Assessing the Impact of Insect Decline in Islands: Exploring the Diversity and Community Patterns of Indigenous and Non-Indigenous Arthropods in the Azores Native Forest over 10 Years
Abstract
1. Introduction
2. Materials and Methods
2.1. Study Sites and Data Collection
2.2. Data Analysis
2.2.1. Data Selection
2.2.2. Alpha and Beta Diversity
2.2.3. GamBin Time Series
2.2.4. Rare Species Accumulation and Hyper-Dominance
2.2.5. Biomass
3. Results
3.1. Temporal Trend in Alpha and Beta Diversity
3.1.1. Alpha Diversity
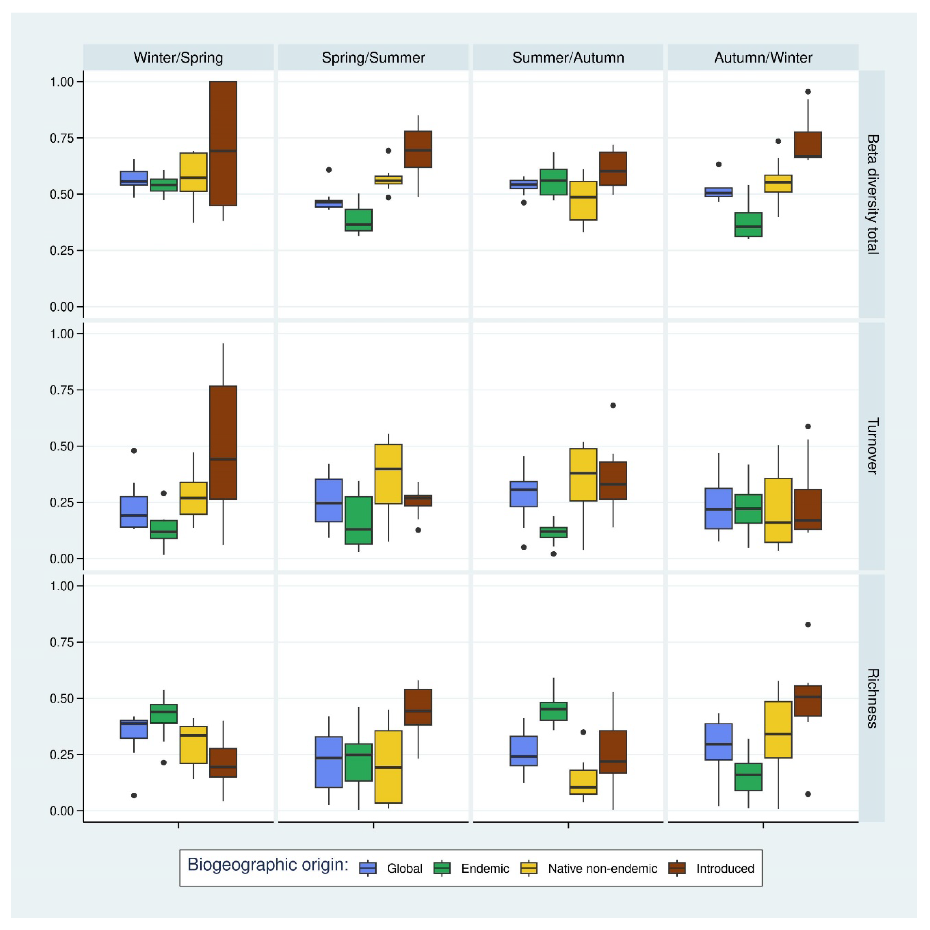
3.1.2. Beta Diversity
3.2. GamBin Alpha Time Series
3.3. Rare and Hyper-Dominant Species
3.4. Temporal Extent of Introduced Species Sampled
3.5. Biomass Time Series
4. Discussion
4.1. Dynamics of Endemic Arthropods Reflect the Stability of Terceira’s Pristine Forest over Times
4.2. Native Non-Endemic Arthropod Assemblage Change Due to Habitat Specialisation
4.3. Niche Filtering Prevent Non-Indigenous Arthropods to Establish
5. Conclusions
Supplementary Materials
Author Contributions
Funding
Institutional Review Board Statement
Data Availability Statement
Acknowledgments
Conflicts of Interest
References
- Cardoso, P.; Barton, P.S.; Birkhofer, K.; Chichorro, F.; Deacon, C.; Fartmann, T.; Fukushima, C.S.; Gaigher, R.; Habel, J.C.; Hallmann, C.A.; et al. Scientists’ Warning to Humanity on Insect Extinctions. Biol. Conserv. 2020, 242, 108426. [Google Scholar] [CrossRef]
- Harvey, J.A.; Tougeron, K.; Gols, R.; Heinen, R.; Abarca, M.; Abram, P.K.; Basset, Y.; Berg, M.; Boggs, C.; Brodeur, J.; et al. Scientists’ Warning on Climate Change and Insects. Ecol. Monogr. 2022, 93, e1553. [Google Scholar] [CrossRef]
- Opito, E.A.; Alanko, T.; Kalbitzer, U.; Nummelin, M.; Omeja, P.; Valtonen, A.; Chapman, C.A. 30 Years Brings Changes to the Arthropod Community of Kibale National Park, Uganda. Biotropica 2023, 55, 529–539. [Google Scholar] [CrossRef]
- O’Dowd, D.J.; Green, P.T.; Lake, P.S. Invasional ‘Meltdown’ on an Oceanic Island. Ecol. Lett. 2003, 6, 812–817. [Google Scholar] [CrossRef]
- Borges, P.A.V.; Rigal, F.; Ros-Prieto, A.; Cardoso, P. Increase of Insular Exotic Arthropod Diversity Is a Fundamental Dimension of the Current Biodiversity Crisis. Insect Conserv. Divers. 2020, 13, 508–518. [Google Scholar] [CrossRef]
- Fernández-Palacios, J.M.; Kreft, H.; Irl, S.D.H.; Norder, S.; Ah-Peng, C.; Borges, P.A.V.; Burns, K.C.; de Nascimento, L.; Meyer, J.-Y.; Montes, E.; et al. Scientists’ Warning—The Outstanding Biodiversity of Islands Is in Peril. Glob. Ecol. Conserv. 2021, 31, e01847. [Google Scholar] [CrossRef]
- Sax, D.F.; Gaines, S.D. Species Invasions and Extinction: The Future of Native Biodiversity on Islands. Proc. Natl. Acad. Sci. USA 2008, 105, 11490–11497. [Google Scholar] [CrossRef]
- Pyšek, P.; Hulme, P.E.; Simberloff, D.; Bacher, S.; Blackburn, T.M.; Carlton, J.T.; Dawson, W.; Essl, F.; Foxcroft, L.C.; Genovesi, P.; et al. Scientists’ Warning on Invasive Alien Species. Biol. Rev. 2020, 95, 1511–1534. [Google Scholar] [CrossRef]
- Mormul, R.P.; Vieira, D.S.; Bailly, D.; Fidanza, K.; da Silva, V.F.B.; da Graça, W.J.; Pontara, V.; Bueno, M.L.; Thomaz, S.M.; Mendes, R.S. Invasive Alien Species Records Are Exponentially Rising across the Earth. Biol. Invasions 2022, 24, 3249–3261. [Google Scholar] [CrossRef]
- Bellard, C.; Bertelsmeier, C.; Leadley, P.; Thuiller, W.; Courchamp, F. Impacts of Climate Change on the Future of Biodiversity. Ecol. Lett. 2012, 15, 365–377. [Google Scholar] [CrossRef]
