Assessing Spatial and Temporal Trends in a Mediterranean Fish Assemblage Structure
Abstract
:1. Introduction
2. Materials and Methods
2.1. Sampling Locations
2.2. Fish Assemblage Sampling Technique (FAST)
- − Carnivore proportion (CP) = Mean number of observed carnivores species;
- − Proportion of large individuals (LP) = Mean number of large size individuals observed in the same census;
- − Mean index (MI) = Mean number of six “Index” values based on six censuses;
- − Relative Species Richness (RSR) = Mean number of species observed based on six censuses.
2.3. Sea Water Temperature
2.4. Data Analyses
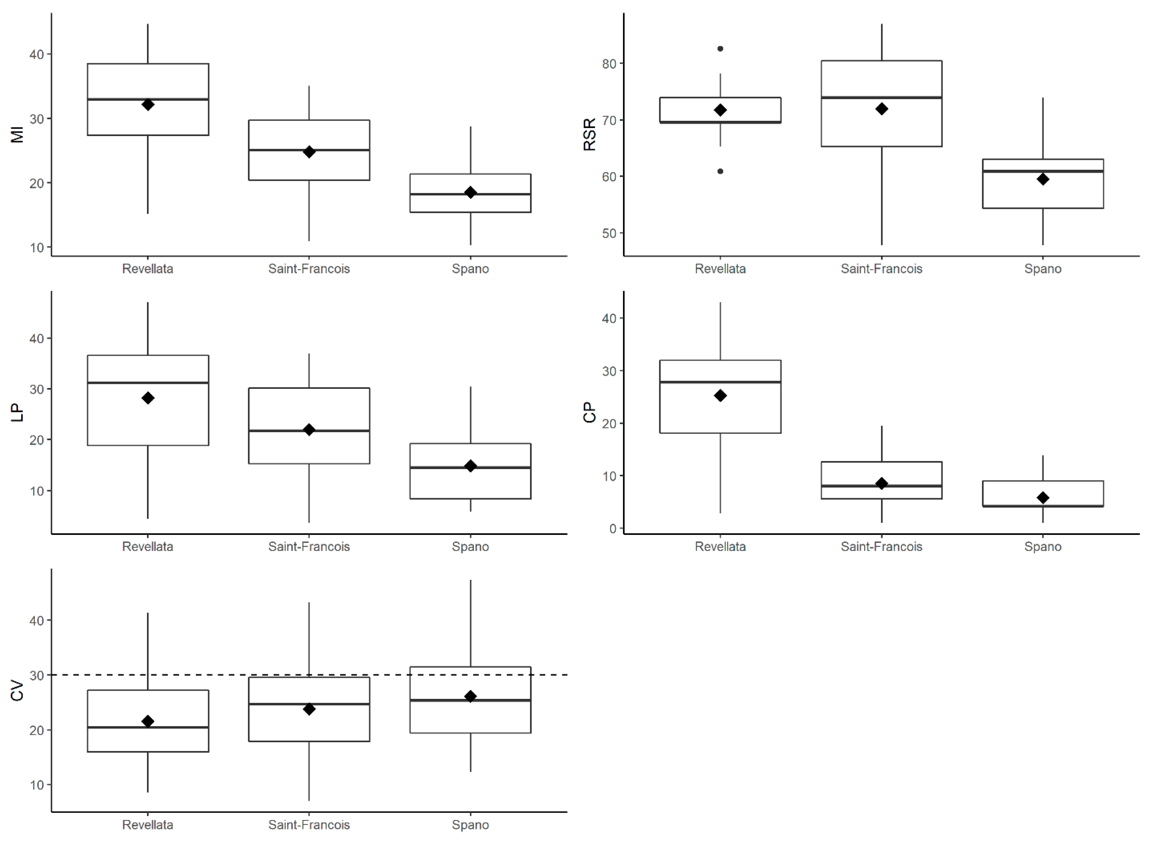
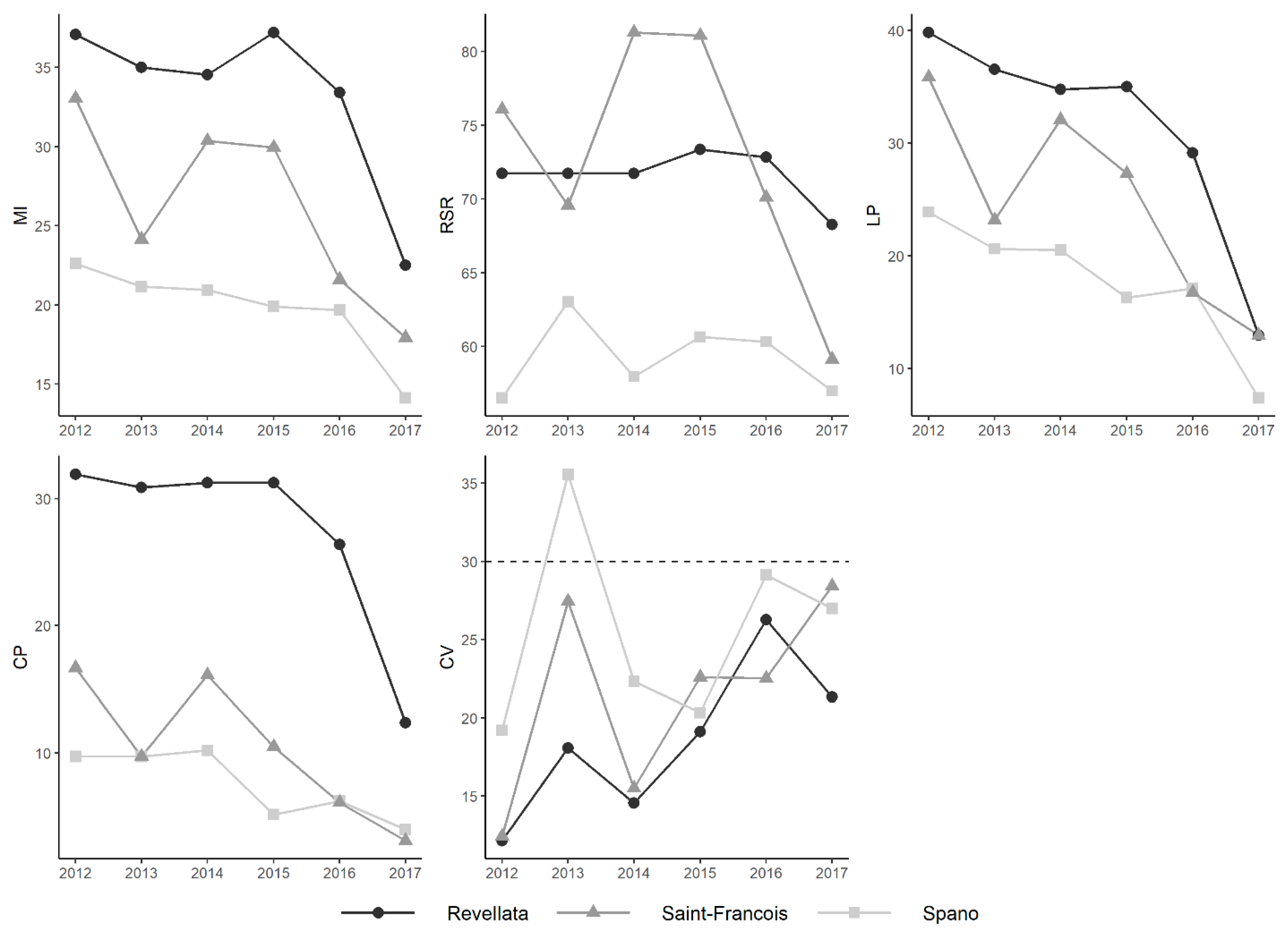
3. Results
4. Discussion
Author Contributions
Funding
Institutional Review Board Statement
Data Availability Statement
Acknowledgments
Conflicts of Interest
References
- Abdul Malak, D.; Livingstone, S.R.; Pollard, D.; Polidoro, B.A.; Cuttelod, A.; Bariche, M.; Bilecenoglu, M.; Carpenter, K.E.; Collette, B.B.; Francour, P.; et al. Overview of the Conservation Status of the Marine Fishes of the Mediterranean Sea; IUCN: Gland, Switzerland; Malaga, Spain, 2011; p. 61. [Google Scholar]
- Jackson, J.B.; Kirby, M.X.; Berger, W.H.; Bjorndal, K.A.; Botsford, L.W.; Bourque, B.J.; Bradbury, R.H.; Cooke, R.; Erlandson, J.; Estes, J.A. Historical Overfishing and the Recent Collapse of Coastal Ecosystems. Science 2001, 293, 629–637. [Google Scholar] [CrossRef] [PubMed] [Green Version]
- Schiel, D.R.; Steinbeck, J.R.; Foster, M.S. Ten Years of Induced Ocean Warming Causes Comprehensive Changes in Marine Benthic Communities. Ecology 2004, 85, 1833–1839. [Google Scholar] [CrossRef] [Green Version]
