Coastal Forest Structure Survey and Associated Land Crab Population in Suao Dakenggu Community, Yilan, Taiwan
Abstract
1. Introduction
2. Materials and Methods
2.1. Diameter at Breast Height and Tree Height Measurement
2.2. Aerial Photography and Horizontal Distribution of Main Planting Tree Species
2.3. Land Crab Survey in the Coastal Forest
3. Results
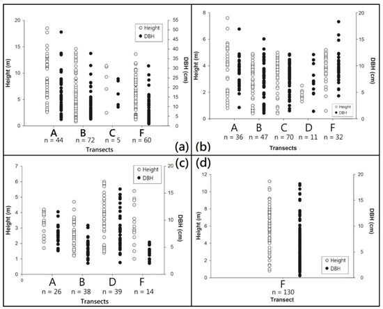
3.1. Comparison of DBHs and Tree Heights of the Same Species in Different Transects
3.2. Estimation of the Area of Coastal Forest Main Planting Tree Species
3.3. Land Crab Survey in the Coastal Forest
4. Discussion
4.1. Comparison of Tree Heights of the Same Species with DBH in Coastal Forests
4.2. Discussion on Coastal Forest Area
4.3. Land Crab and Coastal Forest
Author Contributions
Funding
Data Availability Statement
Acknowledgments
Conflicts of Interest
References
- Chang, C.-W.; Mori, N. Green infrastructure for the reduction of coastal disasters: A review of the protective role of coastal forests against tsunami, storm surge, and wind waves. Coast. Eng. J. 2021, 63, 370–385. [Google Scholar] [CrossRef]
- Benedict, M.A.; McMahon, E.T. Green infrastructure: Smart conservation for the 21st century. Renew. Resour. J. 2002, 20, 12–17. [Google Scholar]
- Grabowski, Z.J.; McPhearson, T.; Matsler, A.M.; Groffman, P.; Pickett, S.T. What is green infrastructure? A study of definitions in US city planning. Front. Ecol. Environ. 2022, 20, 152–160. [Google Scholar] [CrossRef]
- Reguero, B.G.; Beck, M.W.; Bresch, D.N.; Calil, J.; Meliane, I. Comparing the cost effectiveness of nature-based and coastal adaptation: A case study from the Gulf Coast of the United States. PloS ONE 2018, 13, e0192132. [Google Scholar] [CrossRef] [PubMed]
- Miah, M.A.Q.; Moula, M.G. Growth and Yield of Avicennia Officinalis (Baen) L. And Heritiera Fomes (Sundri) Buch. Ham. Plantations Established From Plus Tree Seeds in the Western Coastal Belt of Bangladesh. J. Asiat. Soc. Bangladesh Sci. 2020, 46, 209–214. [Google Scholar] [CrossRef]
- Iwasaki, K.; Nanko, K.; Nakata, Y.; Masaka, K.; Shinohara, Y.; Nitta, K.; Mizunaga, H. Port construction alters dune topography and coastal forest growth: A study on forest decline due to coastal erosion. Ecol. Eng. 2022, 180, 106640. [Google Scholar] [CrossRef]
- Lee, S.D.; Kim, M.J. Effects of disaster prevention of a coastal forest considering wave attenuation ability. J. Korean Soc. Hazard Mitig. 2014, 14, 381–388. [Google Scholar] [CrossRef]
- van Wesenbeeck, B.K.; Wolters, G.; Antolínez, J.A.; Kalloe, S.A.; Hofland, B.; de Boer, W.P.; Çete, C.; Bouma, T.J. Wave attenuation through forests under extreme conditions. Sci. Rep. 2022, 12, 1884. [Google Scholar] [CrossRef]
- Spalding, M.D.; Ruffo, S.; Lacambra, C.; Meliane, I.; Hale, L.Z.; Shepard, C.C.; Beck, M.W. The role of ecosystems in coastal protection: Adapting to climate change and coastal hazards. Ocean Coast. Manag. 2014, 90, 50–57. [Google Scholar] [CrossRef]