- Borges, P.A.V.; Gabriel, R.; Fattorini, S. Biodiversity Erosion: Causes and Consequences. In Life on Land; Leal Filho, W., Azul, A.M., Brandli, L., Özuyar, P.G., Wall, T., Eds.; Encyclopedia of the UN Sustainable Development Goals; Springer International Publishing: Cham, Switzerland, 2019; pp. 1–10. ISBN 978-3-319-71065-5. [Google Scholar]
- Sage, R.F. Global Change Biology: A Primer. Glob. Chang. Biol. 2020, 26, 3–30. [Google Scholar] [CrossRef] [PubMed]
- Powell, K.I.; Chase, J.M.; Knight, T.M. Invasive Plants Have Scale-Dependent Effects on Diversity by Altering Species-Area Relationships. Science 2013, 339, 316–318. [Google Scholar] [CrossRef] [PubMed]
- Linders, T.E.W.; Schaffner, U.; Eschen, R.; Abebe, A.; Choge, S.K.; Nigatu, L.; Mbaabu, P.R.; Shiferaw, H.; Allan, E. Direct and Indirect Effects of Invasive Species: Biodiversity Loss Is a Major Mechanism by Which an Invasive Tree Affects Ecosystem Functioning. J. Ecol. 2019, 107, 2660–2672. [Google Scholar] [CrossRef]
- Gullan, P.; Cranston, P. The Insects: An Outline of Entomology; Wiley-Blackwell: Hoboken, NJ, USA, 2020; ISBN 978-1-118.84615.5. [Google Scholar]
- Aberlenc, H.-P. Les Insectes du Monde; MUSEO: Plaissan, France, 2020; ISBN 978-2-37375-101-7. [Google Scholar]
- Mishra, G.; Omkar, O. Insects: The Unrecognized Heroes. In Insects as Service Providers; Omkar, O., Ed.; Springer: Singapore, 2023; pp. 1–8. ISBN 978-981-19340-5-6. [Google Scholar]
- Burns, K.C. A Theory of Island Biogeography for Exotic Species. Am. Nat. 2015, 186, 441–451. [Google Scholar] [CrossRef]
- MacArthur, R.H.; Wilson, E.O. The Theory of Island Biogeography; Princeton University Press: Princeton, NJ, USA, 2001; ISBN 978-0-691-08836-5. [Google Scholar]
- Matthews, T.J.; Sadler, J.; Carvalho, R.; Nunes, R.; Borges, P.A.V. Differential Temporal Beta-diversity Patterns of Native and Non-native Arthropod Species in a Fragmented Native Forest Landscape. Ecography 2019, 42, 45–54. [Google Scholar] [CrossRef]
- Borges, P.A.V.; Cardoso, P.; Kreft, H.; Whittaker, R.J.; Fattorini, S.; Emerson, B.C.; Gil, A.; Gillespie, R.G.; Matthews, T.J.; Santos, A.M.C.; et al. Global Island Monitoring Scheme (GIMS): A Proposal for the Long-Term Coordinated Survey and Monitoring of Native Island Forest Biota. Biodivers. Conserv. 2018, 27, 2567–2586. [Google Scholar] [CrossRef]
- Ives, A.R.; Einarsson, Á.; Jansen, V.A.A.; Gardarsson, A. High-Amplitude Fluctuations and Alternative Dynamical States of Midges in Lake Myvatn. Nature 2008, 452, 84–87. [Google Scholar] [CrossRef]
- Bjørnstad, O.N.; Grenfell, B.T. Noisy Clockwork: Time Series Analysis of Population Fluctuations in Animals. Science 2001, 293, 638–643. [Google Scholar] [CrossRef]
- Grimbacher, P.S.; Stork, N.E. Seasonality of a Diverse Beetle Assemblage Inhabiting Lowland Tropical Rain Forest in Australia. Biotropica 2009, 41, 328–337. [Google Scholar] [CrossRef]
- Beng, K.C.; Corlett, R.T.; Tomlinson, K.W. Seasonal Changes in the Diversity and Composition of the Litter Fauna in Native Forests and Rubber Plantations. Sci. Rep. 2018, 8, 10232. [Google Scholar] [CrossRef]
- Baker, N.J.; Welti, E.A.R.; Pilotto, F.; Jourdan, J.; Beudert, B.; Huttunen, K.; Muotka, T.; Paavola, R.; Göthe, E.; Haase, P. Seasonal and Spatial Variation of Stream Macroinvertebrate Taxonomic and Functional Diversity across Three Boreal Regions. Insect. Conserv. Divers. 2023, 16, 266–284. [Google Scholar] [CrossRef]
- Loh, J.; Green, R.E.; Ricketts, T.; Lamoreux, J.; Jenkins, M.; Kapos, V.; Randers, J. The Living Planet Index: Using Species Population Time Series to Track Trends in Biodiversity. Philos. Trans. R. Soc. Lond. Ser. B Biol. Sci. 2005, 360, 289–295. [Google Scholar] [CrossRef] [PubMed]