- Currie, D.R.; Parry, G.D. Changes to Benthic Communities over 20 Years in Port Phillip Bay, Victoria, Australia. Mar. Pollut. Bull. 1999, 38, 36–43. [Google Scholar] [CrossRef]
- Hiddink, J.; Ter Hofstede, R. Climate Induced Increases in Species Richness of Marine Fishes. Glob. Chang. Biol. 2008, 14, 453–460. [Google Scholar] [CrossRef]
- Le Quesne, W.J.; Pinnegar, J.K. The Potential Impacts of Ocean Acidification: Scaling from Physiology to Fisheries. Fish Fish. 2012, 13, 333–344. [Google Scholar] [CrossRef]
- Mallet, D.; Wantiez, L.; Lemouellic, S.; Vigliola, L.; Pelletier, D. Complementarity of Rotating Video and Underwater Visual Census for Assessing Species Richness, Frequency and Density of Reef Fish on Coral Reef Slopes. PLoS ONE 2014, 9, e84344. [Google Scholar] [CrossRef] [PubMed]
- La Mesa, G.; Micalizzi, M.; Giaccone, G.; Vacchi, M. Cryptobenthic Fishes of the “Ciclopi Islands” Marine Reserve (Central Mediterranean Sea): Assemblage Composition, Structure and Relations with Habitat Features. Mar. Biol. 2004, 145, 233–242. [Google Scholar] [CrossRef]
- Pinnegar, J. Why the Damselfish Chromis Chromis Is a Key Species in the M Editerranean Rocky Littoral—A Quantitative Perspective. J. Fish Biol. 2018, 92, 851–872. [Google Scholar] [CrossRef] [PubMed]
- Lamine, E.B.; Di Franco, A.; Romdhane, M.S.; Francour, P. Can Citizen Science Contribute to Fish Assemblages Monitoring in Understudied Areas? The Case Study of Tunisian Marine Protected Areas. Estuar. Coast. Shelf Sci. 2018, 200, 420–427. [Google Scholar] [CrossRef]