- Tanaka, N.; Sasaki, Y.; Mowjood, M.; Jinadasa, K.; Homchuen, S. Coastal vegetation structures and their functions in tsunami protection: Experience of the recent Indian Ocean tsunami. Landsc. Ecol. Eng. 2007, 3, 33–45. [Google Scholar] [CrossRef]
- Williams, K.; Ewel, K.C.; Stumpf, R.P.; Putz, F.E.; Workman, T.W. Sea-level rise and coastal forest retreat on the west coast of Florida, USA. Ecology 1999, 80, 2045–2063. [Google Scholar] [CrossRef]
- Williams, K.; MacDonald, M.; Sternberg, L.d.S.L. Interactions of storm, drought, and sea-level rise on coastal forest: A case study. J. Coast. Res. 2003, 19, 1116–1121. [Google Scholar]
- Danielsen, F.; Sørensen, M.; Olwig, M.F.; Selvam, V.; Parish, F.; Burgess, N.; Topp-Jørgensen, E.; Hiraishi, T.; Karunagaran, V.; Rasmussen, M. Coastal vegetation and the Asian tsunami–Response. Science 2006, 311, 37–38. [Google Scholar]
- Hoque, A.; Husrin, S.; Oumeraci, H. Laboratory studies of wave attenuation by coastal forest under storm surge. Coast. Eng. J. 2018, 60, 225–238. [Google Scholar] [CrossRef]
- McIvor, A.; Spencer, T.; Möller, I.; Spalding, M. Storm surge reduction by mangroves. Natural Coastal Protection Series: Report 2. Cambridge Coastal Research Unit Working Paper 41; The Nature Conservancy and Wetlands International: Horapark, The Netherlands, 2012. [Google Scholar]
- FitzGibbon, C.D.; Mogaka, H.; Fanshawe, J.H. Subsistence hunting and mammal conservation in a Kenyan coastal forest: Resolving a conflict. In The Exploitation of Mammal Populations; Springer: Berlin/Heidelberg, Germany, 1996; pp. 147–159. [Google Scholar]
- Van Be, N. Evaluation of Coastal Forest and Fishery Resources Management Strategies in Camau and Bentre Provinces in the Mekong Delta, Vietnam; The University of the Philippines: Quezon City, Philippines, 2000. [Google Scholar]
- Sills, E.O.; Müller, V.Y. Nature Tourism in Protected Areas of the Atlantic Coastal Forest of Brazil; Southeastern Center for Forest Economics Research: Research Triangle Park, NC, USA, 1997. [Google Scholar]
- Luodong Forest District Office, Forestry Bureau, Agriculture Committee, Executive Yuan. Research on the Method of Building Stratified Forest Facies in the Coastal Forest Belt of Yilan Area; Luodong Forest District Office, Forestry Bureau, Agriculture Committee, Executive Yuan: Taibei, Taiwan, 2010; p. 49. [Google Scholar]
- Lin, S.H.; Chen, M.Y.; Chen, C.Y. A study of the physiological and ecological characteristics of C. equisetifolia. Mod. Silvic. 1987, 3, 41–48. [Google Scholar]
- Tseng, S.C.; Kao, S.R.; Li, Y.C. Physiological Effects of Salt Foam onCasuarina equisetifolia. Q. J. Chin. For. 1991, 24, 27–34. [Google Scholar]
- Diem, H.; Dommergues, Y. Current and potential uses and management of Casuarinaceae in the tropics and subtropics; The Biology of Frankia and Actinorhizal Plants; Academic Press Limited: London, UK, 1990. [Google Scholar]
