmental Factors on the Distribution Pattern of Herbaceous Vegetation
5. Conclusions
Supplementary Materials
Author Contributions
Funding
Data Availability Statement
Acknowledgments
Conflicts of Interest
References
- Chao, A.; Chiu, C.-H.; Jost, L. Unifying Species Diversity, Phylogenetic Diversity, Functional Diversity, and Related Similarity and Differentiation Measures Through Hill Numbers. Annu. Rev. Ecol. Evol. Syst. 2014, 45, 297–324. [Google Scholar] [CrossRef]
- Sterner, R.W.; Ribic, C.A.; Schatz, G.E. Testing for life historical changes in spatial patterns of four tropical tree species. J. Ecol. 1986, 74, 621–633. [Google Scholar] [CrossRef]
- Joos, O.; Hagedorn, F.; Heim, A.; Gilgen, A.K.; Schmidt, M.W.I.; Siegwolf, R.T.W.; Buchmann, N. Summer drought reduces total and litter-derived soil CO2 effluxes in temperate grassland—Clues from a 13C litter addition experiment. Biogeosciences 2010, 7, 1031–1041. [Google Scholar] [CrossRef]
- Wilcox, K.R.; Chen, A.; Avolio, M.L.; Butler, E.E.; Collins, S.; Fisher, R.; Keenan, T.; Kiang, N.Y.; Knapp, A.K.; Koerner, S.E.; et al. Accounting for herbaceous communities in process-based models will advance our understanding of “grassy” ecosystems. Glob. Change Biol. 2023, 29, 6453–6477. [Google Scholar] [CrossRef] [PubMed]
- Wallace, K.J.; Laughlin, D.C.; Clarkson, B.D.; Schipper, L.A. Forest canopy restoration has indirect effects on litter decomposition and no effect on denitrification. Ecosphere 2018, 9, e02534. [Google Scholar] [CrossRef]
- Liang, W.; Wei, X. Relationships between ecosystems above and below ground including forest structure, herb diversity and soil properties in the mountainous area of Northern China. Glob. Ecol. Conserv. 2020, 24, e01228. [Google Scholar] [CrossRef]
- Tian, K.; Chai, P.; Wang, Y.; Chen, L.; Qian, H.; Chen, S.; Mi, X.; Ren, H.; Ma, K.; Chen, J. Species diversity pattern and its drivers of the understory herbaceous plants in a Chinese subtropical forest. Front. Ecol. Evol. 2023, 10, 1113742. [Google Scholar] [CrossRef]
- Ma, W.; Shi, P.; Li, W.; He, Y.; Zhang, X.; Shen, Z.; Chai, S. Changes in individual plant traits and biomass allocation in alpine meadow with elevation variation on the Qinghai-Tibetan Plateau. Sci. China-Life Sci. 2010, 53, 1142–1151. [Google Scholar] [CrossRef]
- Li, Q.; Li, F.; Guo, J.; Guo, L.; Wang, S.; Zhang, Y.; Li, M.; Zhang, C. The Synergistic Effect of Topographic Factors and Vegetation Indices on the Underground Coal Mine Utilizing Unmanned Aerial Vehicle Remote Sensing. Int. J. Environ. Res. Public Health 2023, 20, 3759. [Google Scholar] [CrossRef]
- Huo, H.; Feng, Q.; Su, Y.-h. The Influences of Canopy Species and Topographic Variables on Understory Species Diversity and Composition in Coniferous Forests. Sci. World J. 2014, 2014, 252489. [Google Scholar] [CrossRef]
- Sipos, J.; Chudomelova, M.; Vild, O.; Macek, M.; Kopecky, M.; Szabo, P.; Hedl, R. Plant diversity in deciduous temperate forests reflects interplay among ancient and recent environmental stress. J. Veg. Sci. 2020, 31, 53–62. [Google Scholar] [CrossRef]
