Can the Empty Shells of Pinna nobilis Maintain the Ecological Role of the Species? A Structural and Functional Analysis of the Associated Mollusc Fauna
Abstract
1. Introduction
2. Materials and Methods
2.1. Study Area
2.2. Sample Collection and Processing
2.3. Abundance and Biomass Estimation of Mollusc Community
2.4. Structural Analysis of Mollusc Community
2.5. Functional Analysis of Mollusc Community
2.5.1. Species–Trait Analysis
2.5.2. Functional Diversity Analysis
3. Results
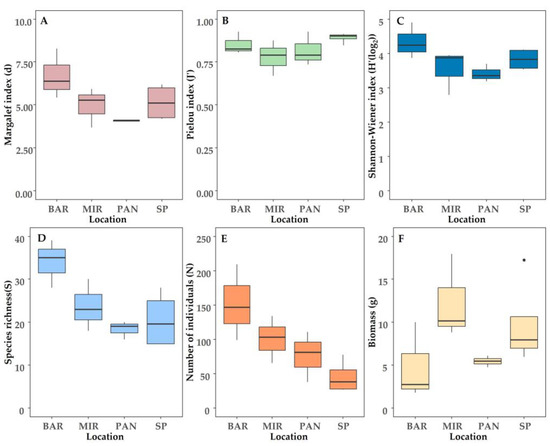
3.1. Community Structure and Composition
3.2. Functional Diversity Indices
3.3. Functional Analysis of Mollusc Community
4. Discussion
5. Conclusions
Supplementary Materials
Author Contributions
Funding
Institutional Review Board Statement
Data Availability Statement
Conflicts of Interest
References
- Jones, C.G.; Lawton, J.H.; Shachak, M. Positive and negative effects of organisms as physical ecosystem engineers. Ecology 1997, 78, 1946–1957. [Google Scholar] [CrossRef]
- Norkko, A.; Hewitt, J.E.; Thrush, S.F.; Funnell, G.A. Conditional outcomes of facilitation by a habitat-modifying subtidal bivalve. Ecology 2006, 87, 226–234. [Google Scholar] [CrossRef] [PubMed]
- Romero, G.Q.; Gonçalves-Souza, T.; Vieira, C.; Koricheva, J. Ecosystem engineering effects on species diversity across ecosystems: A meta-analysis. Biol. Rev. 2015, 90, 877–890. [Google Scholar] [CrossRef]
- Jones, C.; Lawton, J.; Schachak, M.; Jones, C.G.; Lawton, J.H.; Shachak, M. Organisms as ecosystem engineers. Oikos 1994, 69, 373–386. [Google Scholar] [CrossRef]
- Meadows, P.S.; Meadows, A.; Murray, J.M.H. Biological modifiers of marine benthic seascapes: Their role as ecosystem engineers. Geomorphology 2012, 157–158, 31–48. [Google Scholar] [CrossRef]
- Gutiérrez, J.L.; Jones, C.G.; Strayer, D.L.; Iribarne, O.O. Mollusks as ecosystem engineers: The role of shell production in aquatic habitats. Oikos 2003, 101, 79–90. [Google Scholar] [CrossRef]
- Borthagaray, A.I.; Carranza, A. Mussels as ecosystem engineers: Their contribution to species richness in a rocky littoral community. Acta Oecol. 2007, 31, 243–250. [Google Scholar] [CrossRef]
- Lejart, M.; Hily, C. Differential response of benthic macrofauna to the formation of novel oyster reefs (Crassostrea gigas, Thunberg) on soft and rocky substrate in the intertidal of the Bay of Brest, France. J. Sea Res. 2011, 65, 84–93. [Google Scholar] [CrossRef]
- MolluscaBase (Ed.). Pinna nobilis Linnaeus, 1758. 2023. Available online: https://www.marinespecies.org/aphia.php?p=taxdetails&id=140780 (accessed on 17 August 2023).
- García-March, J.R.; Manuel García-Carrascosa, A.; Luis Pena, A. In situ measurement of Pinna nobilis shells for age and growth studies: A new device. Mar. Ecol. 2002, 23, 207–217. [Google Scholar] [CrossRef]
- Addis, P.; Secci, M.; Brundu, G.; Manunza, A.; Corrias, S.; Cau, A. Density, size structure, shell orientation and epibiontic colonization of the fan mussel Pinna nobilis L. 1758 (Mollusca: Bivalvia) in three contrasting habitats in an estuarine area of Sardinia (W Mediterranean). Sci. Mar. 2009, 73, 143–152. [Google Scholar] [CrossRef]
- Cosentino, A.; Giacobbe, S.; Fleming, V.A. Aspects of epizoobiontic mollusc assemblages on Pinna shells. I. Composition and structure. Cah. De Biol. Mar. 2007, 48, 187–197. [Google Scholar]
- Rabaoui, L.; Tlig-Zouari, S.; Cosentino, A.; Ben Hassine, O.K. Associated fauna of the fan shell Pinna nobilis (Mollusca: Bivalvia) in the Northern and Eastern Tunisian Coasts. Sci. Mar. 2009, 73, 129–141. [Google Scholar] [CrossRef]
- Alomar, C.; Vázquez-Luis, M.; Magraner, K.; Lozano, L.; Deudero, S. Evaluating stable isotopic signals in bivalve Pinna nobilis under different human pressures. J. Exp. Mar. Biol. Ecol. 2015, 467, 77–86. [Google Scholar] [CrossRef]
- Basso, L.; Hendriks, I.; Steckbauer, A.; Duarte, C. Resistance of juveniles of the mediterranean pen shell, (Pinna nobilis) to hypoxia and interaction with warming. Estuar. Coast. Shelf Sci. 2015, 165, 199–203. [Google Scholar] [CrossRef]
- Cabanellas-Reboredo, M.; Deudero, S.; Blanco, A. Stable-Isotope signatures (Δ13C and Δ15N) of different tissues of Pinna nobilis Linnaeus, 1758 (Bivalvia): Isotopic variations among tissues and between seasons. J. Molluscan Stud. 2009, 75, 343–349. [Google Scholar] [CrossRef]