- Tomar, O.; Minhas, P.S.; Sharma, V.K.; Singh, Y.P.; Gupta, R.K. Performance of 31 tree species and soil conditions in a plantation established with saline irrigation. For. Ecol. Manag. 2003, 177, 333–346. [Google Scholar] [CrossRef]
- National Research Council. Casuarinas: Nitrogen-Fixing Trees for Adverse Sites; The National Academies Press: Washington, DC, USA, 1930. [Google Scholar]
- Murphy, F. Up for crabs: Making a home for red-clawed crustaceans in Taiwan. Nature 2022, 603, 962. [Google Scholar] [CrossRef]
- Lindquist, E.S.; Krauss, K.W.; Green, P.T.; O’Dowd, D.J.; Sherman, P.M.; Smith, T.J., III. Land crabs as key drivers in tropical coastal forest recruitment. Biol. Rev. 2009, 84, 203–223. [Google Scholar] [CrossRef]
- Alexander, H. A preliminary assessment of the role of the terrestrial decapod crustaceans in the Aldabran ecosystem. Philos. Trans. R. Soc. Lond. B Biol. Sci. 1979, 286, 241–246. [Google Scholar]
- Burggren, W.W.; McMahon, B.R. Biology of the Land Crabs; Cambridge University Press: Cambridge, UK, 1988. [Google Scholar]
- Lee, M.A.B. The dispersal of Pandanus tectorius by the land crab Cardisoma carnifex. Oikos 1985, 45, 169–173. [Google Scholar] [CrossRef]
- Subba Rao, N.; Rodruquez Barrueco, C. Casuarinas. Oxford & IBH: New Delhi, India, 1995. [Google Scholar]
- Duponnois, R.; Diédhiou, S.; Chotte, J.; Sy, M.O. Relative importance of the endomycorrhizal and (or) ectomycorrhizal associations in Allocasuarina and Casuarina genera. Can. J. Microbiol. 2003, 49, 281–287. [Google Scholar] [CrossRef]
- He, X.; Critchley, C. Frankia nodulation, mycorrhization and interactions between Frankia and mycorrhizal fungi in Casuarina plants. In Mycorrhiza: State of the Art, Genetics and Molecular Biology, Eco-Function, Biotechnology, Eco-Physiology, Structure and Systematics; Springer: Berlin/Heidelberg, Germany, 2008; pp. 767–781. [Google Scholar]
- Bhuiyan, M.; Hossain, M.; Osman, K. Effect of inorganic fertilizers on the initial growth performance of Casuarina equisetifolia seedlings in the nursery. Indian J. For. 2000, 23, 296–300. [Google Scholar]
- Liao, Y.W.; Chao, S.P.; Chen, Y.K.; Chung, Y.L. Root System Studies at Five Species of Coastal Protect Forests in Taiwan. Hwa Kang J. Agric. 2011, 26, 113–127. [Google Scholar]
- Thomson, L.A.; Englberger, L.; Guarino, L.; Thaman, R.; Elevitch, C.R. Pandanus tectorius (pandanus). In Species Profiles for Pacific Island Agroforestry; Western Region Sustainable Agriculture Research and Education: Holualoa, HI, USA, 2006. [Google Scholar]
- Susanti, R.; Suzuki, E.; Miyamoto, J.; Abe, M.; Uchiumi, T. Differences in the growth of beach Pandan, Pandanus odoratissimus, between tropical (Java) and subtropical (southern Japan) zones. Tropics 2012, 21, 81–90. [Google Scholar] [CrossRef]
- Elevitch, C.R.; Thomson, L.A. Hibiscus tiliaceus (beach hibiscus). In Species Profiles for Pacific Island Agroforestry; Western Region Sustainable Agriculture Research and Education: Holualoa, HI, USA, 2006. [Google Scholar]