- Jiang, Y.; Kang, M.; Zhu, Y.; Xu, G. Plant biodiversity patterns on helan mountain, China. Acta Oecologica-Int. J. Ecol. 2007, 32, 125–133. [Google Scholar] [CrossRef]
- Wang, W.; He, Z.; Du, J.; Ma, D.; Zhao, P. Altitudinal patterns of species richness and flowering phenology in herbaceous community in Qilian Mountains of China. Int. J. Biometeorol. 2022, 66, 741–751. [Google Scholar] [CrossRef] [PubMed]
- Xu, M.; Li, X.; Liu, M.; Shi, Y.; Zhou, H.; Zhang, B.; Yan, J. Spatial variation patterns of plant herbaceous community response to warming along latitudinal and altitudinal gradients in mountainous forests of the Loess Plateau, China. Environ. Exp. Bot. 2020, 172, 103983. [Google Scholar] [CrossRef]
- Carbognani, M.; Tomaselli, M.; Petraglia, A. Different temperature perception in high-elevation plants: New insight into phenological development and implications for climate change in the alpine tundra. Oikos 2018, 127, 1014–1023. [Google Scholar] [CrossRef]
- Cornelius, C.; Leingaertner, A.; Hoiss, B.; Krauss, J.; Steffan-Dewenter, I.; Menzel, A. Phenological response of grassland species to manipulative snowmelt and drought along an altitudinal gradient. J. Exp. Bot. 2013, 64, 241–251. [Google Scholar] [CrossRef]
- Sandanov, D.V.; Liu, Y.; Wang, Z.; Korolyuk, A.Y. Woody and Herbaceous Plants of Inner Asia: Species Richness and Ecogeorgraphic Patterns. Contemp. Probl. Ecol. 2020, 13, 360–369. [Google Scholar] [CrossRef]
- Herzschuh, U.; Birks, H.J.B.; Ni, J.; Zhao, Y.; Liu, H.; Liu, X.; Grosse, G. Holocene land-cover changes on the Tibetan Plateau. Holocene 2010, 20, 91–104. [Google Scholar] [CrossRef]
- Duan, H.; Xue, X.; Wang, T.; Kang, W.; Liao, J.; Liu, S. Spatial and Temporal Differences in Alpine Meadow, Alpine Steppe and All Vegetation of the Qinghai-Tibetan Plateau and Their Responses to Climate Change. Remote Sens. 2021, 13, 669. [Google Scholar] [CrossRef]
- Wang, T.; Huang, X.; Zhang, J.; Luo, D.; Zheng, M.; Xiang, L.; Sun, M.; Ren, X.; Sun, Y.; Zhang, S. Vegetation cover dynamics on the northeastern Qinghai-Tibet Plateau since late Marine Isotope Stage 3. Quat. Sci. Rev. 2023, 318, 108292. [Google Scholar] [CrossRef]
- Li, K.-j.; Cao, B.; Guan, W.-j.; Pan, B.-t.; Shangguan, D.-h. Reconstructed annual glacier surface mass balance in the anyemaqen Mountains, Yellow River source, based on snow line altitude. J. Mt. Sci. 2022, 19, 1070–1081. [Google Scholar] [CrossRef]
- Fang, K.; Gou, X.; Chen, F.; Peng, J.; D’Arrigo, R.; Wright, W.; Li, M.-H. Response of regional tree-line forests to climate change: Evidence from the northeastern Tibetan Plateau. Trees-Struct. Funct. 2009, 23, 1321–1329. [Google Scholar] [CrossRef]
- Peng, J.; Gou, X.; Chen, F.; Li, J.; Liu, P.; Zhang, Y.; Fang, K. Difference in tree growth responses to climate at the upper treeline: Qilian Juniper in the Anyemaqen Mountains. J. Integr. Plant Biol. 2008, 50, 982–990. [Google Scholar] [CrossRef] [PubMed]
- Peng, J.-f.; Gou, X.-h.; Chen, F.-h.; Fang, K.-y. Climate-growth relationships of Qilian juniper Sabina przewalskii in the Anyemaqen Mountains, Tibet. Clim. Res. 2010, 41, 31–40. [Google Scholar] [CrossRef]