- Huebner, C.D. Patterns of Invasive Plant Abundance in Disturbed versus Undisturbed Forests within Three Land Types over 16 Years. Divers. Distrib. 2021, 27, 130–143. [Google Scholar] [CrossRef]
- Lamarre, G.P.A.; Pardikes, N.A.; Segar, S.; Hackforth, C.N.; Laguerre, M.; Vincent, B.; Lopez, Y.; Perez, F.; Bobadilla, R.; Silva, J.A.R.; et al. More Winners than Losers over 12 Years of Monitoring Tiger Moths (Erebidae: Arctiinae) on Barro Colorado Island, Panama. Biol. Lett. 2022, 18, 20210519. [Google Scholar] [CrossRef] [PubMed]
- Dornelas, M.; Magurran, A.E.; Buckland, S.T.; Chao, A.; Chazdon, R.L.; Colwell, R.K.; Curtis, T.; Gaston, K.J.; Gotelli, N.J.; Kosnik, M.A.; et al. Quantifying Temporal Change in Biodiversity: Challenges and Opportunities. Proc. R. Soc. B Biol. Sci. 2013, 280, 20121931. [Google Scholar] [CrossRef]
- Halsch, C.A.; Shapiro, A.M.; Fordyce, J.A.; Nice, C.C.; Thorne, J.H.; Waetjen, D.P.; Forister, M.L. Insects and Recent Climate Change. Proc. Natl. Acad. Sci. USA 2021, 118, e2002543117. [Google Scholar] [CrossRef]
- Vaughan, H.; Brydges, T.; Fenech, A.; Lumb, A. Monitoring Long-Term Ecological Changes Through the Ecological Monitoring and Assessment Network: Science-Based and Policy Relevant. Environ. Monit. Assess. 2001, 67, 3–28. [Google Scholar] [CrossRef]
- Caughlan, L.; Oakley, K.L. Cost Considerations for Long-Term Ecological Monitoring. Ecol. Indic. 2001, 1, 123–134. [Google Scholar] [CrossRef]
- Stephenson, P.J.; Londoño-Murcia, M.C.; Borges, P.A.V.; Claassens, L.; Frisch-Nwakanma, H.; Ling, N.; McMullan-Fisher, S.; Meeuwig, J.J.; Unter, K.M.M.; Walls, J.L.; et al. Measuring the Impact of Conservation: The Growing Importance of Monitoring Fauna, Flora and Funga. Diversity 2022, 14, 824. [Google Scholar] [CrossRef]
- Neff, C. The Azores—A Forgotten Biodiversity Hotspot. Geoöko 2001, XXII, 189–201. [Google Scholar]
- Costa, R.; Borges, P. SLAM Project—Long Term Ecological Study of the Impacts of Climate Change in the Natural Forest of Azores: I—The Spiders from Native Forests of Terceira and Pico Islands (2012–2019). Biodivers. Data J. 2021, 9, e69924. [Google Scholar] [CrossRef] [PubMed]
- Borges, P.; Lamelas-López, L.; Tsafack, N.; Boieiro, M.; Ros-Prieto, A.; Gabriel, R.; Nunes, R.; Ferreira, M.T. SLAM Project—Long Term Ecological Study of the Impacts of Climate Change in the Natural Forest of Azores: III—Testing the Impact of Edge Effects in a Native Forest of Terceira Island. Biodivers. Data J. 2022, 10, e85971. [Google Scholar] [CrossRef]
- Lhoumeau, S.; Cardoso, P.; Boieiro, M.; Ros-Prieto, A.; Costa, R.; Lamelas-Lopez, L.; Leite, A.; Amorim do Rosário, I.; Gabriel, R.; Malumbres-Olarte, J.; et al. SLAM Project—Long Term Ecological Study of the Impacts of Climate Change in the Natural Forests of Azores: V—New Records of Terrestrial Arthropods after Ten Years of SLAM Sampling. Biodivers. Data J. 2022, 10, e97952. [Google Scholar] [CrossRef] [PubMed]
- Lhoumeau, S.; Cardoso, P.; Costa, R.; Boieiro, M.; Malumbres-Olarte, J.; Amorim, I.; Rigal, F.; Santos, A.; Gabriel, R.; Borges, P. SLAM Project—Long Term Ecological Study of the Impacts of Climate Change in the Natural Forest of Azores: IV—The Spiders of Terceira and Pico Islands (2019-2021) and General Diversity Patterns after Ten Years of Sampling. Biodivers. Data J. 2022, 10, e96442. [Google Scholar] [CrossRef] [PubMed]
- Gonçalves, M.; Bernardo, C.; Bernardino, M.; Soares, C.G. Climate Change Impacts on the Wave Energy in the Azores Islands. In Trends in Renewable Energies Offshore; CRC Press: London, UK, 2022; pp. 43–51. ISBN 978-1-00-336077-3. [Google Scholar]