- Scarpa, F.; Sanna, D.; Azzena, I.; Cossu, P.; Casu, M. From dark to light and back again: Is Pinna nobilis, the largest mediterranean shellfish, on the brink of extinction? What about Pinna nobilis. Veterinaria 2021, 70, 1–14. [Google Scholar]
- Cabanellas-Reboredo, M.; Vázquez-Luis, M.; Mourre, B.; Álvarez, E.; Deudero, S.; Amores, Á.; Addis, P.; Ballesteros, E.; Barrajón, A.; Coppa, S.; et al. Tracking a mass mortality outbreak of pen shell Pinna nobilis populations: A collaborative effort of scientists and citizens. Sci. Rep. 2019, 9, 13355. [Google Scholar] [CrossRef]
- Catanese, G.; Grau, A.; Valencia, J.M.; Garcia-March, J.R.; Vázquez-Luis, M.; Alvarez, E.; Deudero, S.; Darriba, S.; Carballal, M.J.; Villalba, A. Haplosporidium pinnae Sp. Nov., a haplosporidan parasite associated with mass mortalities of the fan mussel, Pinna nobilis, in the Western Mediterranean Sea. J. Invertebr. Pathol. 2018, 157, 9–24. [Google Scholar] [CrossRef]
- Čižmek, H.; Čolić, B.; Gračan, R.; Grau, A.; Catanese, G. An emergency situation for pen shells in the Mediterranean: The Adriatic Sea, one of the Last Pinna nobilis shelters, is now affected by a mass mortality event. J. Invertebr. Pathol. 2020, 173, 107388. [Google Scholar] [CrossRef]
- García-March, J.R.; Tena, J.; Henandis, S.; Vázquez-Luis, M.; López, D.; Téllez, C.; Prado, P.; Navas, J.I.; Bernal, J.; Catanese, G.; et al. Can we save a marine species affected by a highly infective, highly lethal, waterborne disease from extinction? Biol. Conserv. 2020, 243, 108498. [Google Scholar] [CrossRef]
- Katsanevakis, S. The cryptogenic parasite haplosporidium pinnae invades the Aegean Sea and causes the collapse of Pinna nobilis populations. Aquat. Invasions 2019, 14, 150–164. [Google Scholar] [CrossRef]
- Lattos, A.; Giantsis, I.A.; Karagiannis, D.; Michaelidis, B. First detection of the invasive haplosporidian and mycobacteria parasites hosting the endangered bivalve Pinna nobilis in Thermaikos Gulf, North Greece. Mar. Environ. Res. 2020, 155, 104889. [Google Scholar] [CrossRef] [PubMed]
- Panarese, R.; Tedesco, P.; Chimienti, G.; Latrofa, M.S.; Quaglio, F.; Passantino, G.; Buonavoglia, C.; Gustinelli, A.; Tursi, A.; Otranto, D. Haplosporidium pinnae associated with mass mortality in endangered Pinna nobilis (Linnaeus 1758) fan mussels. J. Invertebr. Pathol. 2019, 164, 32–37. [Google Scholar] [CrossRef]
- Šarić, T.; Župan, I.; Aceto, S.; Villari, G.; Palić, D.; De Vico, G.; Carella, F. Epidemiology of noble pen shell (Pinna nobilis L. 1758) mass mortality events in Adriatic Sea is characterised with rapid spreading and acute disease progression. Pathogens 2020, 9, 776. [Google Scholar] [CrossRef]
- Carella, F.; Aceto, S.; Pollaro, F.; Miccio, A.; Iaria, C.; Carrasco, N.; Prado, P.; De Vico, G. A mycobacterial disease is associated with the silent mass mortality of the pen shell Pinna nobilis along the Tyrrhenian coastline of Italy. Sci. Rep. 2019, 9, 2725. [Google Scholar] [CrossRef] [PubMed]
- Foulquié, M.; de La Grandrive, R.D.; Dalias, N.; Vicente, N. Inventaire et état de santé des populations de Pinna nobilis (L. 1758) dans l’étang de Thau (Hérault, France). Mar.-Rev. Fr. 2020, 2020, 1–25. [Google Scholar]
- Katsanevakis, S.; Carella, F.; Çinar, M.E.; Čižmek, H.; Jimenez, C.; Kersting, D.K.; Moreno, D.; Rabaoui, L.; Vicente, N. The fan mussel Pinna nobilis on the brink of extinction in the mediterranean. In Imperiled: The Encyclopedia of Conservation: Volume 1–3; Elsevier: Amsterdam, The Netherlands, 2022; Volume 1–3, pp. 700–709. ISBN 978-0-12-821139-7. [Google Scholar]
- Simide, R.; Couvray, S.; Vicente, N. Présence de Pinna nobilis (L. 1758) dans l’étang Littoral de Diana (Corse). Mar.-Rev. Fr. 2019, 2019, 1–4. [Google Scholar]
- Romero, M.V.; Casadio, S.A.; Bremec, C.S.; Giberto, D.A. Sclerobiosis: A term for colonization of marine hard substrates. Ameghiniana 2022, 59, 265–273. [Google Scholar] [CrossRef]
- Taylor, P.D.; Wilson, M.A. Palaeoecology and evolution of marine hard substrate communities. Earth-Sci. Rev. 2003, 62, 1–103. [Google Scholar] [CrossRef]
- Wahl, M. Epibiosis: Ecology, effects and defences. In Marine Hard Bottom Communities: Patterns, Dynamics, Diversity, and Change; Wahl, M., Ed.; Ecological Studies; Springer: Berlin/Heidelberg, Germany, 2009; pp. 61–72. ISBN 978-3-540-92704-4. [Google Scholar]
- Passarelli, C.; Olivier, F.; Paterson, D.M.; Meziane, T.; Hubas, C. Organisms as cooperative ecosystem engineers in intertidal flats. J. Sea Res. 2014, 92, 92–101. [Google Scholar] [CrossRef]