- Elsobeiey, M.; Al-Harbi, S. Performance of real-time Precise Point Positioning using IGS real-time service. GPS Solut. 2016, 20, 565–571. [Google Scholar] [CrossRef]
- Cinque, D.; Saccone, M.; Capua, R.; Spina, D.; Falcolini, C.; Gabriele, S. Experimental Validation of a High Precision GNSS System for Monitoring of Civil Infrastructures. Sustainability 2022, 14, 10984. [Google Scholar] [CrossRef]
- Renschler, C.S.; Flanagan, D.C.; Engel, B.A.; Kramer, L.A.; Sudduth, K.A. Site-specific decision-making based on RTK GPS survey and six alternative elevation data sources: Watershed topography and delineation. Trans. ASAE 2002, 45, 1883–1895. [Google Scholar] [CrossRef][Green Version]
- Zhang, G.Y. A Parametric Bootstrap Approach for One-Way ANOVA Under Unequal Variances with Unbalanced Data. Commun. Stat.-Simul. Comput. 2015, 44, 827–832. [Google Scholar] [CrossRef]
- ter Braak, C.J.F. Redundancy analysis includes analysis of variance-simultaneous component analysis (ASCA) and outperforms its extensions. Chemom. Intell. Lab. Syst. 2023, 240, 104898. [Google Scholar] [CrossRef]
- Ushakov, N.G.; Ushakov, V.G. On sensitivity of exponentiality tests to data rounding: A Monte Carlo simulation study. Commun. Stat.-Simul. Comput. 2023, 52, 6225–6234. [Google Scholar] [CrossRef]
- Wu, H.F.; Gao, T.; Zhang, W.; Li, G.; Hao, W.F. Understory Vegetation Composition and Stand Are Mainly Limited by Soil Moisture in Black Locust Plantations of Loess Plateau. Forests 2021, 12, 195. [Google Scholar] [CrossRef]
- Adám, R.; Odor, P.; Bölöni, J. The effects of stand characteristics on the understory vegetation in Quercus petraea and Q. cerris dominated forests. Community Ecol. 2013, 14, 101–109. [Google Scholar] [CrossRef]
- Huh, M.-H. Arrow Diagrams for Kernel Principal Component Analysis. Commun. Stat. Appl. Methods 2013, 20, 175–184. [Google Scholar] [CrossRef]
- Wang, J.-T.; Zheng, Y.-M.; Hu, H.-W.; Li, J.; Zhang, L.-M.; Chen, B.-D.; Chen, W.-P.; He, J.-Z. Coupling of soil prokaryotic diversity and plant diversity across latitudinal forest ecosystems. Sci. Rep. 2016, 6, 19561. [Google Scholar] [CrossRef]
- Gilliam, F.S. The ecological significance of the herbaceous layer in temperate forest ecosystems. Bioscience 2007, 57, 845–858. [Google Scholar] [CrossRef]
- Yang, H.; Yu, X.J.; Song, J.C.; Wu, J.S. Artemisia smithii patches form fertile islands and lead to heterogeneity of soil bacteria and fungi within and around the patches in alpine meadows of the Qinghai-Tibetan Plateau. Front. Plant Sci. 2024, 15, 1411839. [Google Scholar] [CrossRef]
- Ni, X.N.; Guo, W.; Liu, T.; Li, S.H.; Zhang, J.Z. Long-Term Effects of Altered Precipitation Patterns on Alpine Vegetation Species Composition on the Qinghai-Tibet Plateau. Forests 2023, 14, 47. [Google Scholar] [CrossRef]
- Nan, J.; Chao, L.M.; Ma, X.D.; Xu, D.L.; Mo, L.; Zhang, X.D.; Zhao, X.P.; Bao, Y.Y. Microbial diversity in the rhizosphere soils of three Stipa species from the eastern Inner Mongolian grasslands. Glob. Ecol. Conserv. 2020, 22, e00992. [Google Scholar] [CrossRef]