- Borges, P.A.V.; Reut, M.; Ponte, N.B.; Quartau, J.A.; Fletcher, M.; Sousa, A.B.; Pollet, M.; Soares, A.O.; Marcelino, J.; Rego, C.; et al. New Records of Exotic Spiders and Insects to the Azores, and New Data on Recently Introduced Species. Arquipélago. Life Mar. Sci. 2013, 30, 57–70. [Google Scholar]
- Borges, P.A.V.; Pimentel, R.; Carvalho, R.; Nunes, R.; Wallon, S.; Prieto, A.R. Seasonal Dynamics of Arthropods in the Humid Native Forests of Terceira Island (Azores). Arquipélago. Life Mar. Sci. 2017, 34, 105–122. [Google Scholar]
- Borges, P.A.V.; Lobo, J.M.; de Azevedo, E.B.; Gaspar, C.S.; Melo, C.; Nunes, L.V. Invasibility and Species Richness of Island Endemic Arthropods: A General Model of Endemic vs. Exotic Species. J. Biogeogr. 2006, 33, 169–187. [Google Scholar] [CrossRef]
- Triantis, K.A.; Borges, P.A.V.; Ladle, R.J.; Hortal, J.; Cardoso, P.; Gaspar, C.; Dinis, F.; Mendonça, E.; Silveira, L.M.A.; Gabriel, R.; et al. Extinction Debt on Oceanic Islands. Ecography 2010, 33, 285–294. [Google Scholar] [CrossRef]
- Borges, P.A.V.; Cardoso, P.; Fattorini, S.; Rigal, F.; Matthews, T.J.; Di Biase, L.; Amorim, I.R.; Florencio, M.; Borda-de-Água, L.; Rego, C.; et al. Community Structure of Woody Plants on Islands along a Bioclimatic Gradient. Front. Biogeogr. 2018, 10, e40295. [Google Scholar] [CrossRef]
- Borges, P.; Lamelas-Lopez, L.; Andrade, R.; Lhoumeau, S.; Vieira, V.; Soares, A.; Borges, I.; Boieiro, M.; Cardoso, P.; Crespo, L.C.; et al. An Updated Checklist of Azorean Arthropods (Arthropoda). Biodivers. Data J. 2022, 10, e97682. [Google Scholar] [CrossRef]
- Rigal, F.; Cardoso, P.; Lobo, J.M.; Triantis, K.A.; Whittaker, R.J.; Amorim, I.R.; Borges, P.A.V. Functional Traits of Indigenous and Exotic Ground-Dwelling Arthropods Show Contrasting Responses to Land-Use Change in an Oceanic Island, Terceira, Azores. Divers. Distrib. 2017, 24, 36–47. [Google Scholar] [CrossRef]
- Brush, M.; Matthews, T.J.; Borges, P.A.V.; Harte, J. Land Use Change through the Lens of Macroecology: Insights from Azorean Arthropods and the Maximum Entropy Theory of Ecology. Ecography 2022, 2022, e06141. [Google Scholar] [CrossRef]
- R Core Team. R: A Language and Environment for Statistical Computing; R Foundation for Statistical Computing: Vienna, Austria, 2023. [Google Scholar]
- Carslaw, D.C.; Ropkins, K. Openair—An R Package for Air Quality Data Analysis. Environ. Model. Softw. 2012, 27–28, 52–61. [Google Scholar] [CrossRef]
- McLeod, A.I. Kendall: Kendall Rank Correlation and Mann-Kendall Trend Test; R Foundation: Vienna, Austria, 2022. [Google Scholar]
- Prado, P.I.; Miranda, M.D.; Chalom, A. Sads: Maximum Likelihood Models for Species Abundance Distributions; R Foundation: Vienna, Austria, 2018. [Google Scholar]
- Matthews, T.J.; Borregaard, M.K.; Ugland, K.I.; Borges, P.A.V.; Rigal, F.; Cardoso, P.; Whittaker, R.J. The Gambin Model Provides a Superior Fit to Species Abundance Distributions with a Single Free Parameter: Evidence, Implementation and Interpretation. Ecography 2014, 37, 1002–1011. [Google Scholar] [CrossRef]
- Cardoso, P.; Mammola, S.; Rigal, F.; Carvalho, J. BAT: Biodiversity Assessment Tools; R Foundation: Vienna, Austria, 2022. [Google Scholar]
- Bezanson, J.; Edelman, A.; Karpinski, S.; Shah, V.B. Julia: A Fresh Approach to Numerical Computing. SIAM Rev. 2017, 59, 65–98. [Google Scholar] [CrossRef]
- Hill, M.O. Diversity and Evenness: A Unifying Notation and Its Consequences. Ecology 1973, 54, 427–432. [Google Scholar] [CrossRef]
