Study of Rhizosphere Microbial Community Structures of Asian Wild and Cultivated Rice Showed That Cultivated Rice Had Decreased and Enriched Some Functional Microorganisms in the Process of Domestication
Abstract
1. Introduction
2. Materials and Methods
2.1. Research Materials
2.2. Pot Experiments
2.3. Extraction of Soil DNA and High-Throughput Sequencing
2.4. Comparisons of Bacterial Functions of the Wild and Cultivated Rice
2.5. Data Analysis
3. Result
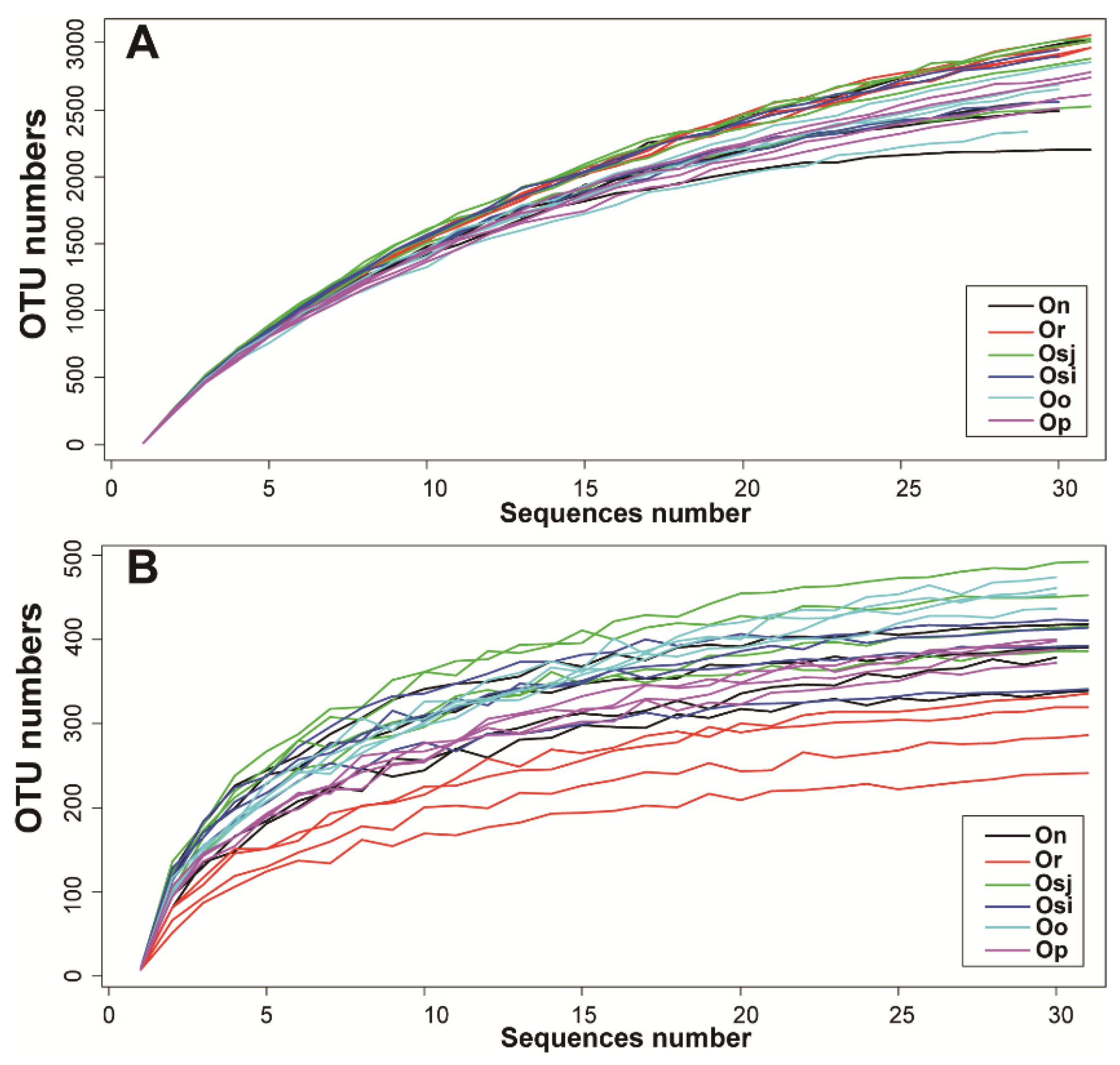
3.1. Raw Sequencing Data and Alpha Diversity
3.2. Study on the Beta Diversity of Microorganisms in the Plants’ Rhizospheres
3.3. Differences between Bacteria and Fungi at the Phylum Level
3.4. Functional Analysis of Rhizosphere Bacteria of the Wild and Cultivated Rice
4. Discussion
4.1. Diversity of Bacteria and Fungi between Different Rice Varieties
4.2. Potential Functions of Bacteria and Fungi in Cultivated and Wild Rice
5. Conclusions
Author Contributions
Funding
Institutional Review Board Statement
Informed Consent Statement
Data Availability Statement
Acknowledgments
Conflicts of Interest
References
- Wang, E.; Lin, X.; Tian, L.; Wang, X.; Ji, L.; Jin, F.; Tian, C. Effects of Short-Term Rice Straw Return on the Soil Microbial Community. Agriculture 2021, 11, 561. [Google Scholar] [CrossRef]
- Chang, J.; Shi, S.; Tian, L.; Leite, M.F.A.; Chang, C.; Ji, L.; Ma, L.; Tian, C.; Kuramae, E.E. Self-Crossing Leads to Weak Co-Variation of the Bacterial and Fungal Communities in the Rice Rhizosphere. Microorganisms 2021, 9, 175. [Google Scholar] [CrossRef]
- Ngalimat, M.S.; Mohd Hata, E.; Zulperi, D.; Ismail, S.I.; Ismail, M.R.; Mohd Zainudin, N.A.I.; Saidi, N.B.; Yusof, M.T. Plant Growth-Promoting Bacteria as an Emerging Tool to Manage Bacterial Rice Pathogens. Microorganisms 2021, 9, 682. [Google Scholar] [CrossRef]
- Aggarwal, S.K.; Neelam, K.; Jain, J.; Kaur, R.; Pannu, P.P.S.; Lenka, S.K.; Lore, J.S.; Singh, K. Identification of promising resistance sources against sheath blight from the annual wild species of rice Oryza nivara (Sharma et Shastry). Plant Genet. Resour. Charact. Util. 2019, 17, 554–558. [Google Scholar] [CrossRef]
- Gao, L.; Wei, C.; Yang, Q.; Hong, D.; Ge, S. Intra-Population Genetic Structure of Oryza rufipogon Griff. in Yunnan, China. J. Plant Res. 2001, 114, 107–113. [Google Scholar] [CrossRef]
- Jena, K.K.; Ballesfin, M.L.E.; Vinarao, R.B. Development of Oryza sativa L. by Oryza punctata Kotschy ex Steud. monosomic addition lines with high value traits by interspecific hybridization. Theor. Appl. Genet. 2016, 129, 1873–1886. [Google Scholar] [CrossRef] [PubMed]