- Han, J.H.; Yin, H.Y.; Xue, J.; Zhang, Z.W.; Xing, Z.; Wang, S.K.; Chang, J.J.; Chen, X.Q.; Yu, B. Vertical distribution differences of the understory herbs and their driving factors on shady and sunny slopes in high altitude mountainous areas. Front. For. Glob. Change 2023, 6, 1138317. [Google Scholar] [CrossRef]
- Peng, J.F.; Cui, J.Y.; Li, J.B.; Peng, M.; Ma, Y.T.; Wei, X.X.; Li, J.K.; Li, X.; Liu, Y.M.; Li, J.X. Microenvironmental effects on growth response of Pinus massoniana to climate at its northern boundary in the Tongbai Mountains, Central China. J. For. Res. 2024, 35, 26. [Google Scholar] [CrossRef]
- Cui, B.S.; Zhai, H.J.; Dong, S.K.; Chen, B.; Liu, S.L. Multivariate analysis of the effects of edaphic and topographical factors on plant distribution in the Yilong Lake Basin of Yun-Gui Plateau, China. Can. J. Plant Sci. 2009, 89, 209–219. [Google Scholar] [CrossRef]
- Wu, Y.; Jia, G.; Yu, X.; Rao, H.; Peng, X.; Wang, Y.; Wang, Y.; Wang, X. Response of soil nutrients and erodibility to slope aspect in the northern agro-pastoral ecotone, China. Soil 2024, 10, 61–75. [Google Scholar] [CrossRef]
- Xue, R.; Yang, Q.; Miao, F.; Wang, X.; Shen, Y. Slope aspect influences plant biomass, soil properties and microbial composition in alpine meadow on the Qinghai-Tibetan Plateau. J. Soil Sci. Plant Nutr. 2018, 18, 1–12. [Google Scholar] [CrossRef]
- Qin, X.; Sun, J.; Wang, X. Plant coverage is more sensitive than species diversity in indicating the dynamics of the above-ground biomass along a precipitation gradient on the Tibetan Plateau. Ecol. Indic. 2018, 84, 507–514. [Google Scholar] [CrossRef]
- Ihaddaden, A.; Velazquez, E.; Maria Rey-Benayas, J.; Kadi-Hanifi, H. Climate and vegetation structure determine plant diversity in Quercus ilex woodlands along an aridity and human-use gradient in Northern Algeria. Flora 2013, 208, 268–284. [Google Scholar] [CrossRef]
- Bugno-Pogoda, A.; Durak, T. Climate and Management Factors Underlying Changes in Beech Forest Herbaceous Layer Plant Communities in the Polish Eastern Carpathians. Forests 2021, 12, 1446. [Google Scholar] [CrossRef]
- Berauer, B.J.; Wilfahrt, P.A.; Arfin-Khan, M.A.S.; Eibes, P.; Von Hessberg, A.; Ingrisch, J.; Schloter, M.; Schuchardt, M.A.; Jentsch, A. Low resistance of montane and alpine grasslands to abrupt changes in temperature and precipitation regimes. Arct. Antarct. Alp. Res. 2019, 51, 215–231. [Google Scholar] [CrossRef]
- Thakur, D.; Altman, J.; Jandova, V.; Fibich, P.; Muenzbergov, Z.; Dolezal, J. Global warming alters Himalayan alpine shrub growth dynamics and climate sensitivity. Sci. Total Environ. 2024, 916, 170252. [Google Scholar] [CrossRef]
- Huang, X.; An, R.; Wang, H.; Xing, F.; Wang, B.; Fan, M.; Fang, Y.; Lu, H. Differential effects of climatic and non-climatic factors on the distribution of vegetation phenology trends on the Tibetan plateau. Heliyon 2023, 9, e21069. [Google Scholar] [CrossRef]
- Muthulingam, U.; Thangavel, S. Density, diversity and richness of woody plants in urban green spaces: A case study in Chennai metropolitan city. Urban For. Urban Green. 2012, 11, 450–459. [Google Scholar] [CrossRef]
- Zhang, M.T.; Kang, X.G.; Meng, J.H.; Zhang, L.X. Distribution patterns and associations of dominant tree species in a mixed coniferous-broadleaf forest in the Changbai Mountains. J. Mt. Sci. 2015, 12, 659–670. [Google Scholar] [CrossRef]