- Bell, J.; Craik, G.; Pollard, D.; Russell, B. Estimating Length Frequency Distributions of Large Reef Fish Underwater. Coral Reefs 1985, 4, 41–44. [Google Scholar] [CrossRef]
- Bacheler, N.M.; Geraldi, N.R.; Burton, M.L.; Muñoz, R.C.; Kellison, G.T. Comparing Relative Abundance, Lengths, and Habitat of Temperate Reef Fishes Using Simultaneous Underwater Visual Census, Video, and Trap Sampling. Mar. Ecol. Prog. Ser. 2017, 574, 141–155. [Google Scholar] [CrossRef] [Green Version]
- Davis, T.; Harasti, D.; Smith, S.D. Compensating for Length Biases in Underwater Visual Census of Fishes Using Stereo Video Measurements. Mar. Freshw. Res. 2015, 66, 286–291. [Google Scholar] [CrossRef]
- Samoilys, M.A.; Carlos, G. Determining Methods of Underwater Visual Census for Estimating the Abundance of Coral Reef Fishes. Environ. Biol. Fishes 2000, 57, 289–304. [Google Scholar] [CrossRef]
- Edgar, G.J.; Barrett, N.S.; Morton, A.J. Biases Associated with the Use of Underwater Visual Census Techniques to Quantify the Density and Size-Structure of Fish Populations. J. Exp. Mar. Biol. Ecol. 2004, 308, 269–290. [Google Scholar] [CrossRef]
- Edgar, G.J.; Stuart-Smith, R.D. Ecological Effects of Marine Protected Areas on Rocky Reef Communities—A Continental-Scale Analysis. Mar. Ecol. Prog. Ser. 2009, 388, 51–62. [Google Scholar] [CrossRef]
- Pais, M.P.; Cabral, H.N. Effect of Underwater Visual Survey Methodology on Bias and Precision of Fish Counts: A Simulation Approach. PeerJ 2018, 6, e5378. [Google Scholar] [CrossRef] [PubMed]
- De Girolamo, M.; Mazzoldi, C. The Application of Visual Census on Mediterranean Rocky Habitats. Mar. Environ. Res. 2001, 51, 1–16. [Google Scholar] [CrossRef]