- Kim, H.; Miguel, P.S.; Nelson, W.; Collura, K.; Wissotski, M.; Walling, J.G.; Kim, J.P.; Jackson, S.A.; Soderlund, C.; Wing, R.A. Comparative physical mapping between Oryza sativa (AA genome type) and O. punctata (BB genome type). Genetics 2007, 176, 379–390. [Google Scholar] [CrossRef]
- Kumar, K.; Neelam, K.; Singh, G.; Mathan, J.; Ranjan, A.; Brar, D.S.; Singh, K. Production and cytological characterization of a synthetic amphiploid derived from a cross between Oryza sativa and Oryza punctata. Genome 2019, 62, 705–714. [Google Scholar] [CrossRef] [PubMed]
- Uga, Y.; Fukuta, Y.; Ohsawa, R.; Fujimura, T. Variations of floral traits in Asian cultivated rice (Oryza sativa L.) and its wild relatives (O. rufipogon Griff.). Breed. Sci. 2003, 53, 345–352. [Google Scholar] [CrossRef][Green Version]
- Zhang, D.-L.; Wang, M.-X.; Qi, Y.-W.; Sun, J.-L.; Wang, F.-M.; Li, J.-J.; Zhang, H.-L.; Li, Z.-C. Genetic Structure and Eco-Geographical Differentiation of Cultivated Keng Rice (Oryza sativa L. subsp. japonica) in China Revealed by Microsatellites. J. Integr. Agric. 2012, 11, 1755–1766. [Google Scholar] [CrossRef]
- Zheng, X.-M.; Ge, S. Ecological divergence in the presence of gene flow in two closely related Oryza species (Oryza rufipogon and O. nivara). Mol. Ecol. 2010, 19, 2439–2454. [Google Scholar] [CrossRef]
- Tian, L.; Lin, X.; Tian, J.; Ji, L.; Chen, Y.; Tran, L.-S.P.; Tian, C. Research Advances of Beneficial Microbiota Associated with Crop Plants. Int. J. Mol. Sci. 2020, 21, 1792. [Google Scholar] [CrossRef] [PubMed]
- Sun, C.; Wang, X.; Yoshimura, A.; Doi, K. Genetic differentiation for nuclear, mitochondrial and chloroplast genomes in common wild rice (Oryza rufipogon Griff.) and cultivated rice (Oryza sativa L.). Theor. Appl. Genet. 2002, 104, 1335–1345. [Google Scholar] [CrossRef]
- Liu, K.; Zhang, Q.; Yang, G.; Maroof, M.S.; Zhu, S.; Wang, X. Extraordinarily polymorphic ribosomal DNA in wild and cultivated rice. Genome 1996, 39, 1109–1116. [Google Scholar] [CrossRef]
- Zhang, Q.; Araya, M.M.; Astorga-Eló, M.; Velasquez, G.; Rilling, J.I.; Campos, M.; Sadowsky, M.J.; Jorquera, M.A.; Acuña, J.J. Composition and Potential Functions of Rhizobacterial Communities in a Pioneer Plant from Andean Altiplano. Diversity 2022, 14, 14. [Google Scholar] [CrossRef]
- Zapata, T.; Galindo, D.M.; Corrales-Ducuara, A.R.; Ocampo-Ibáñez, I.D. The Diversity of Culture-Dependent Gram-Negative Rhizobacteria Associated with Manihot esculenta Crantz Plants Subjected to Water-Deficit Stress. Diversity 2021, 13, 366. [Google Scholar] [CrossRef]