- Esposito, V.; Auriemma, R.; De Vittor, C.; Relitti, F.; Urbini, L.; Kralj, M.; Gambi, M.C. Structural and functional analyses of motile fauna associated with Cystoseira brachycarpa along a gradient of ocean acidification in a CO2-vent system off Panarea (Aeolian Islands, Italy). J. Mar. Sci. Eng. 2022, 10, 451. [Google Scholar] [CrossRef]
- Tilman, D.; Reich, P.B.; Knops, J.M.H. Biodiversity and ecosystem stability in a decade-long grassland experiment. Nature 2006, 441, 629–632. [Google Scholar] [CrossRef] [PubMed]
- Ives, A.R.; Carpenter, S.R. Stability and diversity of ecosystems. Science 2007, 317, 58–62. [Google Scholar] [CrossRef]
- Griffin, J.N.; O’Gorman, E.J.; Emmerson, M.C.; Jenkins, S.R.; Klein, A.M.; Loreau, M.; Symstad, A. Biodiversity and the stability of ecosystem functioning. In Biodiversity, Ecosystem Functioning, and Human Wellbeing: An Ecological and Economic Perspective; Oxford University Press: Oxford, UK, 2009; ISBN 978-0-19-172034-5. [Google Scholar]
- Campbell, V.; Murphy, G.; Romanuk, T.N. Experimental design and the outcome and interpretation of diversity-stability relations. Oikos 2011, 120, 399–408. [Google Scholar] [CrossRef]
- Loreau, M.; de Mazancourt, C. Biodiversity and ecosystem stability: A synthesis of underlying mechanisms. Ecol. Lett. 2013, 16, 106–115. [Google Scholar] [CrossRef]
- Floyd, M.; Mizuyama, M.; Obuchi, M.; Sommer, B.; Miller, M.G.; Kawamura, I.; Kise, H.; Reimer, J.D.; Beger, M. Functional diversity of reef molluscs along a tropical-to-temperate gradient. Coral Reefs 2020, 39, 1361–1376. [Google Scholar] [CrossRef]
- Paganelli, D.; Marchini, A.; Occhipinti-Ambrogi, A. Functional structure of marine benthic assemblages using Biological Traits Analysis (BTA): A study along the Emilia-Romagna coastline (Italy, North-West Adriatic Sea). Estuar. Coast. Shelf Sci. 2012, 96, 245–256. [Google Scholar] [CrossRef]
- Rincón, P.A.; Correas, A.M.; Morcillo, F.; Risueño, P.; Lobón-Cerviá, J. Interaction between the introduced eastern mosquitofish and two autochthonous spanish toothcarps. J. Fish Biol. 2002, 61, 1560–1585. [Google Scholar] [CrossRef]
- Zhao, K.; Gaines, S.D.; García Molinos, J.; Zhang, M.; Xu, J. Climate change and fishing are pulling the functional diversity of the world’s largest marine fisheries to opposite extremes. Glob. Ecol. Biogeogr. 2022, 31, 1616–1629. [Google Scholar] [CrossRef]
- Murillo, F.J.; Weigel, B.; Bouchard Marmen, M.; Kenchington, E. Marine epibenthic functional diversity on Flemish Cap (North-West Atlantic)—Identifying trait responses to the environment and mapping ecosystem functions. Divers. Distrib. 2020, 26, 460–478. [Google Scholar] [CrossRef]
- Schleuter, D.; Daufresne, M.; Massol, F.; Argillier, C. A user’s guide to functional diversity indices. Ecol. Monogr. 2010, 80, 469–484. [Google Scholar] [CrossRef]
- Villéger, S.; Mouillot, D. Additive partitioning of diversity including species differences: A comment on Hardy & Senterre (2007): Explicit formula of β-diversity. J. Ecol. 2008, 96, 845–848. [Google Scholar] [CrossRef]
- Laliberté, E.; Legendre, P. A distance-based framework for measuring functional diversity from multiple traits. Ecology 2010, 91, 299–305. [Google Scholar] [CrossRef] [PubMed]
- Barago, N.; Floreani, F.; Acquavita, A.; Esbrí, J.M.; Covelli, S.; Higueras, P. Spatial and temporal trends of gaseous elemental mercury over a highly impacted coastal environment (Northern Adriatic, Italy). Atmosphere 2020, 11, 935. [Google Scholar] [CrossRef]
- Cibic, T.; Franzo, A.; Nasi, F.; Auriemma, R.; Del Negro, P. The Port of Trieste (Northern Adriatic Sea)—A case study of the “Ecosystem Approach to Management”. Front. Mar. Sci. 2017, 4, 336. [Google Scholar] [CrossRef]
- Boicourt, W.C.; Kuzmić, M.; Hopkins, T.S. The Inland Sea: Circulation of Chesapeake Bay and the Northern Adriatic. In Ecosystems at the Land-Sea Margin: Drainage Basin to Coastal Sea; American Geophysical Union (AGU): Washington, DC, USA, 1999; Volume 55, pp. 81–129. ISBN 978-1-118-66509-1. [Google Scholar]
- Mozetic, P. Seasonal and inter-annual plankton variability in the Gulf of Trieste (Northern Adriatic). ICES J. Mar. Sci. 1998, 55, 711–722. [Google Scholar] [CrossRef]
- Stravisi, F. The Vertical Structure Annual Cycle of the Mass Field Parameters in the Gulf of Trieste. 1983. Available online: http://hdl.handle.net/11368/1701345 (accessed on 1 July 2023).