- Zhu, J.; Matsuzaki, T.; Gonda, Y. Optical stratification porosity as a measure of vertical canopy structure in a Japanese coastal forest. For. Ecol. Manag. 2003, 173, 89–104. [Google Scholar] [CrossRef]
- Burley, S.T.; Harper, K.A.; Lundholm, J.T. Vegetation composition, structure and soil properties across coastal forest–barren ecotones. Plant Ecol. 2010, 211, 279–296. [Google Scholar] [CrossRef]
- Kim, S.-H.; Choi, S.-H. The structure and ecological characteristics of coastal forest in Busan metropolitan city. Korean J. Environ. Ecol. 2007, 21, 67–73. [Google Scholar]
- Kamada, M.; Inai, S. Ecological Evaluation of Landscape Components of the Tokushima Central Park Through Red-Clawed Crab (Chiromantes haematocheir). In Urban Biodiversity and Ecological Design for Sustainable Cities; Springer: Berlin/Heidelberg, Germany, 2021; pp. 199–215. [Google Scholar]
- Maggs, J. Litter fall and retranslocation of nutrients in a refertilized and prescribed burned Pinus elliottii plantation. For. Ecol. Manag. 1985, 12, 253–268. [Google Scholar] [CrossRef]
- Hsu, C.-H.; Lin, T.-E. Exploring the participation motivations of ongoing and former citizen scientists in Taiwan Roadkill Observation Network. J. Nat. Conserv. 2021, 64, 126055. [Google Scholar] [CrossRef]
- Hsu, C.-H.; Lin, T.-E.; Fang, W.-T.; Liu, C.-C. Taiwan Roadkill Observation Network: An example of a community of practice contributing to Taiwanese environmental literacy for sustainability. Sustainability 2018, 10, 3610. [Google Scholar] [CrossRef]
- Hsu, C.-H.; Lin, T.-E. What people learn from death: Exploring citizen scientists’ learning outcomes in Taiwan Roadkill Observation Network from an environmental education perspective. Environ. Educ. Res. 2023, 1–15. [Google Scholar] [CrossRef]
- Hsu, C.-H.; Soong, K. Mechanisms causing size differences of the land hermit crab Coenobita rugosus among eco-islands in Southern Taiwan. PloS ONE 2017, 12, e0174319. [Google Scholar] [CrossRef]
- Hsu, C.-H.; Liang, Y.-B.; Li, J.-J.; Liu, C.-C. Ecological information of land hermit crabs (Crustacea: Decapoda: Anomura: Coenobitidae) and new record in Dongsha Atoll National Park, Taiwan. Taiwania 2019, 64, 299–306. [Google Scholar]
- Hsu, C.-H.; Otte, M.L.; Liu, C.-C.; Chou, J.-Y.; Fang, W.-T. What are the sympatric mechanisms for three species of terrestrial hermit crab (Coenobita rugosus, C. brevimanus, and C. cavipes) in coastal forests? PloS ONE 2018, 13, e0207640. [Google Scholar] [CrossRef]
- Huang, S.-H.; Hsu, C.-H. First record of crab-eating mongoose (Herpestes urva formosanus) in coastal forest and use of anvils during predation on land hermit crabs in Taiwan. Acta Ethol. 2022, 25, 185–189. [Google Scholar] [CrossRef]
- Hata, K.; Kato, H.; Kachi, N. Litter of an alien tree, Casuarina equisetifolia, inhibits seed germination and initial growth of a native tree on the Ogasawara Islands (subtropical oceanic islands). J. For. Res. 2010, 15, 384–390. [Google Scholar] [CrossRef]