- Carvalho, J.C.; Cardoso, P.; Borges, P.A.V.; Schmera, D.; Podani, J. Measuring Fractions of Beta Diversity and Their Relationships to Nestedness: A Theoretical and Empirical Comparison of Novel Approaches. Oikos 2013, 122, 825–834. [Google Scholar] [CrossRef]
- Ugland, K.I.; John, P.; Lambshead, P.J.; Mcgill, B.; Gray, J.; O’Dea, N.; Ladle, R.; Whittaker, R. Modelling Dimensionality in Species Abundance Distributions: Description and Evaluation of the Gambin Model. Evol. Ecol. Res. 2007, 9, 313–324. [Google Scholar]
- Hubbell, S.P. Tropical Rain Forest Conservation and the Twin Challenges of Diversity and Rarity. Ecol. Evol. 2013, 3, 3263–3274. [Google Scholar] [CrossRef]
- ter Steege, H.; Pitman, N.C.A.; Sabatier, D.; Baraloto, C.; Salomão, R.P.; Guevara, J.E.; Phillips, O.L.; Castilho, C.V.; Magnusson, W.E.; Molino, J.-F.; et al. Hyperdominance in the Amazonian Tree Flora. Science 2013, 342, 1243092. [Google Scholar] [CrossRef]
- Hódar, J.A. The Use of Regression Equations for Estimation of Arthropod Biomass in Ecological Studies. Acta Oecologica 1996, 17, 421–433. [Google Scholar]
- Sample, B.E.; Cooper, R.J.; Greer, R.D.; Whitmore, R.C. Estimation of Insect Biomass by Length and Width. Am. Midl. Nat. 1993, 129, 234–240. [Google Scholar] [CrossRef]
- Cardoso, P.; Borges, P.A.V.; Gaspar, C. Biotic Integrity of the Arthropod Communities in the Natural Forests of Azores. Biodivers. Conserv. 2007, 16, 2883–2901. [Google Scholar] [CrossRef]
- Gaspar, C.; Borges, P.A.V.; Gaston, K.J. Diversity and Distribution of Arthropods in Native Forests of the Azores Archipelago. Arquipélago. Life Mar. Sci. 2008, 25, 1–30. [Google Scholar]
- Borges, P.A.V.; Wunderlich, J. Spider Biodiversity Patterns and Their Conservation in the Azorean Archipelago, with Descriptions of New Species. Syst. Biodivers. 2008, 6, 249–282. [Google Scholar] [CrossRef]
- Tsafack, N.; Gabriel, R.; Elias, R.; Boieiro, M.; Ferreira, M.T.; Borges, P. Arthropods and Other Biota Associated with the Azorean Trees and Shrubs: Laurus Azorica (Seub) Franco (Magnoliophyta, Magnoliopsida, Laurales, Lauraceae). Biodivers. Data J. 2022, 10, e80088. [Google Scholar] [CrossRef]
- Tsafack, N.; Pozsgai, G.; Boieiro, M.; Ros-Prieto, A.; Nunes, R.; Ferreira, M.T.; Borges, P.A.V. Edge Effects Constraint Endemic but Not Introduced Arthropod Species in a Pristine Forest on Terceira (Azores, Portugal). For. Ecol. Manag. 2023, 528, 120646. [Google Scholar] [CrossRef]
- Crossley, M.S.; Meier, A.R.; Baldwin, E.M.; Berry, L.L.; Crenshaw, L.C.; Hartman, G.L.; Lagos-Kutz, D.; Nichols, D.H.; Patel, K.; Varriano, S.; et al. No Net Insect Abundance and Diversity Declines across US Long Term Ecological Research Sites. Nat. Ecol. Evol. 2020, 4, 1368–1376. [Google Scholar] [CrossRef] [PubMed]
- Basset, Y.; Butterill, P.T.; Donoso, D.A.; Lamarre, G.P.A.; Souto-Vilarós, D.; Perez, F.; Bobadilla, R.; Lopez, Y.; Alejandro Ramírez Silva, J.; Barrios, H. Abundance, Occurrence and Time Series: Long-Term Monitoring of Social Insects in a Tropical Rainforest. Ecol. Indic. 2023, 150, 110243. [Google Scholar] [CrossRef]
- Clapham, M.E.; Karr, J.A. Environmental and Biotic Controls on the Evolutionary History of Insect Body Size. Proc. Natl. Acad. Sci. USA 2012, 109, 10927–10930. [Google Scholar] [CrossRef]
- Brown, J.H. Why Are There so Many Species in the Tropics? J. Biogeogr. 2014, 41, 8–22. [Google Scholar] [CrossRef] [PubMed]
- Baulechner, D. Convergent Evolution of Functional Traits and Implications for the Structure and Assembly of Communities. Ph.D. Thesis, Universitätsbibliothek Gießen, Giessen, Germany, 2022. [Google Scholar] [CrossRef]