- Pérès, J.-M.; Picard, J. Nouveau Manuel de Bionomie Benthique de la Mer Méditerranée; Station Marine d’Endoume: Marseille, France, 1964. [Google Scholar]
- Bettoso, N.; Faresi, L.; Pitacco, V.; Orlando-Bonaca, M.; Aleffi, I.F.; Lipej, L. Species richness of benthic macrofauna on rocky outcrops in the Adriatic Sea by using Species-Area Relationship (SAR) tools. Water 2023, 15, 318. [Google Scholar] [CrossRef]
- Casellato, S.; Stefanon, A. Coralligenous habitat in the northern Adriatic Sea: An overview. Mar. Ecol. 2008, 29, 321–341. [Google Scholar] [CrossRef]
- Gordini, E.; Falace, A.; Kaleb, S.; Donda, F.; Marocco, R.; Tunis, G. Methane-related carbonate cementation of marine sediments and related macroalgal coralligenous assemblages in the northern Adriatic Sea. In Seafloor Geomorphology as Benthic Habitat; Elsevier: Amsterdam, The Netherlands, 2012; pp. 185–200. ISBN 978-0-12-385140-6. [Google Scholar]
- Nasi, F.; Auriemma, R.; Bonsdorff, E.; Cibic, T.; Aleffi, I.F.; Bettoso, N.; del Negro, P. Biodiversity, feeding habits and reproductive strategies of benthic macrofauna in a protected area of the northern Adriatic Sea: A Three-Year Study. Mediterr. Mar. Sci. 2017, 18, 292–309. [Google Scholar] [CrossRef][Green Version]
- De Luca, M.; Candotto, S. Distribuzione e Densità di Pinna nobilis L. nella ZSC/ZPS IT 3330005 “Foce dell’Isonzo-Isola della cona”: Dati Preliminari. 2016; Volume 38. Available online: http://www.civicimuseiudine.it/images/MFSN/Gortania/Gortania%2038_BZ/GORTANIA%2038%20BIOL%20DeLuca%20lr.pdf (accessed on 1 March 2023).
- Tempesta, M.; Del Piero, D. Definition of a new formula for the calculation of the total height of the fan shell Pinna nobilis in the Miramare Marine Protected Area (Trieste, Italy). Ann. Ser. Hist. Nat. 2013, 23, 17–22. [Google Scholar]
- Borme, D.; Cibic, T.; Caressa, S.; Ciriaco, S.; Falace, A.; Faresi, L.; Gardini, E.; Odorico, R.; Marocco, R.; Poloniato, D. Trezze” o “Grebeni”: Biotopi e Geotopi Dell’Alto Adriatico; Reg. Friuli Venezia Giulia, OGS, RIMA: Trieste, Italy, 2010; pp. 1–241. [Google Scholar]
- García March, J.R. Aportaciones al Conocimiento de la Biología de Pinna nobilis Linneo, 1758 (Mollusca Bivalvia) En el Litoral Mediterráneo Ibérico; Universitat de Valencia, Servei de Publicacions: Valencia, Spain, 2006; ISBN 84-370-6286-1. [Google Scholar]
- Schneider, C.A.; Rasband, W.S.; Eliceiri, K.W. NIH Image to ImageJ: 25 years of image analysis. Nat. Methods 2012, 9, 671–675. [Google Scholar] [CrossRef] [PubMed]
- WoRMS Editorial Board. World Register of Marine Species. 2023. Available online: https://www.marinespecies.org (accessed on 9 August 2023).
- Nilsen, M.; Pedersen, T.; Nilssen, E. Macrobenthic biomass, productivity (P/B) and production in a high-latitude ecosystem, North Norway. Mar. Ecol. Prog. Ser. 2006, 321, 67–77. [Google Scholar] [CrossRef]
- Turquin, M.-J.R. Dajoz.—Précis d’écologie. 1971. Dunod, Paris. Publ. Société Linn. Lyon 1974, 43, 180–181. [Google Scholar]
- Anderson, M.J. A new method for non-parametric multivariate analysis of variance. Austral Ecol. 2001, 26, 32–46. [Google Scholar] [CrossRef]
- Spearman, C. Demonstration of formulæ for true measurement of correlation. Am. J. Psychol. 1907, 18, 161–169. [Google Scholar] [CrossRef]
- Clare, D.S.; Bolam, S.G.; McIlwaine, P.S.O.; Garcia, C.; Murray, J.M.; Eggleton, J.D. Biological traits of marine benthic invertebrates in Northwest Europe. Sci. Data 2022, 9, 339. [Google Scholar] [CrossRef]
- Cossignani, T. Atlante Delle Conchiglie del Medio Adriatico; L’Informatore Piceno: Ancona, Italy, 1992; ISBN 88-86070-00-4. [Google Scholar]
- Riedl, R. Fauna e flora del Mediterraneo; Franco Muzzio: Padova, Italy, 1991; pp. 1–777. [Google Scholar]
- Giannuzzi-Savelli, R.; Pusateri, F.; Palmeri, A.; Ebreo, C.; Smriglio, C.; Mariottini, P.; Nofroni, I. Atlante Delle Conchiglie Marine del Mediterraneo = Atlas of the Mediterranean Seashells; Evolver (La Conchiglia): Rome, Italy, 2001; Volume 7. [Google Scholar]
- Doneddu, M.; Trainito, E. Conchiglie del Mediterraneo: Guida ai Molluschi Conchigliati; Il Castello: Milan, Italy, 2005; ISBN 88-8039-449-5. [Google Scholar]
- Atlas of Mediterranean Seashells. Available online: http://www.idscaro.net/sci/04_med/index.htm (accessed on 1 March 2023).