- Hsu, C.-H.; Chang, Y.-M.; Liu, C.-C. Can Short-Term Citizen Science Training Increase Knowledge, Improve Attitudes, and Change Behavior to Protect Land Crabs? Sustainability 2019, 11, 3918. [Google Scholar] [CrossRef]








| Transects | (V.S) | U Value | p Value of Tree Height | U Value | p Value of Tree DBH | 
|---|---|---|---|---|---|
| A | B | 832 | <0.001 *** | 821 | <0.001 *** | 
| A | C | 96.5 | 0.66 | 86 | 0.43 | 
| A | F | 699.5 | <0.001 *** | 716 | <0.001 *** | 
| B | C | 102 | 0.11 | 45 | 0.005 ** | 
| B | F | 2098.5 | 0.78 | 2142 | 0.93 | 
| C | F | 77.5 | 0.07 | 46 | 0.01 * | 
| Transects | N | 25% | Median | 75% | Mean Rank | 
|---|---|---|---|---|---|
| A | 44 | 5.6 | 8.9 | 12 | 122.5 | 
| B | 72 | 2.3 | 4.5 | 7.4 | 78.6 | 
| C | 5 | 5.9 | 9.3 | 11.3 | 118.4 | 
| F | 60 | 2 | 5.7 | 8.2 | 80.5 | 
| Total | 181 | 2.9 | 5.9 | 9.1 | 
| Transects | N | 25% | Median | 75% | Mean Rank | 
|---|---|---|---|---|---|
| A | 44 | 5.6 | 14.0 | 20.4 | 121.5 | 
| B | 72 | 2.3 | 4.7 | 9.2 | 78.3 | 
| C | 5 | 10.8 | 16.4 | 23.2 | 143.6 | 
| F | 60 | 1.2 | 6.4 | 10.9 | 79.5 | 
| Total | 181 | 2.6 | 6.8 | 13.2 | 
| Transects | (V.S) | U Value | p Value of Tree Height | U Value | p Value of Tree DBH | 
|---|---|---|---|---|---|
| A | B | 630 | 0.047 * | 660 | 0.09 | 
| A | C | 1208.5 | 0.73 | 1109 | 0.32 | 
| A | D | 68.5 | 0.001 ** | 138 | 0.13 | 
| A | F | 550 | 0.75 | 420.5 | 0.06 | 
| B | C | 1184 | 0.01 * | 1408 | 0.19 | 
| B | D | 143.5 | 0.02 * | 242 | 0.74 | 
| B | F | 491 | 0.009 ** | 442 | 0.002 ** | 
| C | D | 98.5 | <0.001 *** | 300 | 0.24 | 
| C | F | 1046 | 0.59 | 678.5 | 0.0014 ** | 
| D | F | 17.5 | <0.001 *** | 93 | 0.02 * | 
| Transects | N | 25% | Median | 75% | Mean Rank | 
|---|---|---|---|---|---|
| A | 36 | 1.95 | 3.85 | 4.8 | 108.8 | 
| B | 47 | 1.53 | 3 | 3.98 | 81 | 
| C | 70 | 3.1 | 3.8 | 4.3 | 107.4 | 
| D | 11 | 1.53 | 1.6 | 1.95 | 35.8 | 
| F | 32 | 3.35 | 3.75 | 4.5 | 114.7 | 
| Total | 196 | 2.15 | 3.6 | 4.3 | 
| Transects | N | 25% | Median | 75% | Mean Rank | 
|---|---|---|---|---|---|
| A | 36 | 7.1 | 8.9 | 10.3 | 105.2 | 
| B | 47 | 4.9 | 7.4 | 9.7 | 83.3 | 
| C | 70 | 7 | 8.6 | 9.8 | 94.6 | 
| D | 11 | 5.1 | 7 | 10 | 76.3 | 
| F | 32 | 8.7 | 10.2 | 11.2 | 129.4 | 
| Total | 196 | 6.8 | 8.8 | 10.4 | 
| Transects | (V.S) | U Value | p Value of Tree Height | U Value | p Value of Tree DBH | 
|---|---|---|---|---|---|
| A | B | 234 | 0.0004 ** | 121 | <0.0001 *** | 
| A | D | 424.5 | 0.27 | 426 | 0.28 | 
| A | F | 162 | 0.57 | 48.5 | 0.0002 ** | 
| B | D | 388.5 | 0.003 ** | 208.5 | <0.0001 *** | 
| B | F | 194 | 0.14 | 230 | 0.46 | 
| D | F | 220.5 | 0.29 | 90.5 | 0.0002 ** | 
| Transects | N | 25% | Median | 75% | Mean Rank | 
|---|---|---|---|---|---|
| A | 26 | 2.8 | 3.5 | 3.9 | 66.6 | 
| B | 38 | 2 | 2.7 | 3.2 | 41 | 
| D | 39 | 2.8 | 3.6 | 4.8 | 71.5 | 
| F | 14 | 2.4 | 3 | 4.5 | 59 | 
| Total | 117 | 2.4 | 3.2 | 3.9 | 
| Transects | N | 25% | Median | 75% | Mean Rank | 
|---|---|---|---|---|---|
| A | 26 | 5.5 | 6.4 | 6.9 | 75.4 | 
| B | 38 | 2.9 | 3.5 | 4.9 | 34.2 | 