- Ferreira, M.T.; Cardoso, P.; Borges, P.A.V.; Gabriel, R.; de Azevedo, E.B.; Reis, F.; Araújo, M.B.; Elias, R.B. Effects of Climate Change on the Distribution of Indigenous Species in Oceanic Islands (Azores). Clim. Chang. 2016, 138, 603–615. [Google Scholar] [CrossRef]
- Thébault, E.; Fontaine, C. Stability of Ecological Communities and the Architecture of Mutualistic and Trophic Networks. Science 2010, 329, 853–856. [Google Scholar] [CrossRef]
- de Bello, F.; Lavorel, S.; Hallett, L.M.; Valencia, E.; Garnier, E.; Roscher, C.; Conti, L.; Galland, T.; Goberna, M.; Májeková, M.; et al. Functional Trait Effects on Ecosystem Stability: Assembling the Jigsaw Puzzle. Trends Ecol. Evol. 2021, 36, 822–836. [Google Scholar] [CrossRef] [PubMed]
- Tylianakis, J.M.; Tscharntke, T.; Lewis, O.T. Habitat Modification Alters the Structure of Tropical Host–Parasitoid Food Webs. Nature 2007, 445, 202–205. [Google Scholar] [CrossRef]
- Zelnik, Y.R.; Arnoldi, J.-F.; Loreau, M. The Impact of Spatial and Temporal Dimensions of Disturbances on Ecosystem Stability. Front. Ecol. Evol. 2018, 6, 224. [Google Scholar] [CrossRef] [PubMed]
- Storch, D.; Šímová, I.; Smyčka, J.; Bohdalková, E.; Toszogyova, A.; Okie, J.G. Biodiversity Dynamics in the Anthropocene: How Human Activities Change Equilibria of Species Richness. Ecography 2022, 2022, 1–19. [Google Scholar] [CrossRef]
- Storch, D.; Okie, J.G. The Carrying Capacity for Species Richness. Glob. Ecol. Biogeogr. 2019, 28, 1519–1532. [Google Scholar] [CrossRef]
- Kéfi, S.; Domínguez-García, V.; Donohue, I.; Fontaine, C.; Thébault, E.; Dakos, V. Advancing Our Understanding of Ecological Stability. Ecol. Lett. 2019, 22, 1349–1356. [Google Scholar] [CrossRef]
- Aparício, B.A.; Cascalho, J.; Cruz, M.J.; Borges, P.A.V.; Azevedo, E.B.; Elias, R.B.; Ascensão, F. Assessing the Landscape Functional Connectivity Using Movement Maps: A Case Study with Endemic Azorean Insects. J. Insect Conserv. 2018, 22, 257–265. [Google Scholar] [CrossRef]
- Ferreira, M.T.; Cardoso, P.; Borges, P.A.V.; Gabriel, R.; de Azevedo, E.B.; Elias, R.B. Implications of Climate Change to the Design of Protected Areas: The Case Study of Small Islands (Azores). PLoS ONE 2019, 14, e0218168. [Google Scholar] [CrossRef]
- Piechnik, D.A.; Lawler, S.P.; Martinez, N.D. Food-Web Assembly during a Classic Biogeographic Study: Species’ “Trophic Breadth” Corresponds to Colonization Order. Oikos 2008, 117, 665–674. [Google Scholar] [CrossRef]
- Santos, A.M.C.; Fontaine, C.; Quicke, D.L.J.; Borges, P.A.V.; Hortal, J. Are Island and Mainland Biotas Different? Richness and Level of Generalism in Parasitoids of a Microlepidopteran in Macaronesia. Oikos 2011, 120, 1256–1262. [Google Scholar] [CrossRef]
- Urban, M.C. Accelerating Extinction Risk from Climate Change. Science 2015, 348, 571–573. [Google Scholar] [CrossRef] [PubMed]
- Otto, R.; Garzón-Machado, V.; del Arco, M.; Fernández-Lugo, S.; de Nascimento, L.; Oromí, P.; Báez, M.; Ibáñez, M.; Alonso, M.R.; Fernández-Palacios, J.M. Unpaid Extinction Debts for Endemic Plants and Invertebrates as a Legacy of Habitat Loss on Oceanic Islands. Divers. Distrib. 2017, 23, 1031–1041. [Google Scholar] [CrossRef]
- Walter, J.A.; Shoemaker, L.G.; Lany, N.K.; Castorani, M.C.N.; Fey, S.B.; Dudney, J.C.; Gherardi, L.; Portales-Reyes, C.; Rypel, A.L.; Cottingham, K.L.; et al. The Spatial Synchrony of Species Richness and Its Relationship to Ecosystem Stability. Ecology 2021, 102, e03486. [Google Scholar] [CrossRef]
- Valencia, E.; de Bello, F.; Galland, T.; Adler, P.B.; Lepš, J.; E-Vojtkó, A.; van Klink, R.; Carmona, C.P.; Danihelka, J.; Dengler, J.; et al. Synchrony Matters More than Species Richness in Plant Community Stability at a Global Scale. Proc. Natl. Acad. Sci. USA 2020, 117, 24345–24351. [Google Scholar] [CrossRef]