- Casanoves, F.; Pla, L.E.; Di Rienzo, J.A. FDiversity: An integrated tool to estimate and analyze functional diversity. Bull. Ecol. Soc. Am. 2011, 92, 147–152. [Google Scholar] [CrossRef]
- Mason, N.W.; Mouillot, D.; Lee, W.G.; Wilson, J.B. Functional richness, functional evenness and functional divergence: The primary components of functional diversity. Oikos 2005, 111, 112–118. [Google Scholar] [CrossRef]
- Teichert, N.; Lepage, M.; Sagouis, A.; Borja, A.; Chust, G.; Ferreira, M.T.; Pasquaud, S.; Schinegger, R.; Segurado, P.; Argillier, C. Functional redundancy and sensitivity of fish assemblages in european rivers, lakes and estuarine ecosystems. Sci. Rep. 2017, 7, 17611. [Google Scholar] [CrossRef]
- Muscarella, R.; Uriarte, M. Do community-weighted mean functional traits reflect optimal strategies? Proc. R. Soc. B Biol. Sci. 2016, 283, 20152434. [Google Scholar] [CrossRef]
- Rincón-Díaz, M.P.; Pittman, S.J.; Arismendi, I.; Heppell, S.S. Functional diversity metrics detect spatio-temporal changes in the fish communities of a Caribbean marine protected area. Ecosphere 2018, 9, e02433. [Google Scholar] [CrossRef]
- Giacobbe, S. Epibiontic mollusc communities on Pinna nobilis L. (Bivalvia, Mollusca). J. Nat. Hist. 2002, 36, 1385–1396. [Google Scholar] [CrossRef]
- Cosentino, A.; Giacobbe, S. Aspects of epizoobiontic mollusc assemblages on Pinna shells. II. Does the Mediterranean P. nobilis represent an isle of biodiversity? Cah. Biol. Mar. 2008, 49, 161–173. [Google Scholar]
- Arrhenius, O. Species and area. J. Ecol. 1921, 9, 95–99. [Google Scholar] [CrossRef]
- Mitchell, K.; Ryan, J. The Species-Area relation. UMAP J. 1998, 19, 139–170. [Google Scholar]
- McKinney, F.K. Encrusting organisms on co-occurring disarticulated valves of two marine bivalves: Comparison of living assemblages and skeletal residues. Paleobiology 1996, 22, 543–567. [Google Scholar] [CrossRef]
- Summerhayes, S.A.; Bishop, M.J.; Leigh, A.; Kelaher, B.P. Effects of oyster death and shell disarticulation on associated communities of epibiota. J. Exp. Mar. Biol. Ecol. 2009, 379, 60–67. [Google Scholar] [CrossRef]
- Vance, R.R. A mutualistic interaction between a sessile marine clam and its epibionts. Ecology 1978, 59, 679–685. [Google Scholar] [CrossRef]
- Karlson, R.H.; Shenk, M.A. Epifaunal abundance, association, and overgrowth patterns on large hermit crab shells. J. Exp. Mar. Biol. Ecol. 1983, 70, 55–64. [Google Scholar] [CrossRef]
- Gili, J.-M.; Abello, P.; Villanueva, R. Epibionts and intermoult duration in the crab Bathynectes piperitus. Mar. Ecol. Prog. Ser. 1993, 98, 107–113. [Google Scholar] [CrossRef]
- Davis, A.R.; White, G.A. Epibiosis in a guild of sessile subtidal invertebrates in South-Eastern Australia: A quantitative survey. J. Exp. Mar. Biol. Ecol. 1994, 177, 1–14. [Google Scholar] [CrossRef]
- Barnes, D.K.; Clarke, A. Epibiotic communities on sublittoral macroinvertebrates at Signy Island, Antarctica. J. Mar. Biol. Assoc. UK 1995, 75, 689–703. [Google Scholar] [CrossRef]
- Wahl, M. Fouled snails in flow: Potential of epibionts on Littorina littorea to increase drag and reduce snail growth rates. Mar. Ecol. Prog. Ser. 1996, 138, 157–168. [Google Scholar] [CrossRef]
- Key, M.M., Jr.; Jeffries, W.B.; Voris, H.K.; Yang, C.M. Epizoic bryozoans, horseshoe crabs, and other mobile benthic substrates. Bull. Mar. Sci. 1996, 58, 368–384. [Google Scholar]
- Thompson, R.; Wilson, B.; Tobin, M.; Hill, A.; Hawkins, S. Biologically generated habitat provision and diversity of rocky shore organisms at a hierarchy of spatial scales. J. Exp. Mar. Biol. Ecol. 1996, 202, 73–84. [Google Scholar] [CrossRef]
- Parapar, J.; Fernández, L.; González-Gurriarán, E.; Muíno, R. Epibiosis and masking material in the spider crab Maja squinado (Decapoda: Majidae) in the Ria de Arousa (Galicia, NW Spain). Cah. Biol. Mar. 1997, 38, 221–234. [Google Scholar]
- Fernández, L.; Parapar, J.; González-Gurriarán, E.; Muiño, R. Epibiosis and ornamental cover patterns of the spider crab Maja squinado on the Galician Coast, Northwestern Spain: Influence of behavioral and ecological characteristics of the host. J. Crustac. Biol. 1998, 18, 728–737. [Google Scholar] [CrossRef]