- Wang, M.; Yang, J.; Gao, H.; Xu, W.; Dong, M.; Shen, G.; Xu, J.; Xu, X.; Xue, J.; Xu, C.-Y.; et al. Interspecific plant competition increases soil labile organic carbon and nitrogen contents. For. Ecol. Manag. 2020, 462, 117991. [Google Scholar] [CrossRef]
- Tao, J.; Xu, T.; Dong, J.; Yu, X.; Jiang, Y.; Zhang, Y.; Huang, K.; Zhu, J.; Dong, J.; Xu, Y.; et al. Elevation-dependent effects of climate change on vegetation greenness in the high mountains of southwest China during 1982–2013. Int. J. Climatol. 2018, 38, 2029–2038. [Google Scholar] [CrossRef]
- Gomez-Diaz, J.A.; Kroemer, T.; Kreft, H.; Gerold, G.; Isidro Carvajal-Hernandez, C.; Heitkamp, F. Diversity and composition of herbaceous angiosperms along gradients of elevation and forest-use intensity. PLoS ONE 2017, 12, e0182893. [Google Scholar] [CrossRef]
- Liu, J.; Jiang, B.; Yuan, W.; Jin, C.; Jiao, J.; Wang, Z.; Zhu, J.; Zhan, X.; Liu, J.; Wu, C. Socioeconomic and environmental factors jointly shape beta diversity of woody species in eastern China. Appl. Veg. Sci. 2022, 25, e12641. [Google Scholar] [CrossRef]
- Stein, A.; Gerstner, K.; Kreft, H. Environmental heterogeneity as a universal driver of species richness across taxa, biomes and spatial scales. Ecol. Lett. 2014, 17, 866–880. [Google Scholar] [CrossRef]
- Meng, Q.; Wang, S.; Fu, Z.; Deng, Y.; Chen, H. Soil types determine vegetation communities along a toposequence in a dolomite peak-cluster depression catchment. Plant Soil 2022, 475, 5–22. [Google Scholar] [CrossRef]
- Takahashi, K.; Murayama, Y. Effects of topographic and edaphic conditions on alpine plant species distribution along a slope gradient on Mount Norikura, central Japan. Ecol. Res. 2014, 29, 823–833. [Google Scholar] [CrossRef]
- Chen, L.-F.; Kong, J.-Q.; He, Z.-B.; Zhao, W.-Z.; Song, M.-D.; Li, Y.-M.; Gao, Y.; Yang, S.-P. A Fundamental Role of Slope Aspect and Elevation in Controlling Diversity Patterns of Soil Bacterial Communities: Insights from an Arid-Montane Ecosystem in China. J. Soil Sci. Plant Nutr. 2022, 22, 3996–4007. [Google Scholar] [CrossRef]
- Alberto Gallardo-Cruz, J.; Perez-Garcia, E.A.; Meave, J.A. β-Diversity and vegetation structure as influenced by slope aspect and altitude in a seasonally dry tropical landscape. Landsc. Ecol. 2009, 24, 473–482. [Google Scholar] [CrossRef]
- Wang, P.; Yu, H.; Xiao, H.; Wan, J.; Ma, Q.; Tao, G.; Wang, Q.; Jiang, W.; Ma, L. Effects of habitat factors on the plant diversity on naturally-restored wind farm slopes. Peerj 2023, 11, e14912. [Google Scholar] [CrossRef] [PubMed]
- Zhang, J.-T.; Zhang, F. Ecological relations between forest communities and environmental variables in the Lishan Mountain Nature Reserve, China. Afr. J. Agric. Res. 2011, 6, 248–259. [Google Scholar]
- Zhao, J.; Yang, W.; Tian, L.; Qu, G.; Wu, G.-L. Warming differentially affects above- and belowground ecosystem functioning of the semi-arid alpine grasslands. Sci. Total Environ. 2024, 914, 170061. [Google Scholar] [CrossRef]