| D | 39 | 4.9 | 6.6 | 10.6 | 79.4 | 
| F | 14 | 2.9 | 4.2 | 5.5 | 39 | 
| Total | 117 | 3.7 | 5.3 | 6.7 | 
| Transect | Category | N | 25% | Median | 75% | 
|---|---|---|---|---|---|
| F | Tree height | 130 | 3.5 | 4.9 | 6.6 | 
| F | Tree DBH | 130 | 2.9 | 5.1 | 7.8 | 
| North Side of Coastal Forest (m2) | Percentage of North Side (%) | South Side of Coastal Forest (m2) | Percentage of South Side (%) | Total Area of Each Species (m2) | Each Species in Total Percentage (%) | |
|---|---|---|---|---|---|---|
| Casuarina equisetifolia | 13,598.5 | 32.38 | 21,410.85 | 29.87 | 35,009.35 | 30.8 | 
| Pandanus tectorius | 3402.26 | 8.1 | 9670.53 | 13.49 | 13,072.79 | 11.5 | 
| Cerbera manghas | 767.54 | 1.83 | 3857.78 | 5.38 | 4625.32 | 4.07 | 
| Hibiscus tiliaceus | 4393.81 | 10.46 | 1520.28 | 2.12 | 5914.09 | 5.2 | 
| Grass | 7407.04 | 17.64 | 19,334.07 | 26.97 | 26,741.10 | 23.52 | 
| Others | 12,431.63 | 29.6 | 15,881.85 | 22.16 | 28,313.48 | 24.91 | 
| Total | 42,000.78 | 100 | 71,675.36 | 100 | 113,676.14 | 100 | 
| Hibiscus tiliaceus | Pandanus tectoriu | Fisher Exact Test p Value | |
|---|---|---|---|
| Chiromantes haematocheir | 52 | 3 | |
| Coenobita cavipes | 5 | 6 | <0.001 *** | 
| Chiromantes haematocheir | 52 | 3 | |
| Metasesarma aubryi | 5 | 3 | 0.02 * | 
| Coenobita cavipes | 5 | 6 | |
| Metasesarma aubryi | 5 | 3 | 0.65 | 
| Disclaimer/Publisher’s Note: The statements, opinions and data contained in all publications are solely those of the individual author(s) and contributor(s) and not of MDPI and/or the editor(s). MDPI and/or the editor(s) disclaim responsibility for any injury to people or property resulting from any ideas, methods, instructions or products referred to in the content. | 
© 2023 by the authors. Licensee MDPI, Basel, Switzerland. This article is an open access article distributed under the terms and conditions of the Creative Commons Attribution (CC BY) license (https://creativecommons.org/licenses/by/4.0/).
Share and Cite
Hsu, C.-H.; Fang, W.-T.; Chiu, H.-K.; Kao, W.-C.; Huang, T.-S. Coastal Forest Structure Survey and Associated Land Crab Population in Suao Dakenggu Community, Yilan, Taiwan. Diversity 2023, 15, 515. https://doi.org/10.3390/d15040515
Hsu C-H, Fang W-T, Chiu H-K, Kao W-C, Huang T-S. Coastal Forest Structure Survey and Associated Land Crab Population in Suao Dakenggu Community, Yilan, Taiwan. Diversity. 2023; 15(4):515. https://doi.org/10.3390/d15040515
Chicago/Turabian StyleHsu, Chia-Hsuan, Wei-Ta Fang, Hung-Kai Chiu, Wei-Cheng Kao, and Tsung-Shun Huang. 2023. "Coastal Forest Structure Survey and Associated Land Crab Population in Suao Dakenggu Community, Yilan, Taiwan" Diversity 15, no. 4: 515. https://doi.org/10.3390/d15040515
APA StyleHsu, C.-H., Fang, W.-T., Chiu, H.-K., Kao, W.-C., & Huang, T.-S. (2023). Coastal Forest Structure Survey and Associated Land Crab Population in Suao Dakenggu Community, Yilan, Taiwan. Diversity, 15(4), 515. https://doi.org/10.3390/d15040515
 
        


 
       