- Olabarria, C. Epibiont molluscs on neogastropod shells from sandy bottoms, Pacific coast of Mexico. J. Mar. Biol. Assoc. UK 2000, 80, 291–298. [Google Scholar] [CrossRef]
- Zavodnik, D. Pinna nobilis L. Comme Centre d’association. Rapport et Procès Verbaux. Commn. Int. Explor. Sci. Mer. Méditerr. 1963, 17, 273–275. [Google Scholar]
- Zavodnik, D. Contribution to the Ecology of Pinna nobilis L. (Moll. Bivalvia) in the Northern Adriatic. Thalas. Jugosl. 1967, 3, 93–103. [Google Scholar]
- Corriero, G.; Pronzato, R. Epibiontic sponges on the bivalve Pinna nobilis. Mar. Ecol. Prog. Ser. 1987, 35, 75–82. [Google Scholar] [CrossRef]
- Giacobbe, S.; Rinelli, P. Ecological notes on Arbaciella elegans (Mortensen) from populations of Pinna in the Straits of Messina. In Echinoderm Research; Balkema: London, UK, 1992; pp. 185–186. ISBN 90-5410-049-4. [Google Scholar]
- Russo, P. Segnalazione di una grande colonia di Pinna nobilis (Linnaeus, 1758) nella Laguna di Venezia. Contrib. Not. SIM 2012, 31, 31–34. [Google Scholar]
- Svane, I.; Petersen, J.K. On the problems of epibioses, fouling and artificial reefs, a review. Mar. Ecol. 2001, 22, 169–188. [Google Scholar] [CrossRef]
- Boaventura, D.; Moura, A.; Leitão, F.; Carvalho, S.; Cúrdia, J.; Pereira, P.; Da Fonseca, L.C.; Dos Santos, M.N.; Monteiro, C.C. Macrobenthic colonisation of artificial reefs on the southern coast of Portugal (Ancão, Algarve). In Marine Biodiversity; Springer: Dordrecht, The Netherlands, 2006; Volume 555, pp. 335–343. [Google Scholar]
- Victorero, L.; Robert, K.; Robinson, L.F.; Taylor, M.L.; Huvenne, V.A. Species replacement dominates megabenthos beta diversity in a remote seamount setting. Sci. Rep. 2018, 8, 4152. [Google Scholar] [CrossRef]
- Chimienti, G.; Mastrototaro, F.; Panetta, P. Secrets in the sands: Micromolluscs of Isole Tremiti MPA. BioMar. Med. 2016, 23, 218. [Google Scholar]
- Gutiérrez, J.; Iribarne, O. Role of Holocene beds of the stout razor clam Tagelus plebeius in structuring present benthic communities. Mar. Ecol. Prog. Ser. 1999, 185, 213–228. [Google Scholar] [CrossRef]
- Svensson, J.R.; Marshall, D.J. Limiting resources in sessile systems: Food enhances diversity and growth of suspension feeders despite available space. Ecology 2015, 96, 819–827. [Google Scholar] [CrossRef]
- Levinton, J. Stability and trophic structure in deposit-feeding and suspension-feeding communities. Am. Nat. 1972, 106, 472–486. [Google Scholar] [CrossRef]
- Schoener, T.W. Field experiments on interspecific competition. Am. Nat. 1983, 122, 240–285. [Google Scholar] [CrossRef]
- Stachowicz, J.J.; Fried, H.; Osman, R.W.; Whitlatch, R.B. Biodiversity, invasion resistance, and marine ecosystem function: Reconciling pattern and process. Ecology 2002, 83, 2575–2590. [Google Scholar] [CrossRef]
- Cognetti, G.; Lardicci, C.; Abbiati, M.; Castelli, A. The Adriatic Sea and the Tyrrhenian Sea. In Seas at the Millennium—An Environmental Evaluation; Sheppard, C.R.C., Ed.; Pergamon: Oxford, UK, 2000; Volume 1, pp. 267–284. [Google Scholar]
- Smith, R.; Smith, T. Elements of Ecology, Global Edition, 9th ed.; Pearson: London, UK, 2015; ISBN 978-1-292-07741-3. [Google Scholar]
- Loreau, M. From Populations to Ecosystems: Theoretical Foundations for a New Ecological Synthesis; Monographs in Population Biology; Princeton University Press: Princeton, NJ, USA, 2010; ISBN 978-0-691-12269-4. [Google Scholar]
- Gusmao, J.B.; Brauko, K.M.; Eriksson, B.K.; Lana, P.C. Functional diversity of macrobenthic assemblages decreases in response to sewage discharges. Ecol. Indic. 2016, 66, 65–75. [Google Scholar] [CrossRef]
- Gerisch, M.; Agostinelli, V.; Henle, K.; Dziock, F. More species, but all do the same: Contrasting effects of flood disturbance on ground beetle functional and species diversity. Oikos 2012, 121, 508–515. [Google Scholar] [CrossRef]