- Emmett, B.D.; Youngblut, N.D.; Buckley, D.H.; Drinkwater, L.E. Plant Phylogeny and Life History Shape Rhizosphere Bacterial Microbiome of Summer Annuals in an Agricultural Field. Front. Microbiol. 2017, 8, 2414. [Google Scholar] [CrossRef]
- Lugtenberg, B.; Kamilova, F. Plant-Growth-Promoting Rhizobacteria. Annu. Rev. Microbiol. 2009, 63, 541–556. [Google Scholar] [CrossRef]
- Pérez-Jaramillo, J.E.; Carrión, V.J.; Bosse, M.; Ferrão, L.F.V.; de Hollander, M.; Garcia, A.A.F.; Ramírez, C.A.; Mendes, R.; Raaijmakers, J.M. Linking rhizosphere microbiome composition of wild and domesticated Phaseolus vulgaris to genotypic and root phenotypic traits. ISME J. 2017, 11, 2244–2257. [Google Scholar] [CrossRef]
- Lucke, M.; Correa, M.G.; Levy, A. The Role of Secretion Systems, Effectors, and Secondary Metabolites of Beneficial Rhizobacteria in Interactions with Plants and Microbes. Front. Plant Sci. 2020, 11, 1718. [Google Scholar] [CrossRef]
- Muleta, D.; Assefa, F.; Hjort, K.; Roos, S.; Granhall, U. Characterization of Rhizobacteria Isolated from Wild Coffea arabica L. Eng. Life Sci. 2009, 9, 100–108. [Google Scholar] [CrossRef]
- Martín-Robles, N.; Lehmann, A.; Seco, E.; Aroca, R.; Rillig, M.C.; Milla, R. Impacts of domestication on the arbuscular mycorrhizal symbiosis of 27 crop species. New Phytol. 2018, 218, 322–334. [Google Scholar] [CrossRef]
- Shi, S.; Chang, J.; Tian, L.; Nasir, F.; Ji, L.; Li, X.; Tian, C. Comparative analysis of the rhizomicrobiome of the wild versus cultivated crop: Insights from rice and soybean. Arch. Microbiol. 2019, 201, 879–888. [Google Scholar] [CrossRef]
- Dalmastri, C.; Chiarini, L.; Cantale, C.; Bevivino, A.; Tabacchioni, S. Soil type and maize cultivar affect the genetic diversity of maize root–associated Burkholderia cepacia populations. Microb. Ecol. 1999, 38, 273–284. [Google Scholar] [CrossRef] [PubMed]
- Hardoim, P.R.; van Overbeek, L.S.; van Elsas, J.D. Properties of bacterial endophytes and their proposed role in plant growth. Trends Microbiol. 2008, 16, 463–471. [Google Scholar] [CrossRef]
- Kuklinsky-Sobral, J.; Araújo, W.L.; Mendes, R.; Geraldi, I.O.; Pizzirani-Kleiner, A.A.; Azevedo, J.L. Isolation and characterization of soybean-associated bacteria and their potential for plant growth promotion. Environ. Microbiol. 2004, 6, 1244–1251. [Google Scholar] [CrossRef]
- Tian, L.; Chang, C.; Ma, L.; Nasir, F.; Zhang, J.; Li, W.; Tran, L.-S.P.; Tian, C. Comparative study of the mycorrhizal root transcriptomes of wild and cultivated rice in response to the pathogen Magnaporthe oryzae. Rice 2019, 12, 35. [Google Scholar] [CrossRef] [PubMed]