- Yu, S.; Liu, X.; Chen, X.; Sun, M.; Cao, Y.; Hu, J.; Yang, L.; Hu, J. Effects of shrub encroachment on grassland community and soil nutrients among three typical shrubby grasslands in the alpine subhumid region of the Qinghai-Tibet Plateau, China. Front. Ecol. Evol. 2022, 10, 1068200. [Google Scholar] [CrossRef]
- Li, K.; Zhang, M.; Li, Y.; Xing, X.; Fan, S.; Cao, Y.; Dong, L.; Chen, D. Karren Habitat as the Key in Influencing Plant Distribution and Species Diversity in Shilin Geopark, Southwest China. Sustainability 2020, 12, 5808. [Google Scholar] [CrossRef]






| Environmental Factors | Sunny Slope | Shady Slope | ||||||
|---|---|---|---|---|---|---|---|---|
| RDA1 | RDA2 | r2 | pr | RDA1 | RDA2 | r2 | pr | |
| Elevation | 0.83440 | −0.55116 | 0.83760 | 0.001 *** | 0.99998 | 0.00554 | 0.73330 | 0.001 *** |
| Gradient | −0.64301 | −0.76586 | 0.37200 | 0.003 ** | −0.29311 | 0.95608 | 0.64660 | 0.001 *** |
| ST | −0.36967 | 0.92916 | 0.10850 | 0.119 | −0.36967 | 0.19594 | 0.22150 | 0.041 * |
| SP | −0.82495 | −0.56521 | 0.10570 | 0.218 | −0.03056 | 0.99953 | 0.17190 | 0.079 |
| Coverage | −0.99873 | −0.05045 | 0.06340 | 0.425 | −0.34525 | −0.93851 | 0.13920 | 0.133 |
| SSC | 0.90749 | −0.42006 | 0.11780 | 0.179 | 0.98863 | 0.15036 | 0.05840 | 0.444 |
Disclaimer/Publisher’s Note: The statements, opinions and data contained in all publications are solely those of the individual author(s) and contributor(s) and not of MDPI and/or the editor(s). MDPI and/or the editor(s) disclaim responsibility for any injury to people or property resulting from any ideas, methods, instructions or products referred to in the content. |
© 2024 by the authors. Licensee MDPI, Basel, Switzerland. This article is an open access article distributed under the terms and conditions of the Creative Commons Attribution (CC BY) license (https://creativecommons.org/licenses/by/4.0/).
Share and Cite
Dong, Z.; Liu, H.; Liu, H.; Chen, Y.; Fu, X.; Xia, J.; Ma, Y.; Zhang, Z.; Chen, Q. Spatial Distribution Patterns of Herbaceous Vegetation Diversity and Environmental Drivers in the Subalpine Ecosystem of Anyemaqen Mountains, Qinghai Province, China. Diversity 2024, 16, 755. https://doi.org/10.3390/d16120755
Dong Z, Liu H, Liu H, Chen Y, Fu X, Xia J, Ma Y, Zhang Z, Chen Q. Spatial Distribution Patterns of Herbaceous Vegetation Diversity and Environmental Drivers in the Subalpine Ecosystem of Anyemaqen Mountains, Qinghai Province, China. Diversity. 2024; 16(12):755. https://doi.org/10.3390/d16120755
Chicago/Turabian StyleDong, Zihan, Haodong Liu, Hua Liu, Yongfu Chen, Xinru Fu, Jiajia Xia, Yongshou Ma, Ziwei Zhang, and Qiao Chen. 2024. "Spatial Distribution Patterns of Herbaceous Vegetation Diversity and Environmental Drivers in the Subalpine Ecosystem of Anyemaqen Mountains, Qinghai Province, China" Diversity 16, no. 12: 755. https://doi.org/10.3390/d16120755
APA StyleDong, Z., Liu, H., Liu, H., Chen, Y., Fu, X., Xia, J., Ma, Y., Zhang, Z., & Chen, Q. (2024). Spatial Distribution Patterns of Herbaceous Vegetation Diversity and Environmental Drivers in the Subalpine Ecosystem of Anyemaqen Mountains, Qinghai Province, China. Diversity, 16(12), 755. https://doi.org/10.3390/d16120755