- Vesal, S.E.; Nasi, F.; Pazzaglia, J.; Ferrante, L.; Auriemma, R.; Relitti, F.; Bazzaro, M.; Del Negro, P. Assessing the sewage discharge effects on soft-bottom macrofauna through traits-based approach. Mar. Pollut. Bull. 2021, 173, 113003. [Google Scholar] [CrossRef]
- Mazurkiewicz, M.; Górska, B.; Renaud, P.E.; Włodarska-Kowalczuk, M. Latitudinal consistency of biomass size spectra-benthic resilience despite environmental, taxonomic and functional trait variability. Sci. Rep. 2020, 10, 4164. [Google Scholar] [CrossRef]
- Akoumianaki, I.; Papaspyrou, S.; Nicolaidou, A. Dynamics of macrofaunal body size in a deltaic environment. Mar. Ecol. Prog. Ser. 2006, 321, 55–66. [Google Scholar] [CrossRef][Green Version]
- Woodward, G.; Blanchard, J.; Lauridsen, R.B.; Edwards, F.K.; Jones, J.I.; Figueroa, D.; Warren, P.H.; Petchey, O.L. Chapter 6—Individual-based food webs: Species identity, body size and sampling effects. In Advances in Ecological Research; Woodward, G., Ed.; Integrative Ecology: From Molecules to Ecosystems; Academic Press: Cambridge, MA, USA, 2010; Volume 43, pp. 211–266. [Google Scholar]
- Peters, R.H.; Peters, R.H. The Ecological Implications of Body Size; Cambridge University Press: Cambridge, UK, 1986; ISBN 978-0-521-28886-6. [Google Scholar]






| Biological Trait | Trait Type | Category | Labels |
|---|---|---|---|
| Max adult size | Continuous | Very small (<5 mm) | <5 mm |
| Small (5–30 mm) | 5–30 mm | ||
| Medium (30–80 mm) | 30–80 mm | ||
| Large (>80 mm) | >80 mm | ||
| Adult longevity | Continuous | Very short (≤1 year) | <1 year |
| Short (1–3 years) | 1–3 years | ||
| Intermediate (3–6 years) | 3–6 years | ||
| Long (6–10 years) | 6–10 years | ||
| Mobility | Categorical | Sessile | Ses |
| Semi-motile | Se-mot | ||
| Motile | Mot | ||
| Feeding Habits | Categorical | Suspension Feeder | SF |
| Surface deposit feeder | SDF | ||
| Sub surface deposit feeder | SSDF | ||
| Grazer | G | ||
| Scavenger | SC | ||
| Predator | PR | ||
| Parasite | PA | ||
| Living Habits | Categorical | Free-living | Fre-liv |
| Burrow dwelling | Bur-dwe | ||
| Crevices/hole/under stones | Cre-hol-uns | ||
| Epi-endobiotic/Attached to a substratum | Epi-end-Att |
| Site | Station | S | Mean | SD | N | Mean | SD | d | Mean | SD | J′ | Mean | SD | H′ | Mean | SD | Biomass | Mean | SD |
|---|---|---|---|---|---|---|---|---|---|---|---|---|---|---|---|---|---|---|---|
| Barcola (BAR) | B1 | 39 | 34.00 | 5.57 | 99 | 151.67 | 55.15 | 8.27 | 6.68 | 1.46 | 0.93 | 0.85 | 0.06 | 4.89 | 4.33 | 0.52 | 2.71 | 4.84 | 4.50 |
| B2 | 28 | 147 | 5.41 | 0.80 | 3.86 | 1.79 | |||||||||||||
| B3 | 35 | 209 | 6.36 | 0.83 | 4.24 | 10.01 | |||||||||||||
| Miramare (MIR) | M1 | 18 | 23.67 | 6.03 | 103 | 101.00 | 34.04 | 3.67 | 4.95 | 1.16 | 0.67 | 0.78 | 0.10 | 2.79 | 3.54 | 0.65 | 10.14 | 12.31 | 4.92 |
| M2 | 23 | 66 | 5.25 | 0.87 | 3.95 | 8.85 | |||||||||||||
| M3 | 30 | 134 | 5.92 | 0.79 | 3.87 | 17.95 | |||||||||||||
| Panzano (PAN) | P1 | 16 | 18.33 | 2.08 | 38 | 76.67 | 36.69 | 4.12 | 4.08 | 0.05 | 0.93 | 0.82 | 0.10 | 3.70 | 3.41 | 0.26 | 5.48 | 5.44 | 0.66 |
| P2 | 19 | 81 | 4.10 | 0.79 | 3.35 | 6.08 | |||||||||||||
| P3 | 20 | 111 | 4.03 | 0.74 | 3.19 | 4.77 | |||||||||||||
| S. Pietro (SP) | S1 | 15 | 20.50 | 6.56 | 27 | 45.25 | 23.88 | 4.25 | 5.15 | 1.07 | 0.91 | 0.89 | 0.03 | 3.57 | 3.82 | 0.31 | 6.00 | 9.77 | 5.08 |
| S2 | 15 | 28 | 4.20 | 0.91 | 3.54 | 17.24 | |||||||||||||
| S3 | 28 | 78 | 6.20 | 0.85 | 4.08 | 7.34 | |||||||||||||
| S4 | 24 | 48 | 5.94 | 0.90 | 4.11 | 8.49 |
| Site | Station | Suface Shell Area (cm2) | Mean | SD | Ht (cm) | Mean | SD | W (cm) | Mean | SD | w (cm) | Mean | SD | % Coverage | Mean | SD |
|---|---|---|---|---|---|---|---|---|---|---|---|---|---|---|---|---|
| Barcola (BAR) | B1 | 952.48 | 962.49 | 51.02 | 48.60 | 50.93 | 2.30 | 16.90 | 17.30 | 0.61 | 11.00 | 10.63 | 0.55 | 96.50 | 95.53 | 3.92 |
| B2 | 917.23 | 53.20 | 17.00 | 10.90 | 98.87 | |||||||||||
| B3 | 1017.78 | 51.00 | 18.00 | 10.00 | 91.21 | |||||||||||
| Miramare (MIR) | M1 | 1216.53 | 1120.56 | 185.79 | 55.50 | 54.30 | 1.66 | 17.50 | 17.53 | 1.85 | 13.50 | 12.23 | 1.70 | 99.13 | 98.95 | 0.52 |
| M2 | 906.41 | 52.40 | 15.70 | 10.30 | 98.37 | |||||||||||