- Alawiye, T.T.; Babalola, O.O. Bacterial Diversity and Community Structure in Typical Plant Rhizosphere. Diversity 2019, 11, 179. [Google Scholar] [CrossRef]
- Sawers, R.J.H.; Ramirez-Flores, M.R.; Olalde-Portugal, V.; Paszkowski, U. The impact of domestication and crop improvement on arbuscular mycorrhizal symbiosis in cereals: Insights from genetics and genomics. New Phytol. 2018, 220, 1135–1140. [Google Scholar] [CrossRef]
- Tian, L.; Chang, J.; Shi, S.; Ji, L.; Zhang, J.; Sun, Y.; Li, X.; Li, X.; Xie, H.; Cai, Y.; et al. Comparison of methane metabolism in the rhizomicrobiomes of wild and related cultivated rice accessions reveals a strong impact of crop domestication. Sci. Total Environ. 2022, 803, 150131. [Google Scholar] [CrossRef]
- Song, Z.; Li, B.; Chen, J.; Lu, B.R. Genetic diversity and conservation of common wild rice (Oryza rufipogon) in China. Plant Species Biol. 2005, 20, 83–92. [Google Scholar] [CrossRef]
- Vimal, S.R.; Singh, J.S.; Arora, N.K.; Singh, S. Soil-plant-microbe interactions in stressed agriculture management: A review. Pedosphere 2017, 27, 177–192. [Google Scholar] [CrossRef]
- Maguire, V.G.; Bordenave, C.D.; Nieva, A.S.; Llames, M.E.; Colavolpe, M.B.; Gárriz, A.; Ruiz, O.A. Soil bacterial and fungal community structure of a rice monoculture and rice-pasture rotation systems. Appl. Soil Ecol. 2020, 151, 103535. [Google Scholar] [CrossRef]
- Takahashi, H.; Sekiguchi, H.; Ito, T.; Sasahara, M.; Hatanaka, N.; Ohba, A.; Hase, S.; Ando, S.; Hasegawa, H.; Takenaka, S. Microbial community profiles in intercellular fluid of rice. J. Gen. Plant Pathol. 2011, 77, 121–131. [Google Scholar] [CrossRef]
- Wang, P.; Kong, C.; Sun, B.; Xu, X. Allantoin-induced changes of microbial diversity and community in rice soil. Plant Soil 2010, 332, 357–368. [Google Scholar] [CrossRef]
- Zhang, X.; Zhang, R.; Gao, J.; Wang, X.; Fan, F.; Ma, X.; Yin, H.; Zhang, C.; Feng, K.; Deng, Y. Thirty-one years of rice-rice-green manure rotations shape the rhizosphere microbial community and enrich beneficial bacteria. Soil Biol. Biochem. 2017, 104, 208–217. [Google Scholar] [CrossRef]
- Shenton, M.; Iwamoto, C.; Kurata, N.; Ikeo, K. Effect of wild and cultivated rice genotypes on rhizosphere bacterial community composition. Rice 2016, 9, 42. [Google Scholar] [CrossRef]
- Aslam, Z.; Yasir, M.; Yoon, H.S.; Jeon, C.O.; Chung, Y.R. Diversity of the bacterial community in the rice rhizosphere managed under conventional and no-tillage practices. J. Microbiol. 2013, 51, 747–756. [Google Scholar] [CrossRef] [PubMed]