- Downing, A.L.; Leibold, M.A. Species Richness Facilitates Ecosystem Resilience in Aquatic Food Webs. Freshw. Biol. 2010, 55, 2123–2137. [Google Scholar] [CrossRef]
- Donohue, I.; Hillebrand, H.; Montoya, J.M.; Petchey, O.L.; Pimm, S.L.; Fowler, M.S.; Healy, K.; Jackson, A.L.; Lurgi, M.; McClean, D.; et al. Navigating the Complexity of Ecological Stability. Ecol. Lett. 2016, 19, 1172–1185. [Google Scholar] [CrossRef]
- Arnoldi, J.-F.; Loreau, M.; Haegeman, B. The Inherent Multidimensionality of Temporal Variability: How Common and Rare Species Shape Stability Patterns. Ecol. Lett. 2019, 22, 1557–1567. [Google Scholar] [CrossRef]
- Chapman, A.S.A.; Tunnicliffe, V.; Bates, A.E. Both Rare and Common Species Make Unique Contributions to Functional Diversity in an Ecosystem Unaffected by Human Activities. Divers. Distrib. 2018, 24, 568–578. [Google Scholar] [CrossRef]
- Biggs, C.R.; Yeager, L.A.; Bolser, D.G.; Bonsell, C.; Dichiera, A.M.; Hou, Z.; Keyser, S.R.; Khursigara, A.J.; Lu, K.; Muth, A.F.; et al. Does Functional Redundancy Affect Ecological Stability and Resilience? A Review and Meta-Analysis. Ecosphere 2020, 11, e03184. [Google Scholar] [CrossRef]
- Levine, J.M.; Vilà, M.; D’Antonio, C.M.; Dukes, J.S.; Grigulis, K.; Lavorel, S. Mechanisms Underlying the Impacts of Exotic Plant Invasions. Proc. Biol. Sci. 2003, 270, 775–781. [Google Scholar] [CrossRef] [PubMed]
- Heleno, R.H.; Ripple, W.J.; Traveset, A. Scientists’ Warning on Endangered Food Webs. Web Ecol. 2020, 20, 1–10. [Google Scholar] [CrossRef]
- Jiménez-García, E.; Andújar, C.; López, H.; Emerson, B.C. Towards Understanding Insect Species Introduction and Establishment: A Community-level Barcoding Approach Using Island Beetles. Mol. Ecol. 2023, mec.16962. [Google Scholar] [CrossRef] [PubMed]
- Avise, J.C. Phylogeography: The History and Formation of Species; Harvard University Press: Cambridge, MA, USA, 2000; ISBN 978-0-674-66638-2. [Google Scholar]
- Edwards, S.V.; Robin, V.V.; Ferrand, N.; Moritz, C. The Evolution of Comparative Phylogeography: Putting the Geography (and More) into Comparative Population Genomics. Genome Biol. Evol. 2022, 14, evab176. [Google Scholar] [CrossRef]
- Bobo-Pinilla, J.; Salmerón-Sánchez, E.; Mendoza-Fernández, A.J.; Mota, J.F.; Peñas, J. Conservation and Phylogeography of Plants: From the Mediterranean to the Rest of the World. Diversity 2022, 14, 78. [Google Scholar] [CrossRef]
- Emerson, B.C.; Borges, P.A.V.; Cardoso, P.; Convey, P.; deWaard, J.R.; Economo, E.P.; Gillespie, R.G.; Kennedy, S.; Krehenwinkel, H.; Meier, R.; et al. Collective and Harmonized High Throughput Barcoding of Insular Arthropod Biodiversity: Toward a Genomic Observatories Network for Islands. Mol. Ecol. 2022, mec.16683. [Google Scholar] [CrossRef]
- Carnicer, J.; Brotons, L.; Sol, D.; De Cáceres, M. Random Sampling, Abundance–Extinction Dynamics and Niche-Filtering Immigration Constraints Explain the Generation of Species Richness Gradients. Glob. Ecol. Biogeogr. 2008, 17, 352–362. [Google Scholar] [CrossRef]
- Gaston, K.J.; Blackburn, T.M. Pattern and Process in Macroecology; Blackwell Science: Oxford, UK; Malden, MA, USA, 2000; Volume 392. [Google Scholar]
- Elton, C.S. The Ecology of Invasions by Animals and Plants; Springer: New York, NY, USA, 1958; ISBN 978-1-4899-7214-9. [Google Scholar]
- Levine, J.M.; D’Antonio, C.M. Elton Revisited: A Review of Evidence Linking Diversity and Invasibility. Oikos 1999, 87, 15–26. [Google Scholar] [CrossRef]