| M3 | 1238.74 | 55.00 | 19.40 | 12.90 | 99.35 | |||||||||||
| Panzano (PAN) | P1 | 980.94 | 932.76 | 172.95 | 55.20 | 54.67 | 2.44 | 15.00 | 15.00 | 1.00 | 9.80 | 9.97 | 0.96 | 74.58 | 79.92 | 9.21 |
| P2 | 1076.50 | 56.80 | 16.00 | 11.00 | 74.62 | |||||||||||
| P3 | 740.83 | 52.00 | 14.00 | 9.10 | 90.55 | |||||||||||
| S. Pietro (SP) | S1 | 1394.84 | 1273.03 | 180.42 | 59.00 | 59.38 | 3.35 | 20.50 | 18.78 | 1.37 | 12.00 | 10.68 | 0.91 | 99.85 | 96.31 | 5.11 |
| S2 | 1004.63 | 55.00 | 17.40 | 10.00 | 96.54 | |||||||||||
| S3 | 1342.02 | 60.50 | 18.00 | 10.20 | 89.01 | |||||||||||
| S4 | 1350.62 | 63.00 | 19.20 | 10.50 | 99.84 |
| Site | Station | FRic (A,B) | Mean | SD | FDiv (A) | Mean | SD | FDiv (B) | Mean | SD | FEve (A) | Mean | SD | FEve (B) | Mean | SD | FDis (A) | Mean | SD | FDis (B) | Mean | SD |
|---|---|---|---|---|---|---|---|---|---|---|---|---|---|---|---|---|---|---|---|---|---|---|
| Barcola (BAR) | B1 | 8.14 | 6.50 | 1.52 | 0.92 | 0.89 | 0.03 | 0.83 | 0.92 | 0.08 | 0.62 | 0.53 | 0.08 | 0.27 | 0.31 | 0.05 | 4.71 | 4.47 | 0.22 | 3.79 | 3.06 | 1.65 |
| B2 | 5.15 | 0.88 | 0.93 | 0.50 | 0.37 | 4.43 | 4.21 | |||||||||||||||
| B3 | 6.20 | 0.86 | 0.99 | 0.48 | 0.29 | 4.28 | 1.17 | |||||||||||||||
| Miramare (MIR) | M1 | 5.67 | 4.20 | 1.43 | 0.94 | 0.93 | 0.02 | 0.92 | 0.93 | 0.04 | 0.68 | 0.61 | 0.07 | 0.44 | 0.30 | 0.12 | 4.45 | 4.54 | 0.14 | 3.77 | 3.53 | 0.27 |
| M2 | 2.81 | 0.94 | 0.97 | 0.60 | 0.25 | 4.70 | 3.24 | |||||||||||||||
| M3 | 4.12 | 0.90 | 0.89 | 0.55 | 0.22 | 4.46 | 3.57 | |||||||||||||||
| Panzano (PAN) | P1 | 5.12 | 4.61 | 0.66 | 0.85 | 0.86 | 0.03 | 0.76 | 0.86 | 0.10 | 0.81 | 0.66 | 0.16 | 0.31 | 0.36 | 0.06 | 4.21 | 4.28 | 0.32 | 0.91 | 2.63 | 1.49 |
| P2 | 3.86 | 0.89 | 0.86 | 0.68 | 0.43 | 4.62 | 3.43 | |||||||||||||||
| P3 | 4.84 | 0.83 | 0.96 | 0.50 | 0.35 | 4.00 | 3.56 | |||||||||||||||
| S. Pietro (SP) | S1 | 4.51 | 4.46 | 1.01 | 0.92 | 0.90 | 0.02 | 0.84 | 0.87 | 0.08 | 0.76 | 0.70 | 0.07 | 0.49 | 0.37 | 0.12 | 4.88 | 4.68 | 0.26 | 3.53 | 3.23 | 0.52 |
| S2 | 3.56 | 0.90 | 0.81 | 0.72 | 0.21 | 4.89 | 3.73 | |||||||||||||||
| S3 | 3.92 | 0.89 | 0.83 | 0.60 | 0.36 | 4.34 | 2.55 | |||||||||||||||
| S4 | 5.85 | 0.87 | 0.98 | 0.70 | 0.42 | 4.61 | 3.11 |
Disclaimer/Publisher’s Note: The statements, opinions and data contained in all publications are solely those of the individual author(s) and contributor(s) and not of MDPI and/or the editor(s). MDPI and/or the editor(s) disclaim responsibility for any injury to people or property resulting from any ideas, methods, instructions or products referred to in the content. |
© 2023 by the authors. Licensee MDPI, Basel, Switzerland. This article is an open access article distributed under the terms and conditions of the Creative Commons Attribution (CC BY) license (https://creativecommons.org/licenses/by/4.0/).
Share and Cite
Iannucci, S.; Auriemma, R.; Davanzo, A.; Ciriaco, S.; Segarich, M.; Del Negro, P. Can the Empty Shells of Pinna nobilis Maintain the Ecological Role of the Species? A Structural and Functional Analysis of the Associated Mollusc Fauna. Diversity 2023, 15, 956. https://doi.org/10.3390/d15090956
Iannucci S, Auriemma R, Davanzo A, Ciriaco S, Segarich M, Del Negro P. Can the Empty Shells of Pinna nobilis Maintain the Ecological Role of the Species? A Structural and Functional Analysis of the Associated Mollusc Fauna. Diversity. 2023; 15(9):956. https://doi.org/10.3390/d15090956
Chicago/Turabian StyleIannucci, Simona, Rocco Auriemma, Alessandra Davanzo, Saul Ciriaco, Marco Segarich, and Paola Del Negro. 2023. "Can the Empty Shells of Pinna nobilis Maintain the Ecological Role of the Species? A Structural and Functional Analysis of the Associated Mollusc Fauna" Diversity 15, no. 9: 956. https://doi.org/10.3390/d15090956
APA StyleIannucci, S., Auriemma, R., Davanzo, A., Ciriaco, S., Segarich, M., & Del Negro, P. (2023). Can the Empty Shells of Pinna nobilis Maintain the Ecological Role of the Species? A Structural and Functional Analysis of the Associated Mollusc Fauna. Diversity, 15(9), 956. https://doi.org/10.3390/d15090956