- Wang, F.; Wang, H.; Wang, D.; Fang, F.; Lai, J.; Wu, T.; Tsao, R. Isoflavone, γ-aminobutyric acid contents and antioxidant activities are significantly increased during germination of three Chinese soybean cultivars. J. Funct. Foods 2015, 14, 596–604. [Google Scholar] [CrossRef]
- Rheims, H.; Spröer, C.; Rainey, F.A.; Stackebrandt, E. Molecular biological evidence for the occurrence of uncultured members of the actinomycete line of descent in different environments and geographical locations. Microbiology 1996, 142, 2863–2870. [Google Scholar] [CrossRef]
- Nakaew, N.; Sungthong, R. Seed phytochemicals shape the community structures of cultivable actinobacteria-inhabiting plant interiors of Thai pigmented rice. Microbiologyopen 2018, 7, e00591. [Google Scholar] [CrossRef] [PubMed]
- Sen, A.; Daubin, V.; Abrouk, D.; Gifford, I.; Berry, A.M.; Normand, P. Phylogeny of the class Actinobacteria revisited in the light of complete genomes. The orders ‘Frankiales’ and Micrococcales should be split into coherent entities: Proposal of Frankiales ord. nov., Geodermatophilales ord. nov., Acidothermales ord. nov. and Nakamurellales ord. nov. Int. J. Syst. Evol. Microbiol. 2014, 64, 3821–3832. [Google Scholar] [CrossRef] [PubMed]
- Sato, Y.; Tanaka, E.; Hori, T.; Futamata, H.; Murofushi, K.; Takagi, H.; Akachi, T.; Miwa, T.; Inaba, T.; Aoyagi, T.; et al. Efficient conversion of organic nitrogenous wastewater to nitrate solution driven by comammox Nitrospira. Water Res. 2021, 197, 117088. [Google Scholar] [CrossRef]
- Zhang, J.; Liu, Y.X.; Zhang, N.; Hu, B.; Jin, T.; Xu, H.; Qin, Y.; Yan, P.; Zhang, X.; Guo, X.; et al. NRT1.1B is associated with root microbiota composition and nitrogen use in field-grown rice. Nat. Biotechnol 2019, 37, 676–684. [Google Scholar] [CrossRef] [PubMed]
- Zhang, Y.; Li, Q.; Chen, Y.; Dai, Q.; Hu, J. Mudflat reclamation causes change in the composition of fungal communities under long-term rice cultivation. Can. J. Microbiol. 2019, 65, 530–537. [Google Scholar] [CrossRef] [PubMed]







| Samples | Bacteria | Fungi | ||
|---|---|---|---|---|
| Total Pairs | Effective Sequence | Total Pairs | Effective Sequence | |
| On1 | 47,078 | 41,718 | 47,736 | 44,747 |
| On2 | 46,827 | 40,650 | 45,598 | 42,631 |
| On3 | 37,344 | 32,962 | 48,189 | 45,176 |
| On4 | 49,175 | 43,211 | 54,120 | 50,900 |
| Or1 | 43,116 | 37,640 | 50,289 | 44,101 |
| Or2 | 47,389 | 41,088 | 47,363 | 41,522 |
| Or3 | 45,176 | 39,390 | 57,885 | 47,781 |