- Dubart, M.; Pointier, J.-P.; Jarne, P.; David, P. Niche Filtering, Competition and Species Turnover in a Metacommunity of Freshwater Molluscs. Oikos 2022, 2022, e09157. [Google Scholar] [CrossRef]
- Lim, J.Y.; Patiño, J.; Noriyuki, S.; Cayetano, L.; Gillespie, R.G.; Krehenwinkel, H. Semi-Quantitative Metabarcoding Reveals How Climate Shapes Arthropod Community Assembly along Elevation Gradients on Hawaii Island. Mol. Ecol. 2022, 31, 1416–1429. [Google Scholar] [CrossRef] [PubMed]
- Elias, R.B.; Gil, A.; Silva, L.; Fernández-Palacios, J.M.; Azevedo, E.B.; Reis, F. Natural Zonal Vegetation of the Azores Islands: Characterization and Potential Distribution. Phytocoenologia 2016, 46, 107–123. [Google Scholar] [CrossRef]
- Cadotte, M.W.; Campbell, S.E.; Li, S.-P.; Sodhi, D.S.; Mandrak, N.E. Preadaptation and Naturalization of Nonnative Species: Darwin’s Two Fundamental Insights into Species Invasion. Annu. Rev. Plant Biol. 2018, 69, 661–684. [Google Scholar] [CrossRef]
- Nicolosi, G.; Mammola, S.; Verbrugge, L.; Isaia, M. Aliens in Caves: The Global Dimension of Biological Invasions in Subterranean Ecosystems. Biol. Rev. 2023, 98, 849–867. [Google Scholar] [CrossRef] [PubMed]
- Latombe, G.; Roura-Pascual, N.; Hui, C. Similar Compositional Turnover but Distinct Insular Environmental and Geographical Drivers of Native and Exotic Ants in Two Oceans. J. Biogeogr. 2019, 46, 2299–2310. [Google Scholar] [CrossRef]
- Blandenier, G. Ballooning of Spiders (Araneae) in Switzerland: General Results from an Eleven-Year Survey. Arachnology 2009, 14, 308–316. [Google Scholar] [CrossRef]
- Malumbres-Olarte, J.; Barratt, B.I.P.; Vink, C.J.; Paterson, A.M.; Cruickshank, R.H.; Ferguson, C.M.; Barton, D.M. Big and Aerial Invaders: Dominance of Exotic Spiders in Burned New Zealand Tussock Grasslands. Biol. Invasions 2014, 16, 2311–2322. [Google Scholar] [CrossRef]










Disclaimer/Publisher’s Note: The statements, opinions and data contained in all publications are solely those of the individual author(s) and contributor(s) and not of MDPI and/or the editor(s). MDPI and/or the editor(s) disclaim responsibility for any injury to people or property resulting from any ideas, methods, instructions or products referred to in the content. |
© 2023 by the authors. Licensee MDPI, Basel, Switzerland. This article is an open access article distributed under the terms and conditions of the Creative Commons Attribution (CC BY) license (https://creativecommons.org/licenses/by/4.0/).
Share and Cite
Lhoumeau, S.; Borges, P.A.V. Assessing the Impact of Insect Decline in Islands: Exploring the Diversity and Community Patterns of Indigenous and Non-Indigenous Arthropods in the Azores Native Forest over 10 Years. Diversity 2023, 15, 753. https://doi.org/10.3390/d15060753
Lhoumeau S, Borges PAV. Assessing the Impact of Insect Decline in Islands: Exploring the Diversity and Community Patterns of Indigenous and Non-Indigenous Arthropods in the Azores Native Forest over 10 Years. Diversity. 2023; 15(6):753. https://doi.org/10.3390/d15060753
Chicago/Turabian StyleLhoumeau, Sébastien, and Paulo A. V. Borges. 2023. "Assessing the Impact of Insect Decline in Islands: Exploring the Diversity and Community Patterns of Indigenous and Non-Indigenous Arthropods in the Azores Native Forest over 10 Years" Diversity 15, no. 6: 753. https://doi.org/10.3390/d15060753
APA StyleLhoumeau, S., & Borges, P. A. V. (2023). Assessing the Impact of Insect Decline in Islands: Exploring the Diversity and Community Patterns of Indigenous and Non-Indigenous Arthropods in the Azores Native Forest over 10 Years. Diversity, 15(6), 753. https://doi.org/10.3390/d15060753