| Or4 | 48,773 | 42,202 | 56,168 | 46,591 |
| Osj1 | 47,653 | 41,712 | 66,763 | 58,758 |
| Osj2 | 37,465 | 32,991 | 44,529 | 38,201 |
| Osj3 | 46,018 | 40,403 | 49,566 | 43,166 |
| Osj4 | 46,225 | 40,697 | 47,791 | 40,359 |
| Osi1 | 36,945 | 32,505 | 51,872 | 47,630 |
| Osi2 | 43,333 | 37,960 | 50,669 | 47,290 |
| Osi3 | 40,803 | 35,910 | 48,981 | 45,768 |
| Osi4 | 44,980 | 39,069 | 52,320 | 48,626 |
| Oo1 | 40,731 | 35,351 | 47,132 | 44,726 |
| Oo2 | 41,129 | 35,603 | 32,949 | 31,559 |
| Oo3 | 43,686 | 37,862 | 53,116 | 51,073 |
| Oo4 | 56,612 | 49,441 | 49,650 | 47,883 |
| Op1 | 46,582 | 40,780 | 53,820 | 50,371 |
| Op2 | 39,531 | 34,746 | 54,628 | 51,017 |
| Op3 | 39,299 | 34,608 | 54,400 | 50,603 |
| Op4 | 44,326 | 38,790 | 51,304 | 47,334 |
| Total | 1,060,196 | 927,289 | 1,216,838 | 1,107,813 |
Publisher’s Note: MDPI stays neutral with regard to jurisdictional claims in published maps and institutional affiliations. |
© 2022 by the authors. Licensee MDPI, Basel, Switzerland. This article is an open access article distributed under the terms and conditions of the Creative Commons Attribution (CC BY) license (https://creativecommons.org/licenses/by/4.0/).
Share and Cite
Zhang, J.; Yao, Z.; Chen, Y.; Zhang, J.; Luo, S.; Tian, C.; Tian, L. Study of Rhizosphere Microbial Community Structures of Asian Wild and Cultivated Rice Showed That Cultivated Rice Had Decreased and Enriched Some Functional Microorganisms in the Process of Domestication. Diversity 2022, 14, 67. https://doi.org/10.3390/d14020067
Zhang J, Yao Z, Chen Y, Zhang J, Luo S, Tian C, Tian L. Study of Rhizosphere Microbial Community Structures of Asian Wild and Cultivated Rice Showed That Cultivated Rice Had Decreased and Enriched Some Functional Microorganisms in the Process of Domestication. Diversity. 2022; 14(2):67. https://doi.org/10.3390/d14020067
Chicago/Turabian StyleZhang, Jianfeng, Zongmu Yao, Yalin Chen, Jiafan Zhang, Shouyang Luo, Chunjie Tian, and Lei Tian. 2022. "Study of Rhizosphere Microbial Community Structures of Asian Wild and Cultivated Rice Showed That Cultivated Rice Had Decreased and Enriched Some Functional Microorganisms in the Process of Domestication" Diversity 14, no. 2: 67. https://doi.org/10.3390/d14020067
APA StyleZhang, J., Yao, Z., Chen, Y., Zhang, J., Luo, S., Tian, C., & Tian, L. (2022). Study of Rhizosphere Microbial Community Structures of Asian Wild and Cultivated Rice Showed That Cultivated Rice Had Decreased and Enriched Some Functional Microorganisms in the Process of Domestication. Diversity, 14(2), 67. https://doi.org/10.3390/d14020067