- Katsanevakis, S.; Weber, A.; Pipitone, C.; Leopold, M.; Cronin, M.; Scheidat, M.; Doyle, T.K.; Buhl-Mortensen, L.; Buhl-Mortensen, P.; Anna, G. Monitoring Marine Populations and Communities: Methods Dealing with Imperfect Detectability. Aquat. Biol. 2012, 16, 31–52. [Google Scholar] [CrossRef] [Green Version]
- Williams, I.D.; Richards, B.L.; Sandin, S.A.; Baum, J.K.; Schroeder, R.E.; Nadon, M.O.; Zgliczynski, B.; Craig, P.; McIlwain, J.L.; Brainard, R.E. Differences in Reef Fish Assemblages between Populated and Remote Reefs Spanning Multiple Archipelagos across the Central and Western Pacific. J. Mar. Biol. 2011, 2011, 1–14. [Google Scholar] [CrossRef] [Green Version]
- García-Charton, J.; Pérez-Ruzafa, A. Spatial Pattern and the Habitat Structure of a Mediterranean Rocky Reef Fish Local Assemblage. Mar. Biol. 2001, 138, 917–934. [Google Scholar] [CrossRef]
- Caldwell, Z.R.; Zgliczynski, B.J.; Williams, G.J.; Sandin, S.A. Reef Fish Survey Techniques: Assessing the Potential for Standardizing Methodologies. PLoS ONE 2016, 11, e0153066. [Google Scholar] [CrossRef] [Green Version]
- Francour, P.; Liret, C.; Harvey, E. Comparison of Fish Abundance Estimates Made by Remote Underwater Video and Visual Census. Nat. Sicil. 1999, 23, 155–168. [Google Scholar]
- Harmelin-Vivien, M.; Harmelin, J.; Chauvet, C.; Duval, C.; Galzin, R.; Lejeune, P.; Barnabé, G.; Blanc, F.; Chevalier, R.; Duclerc, J. Evaluation Visuelle Des Peuplements et Populations de Poissons Méthodes et Problèmes. Revue D’écologie 1985, 40, 467–539. [Google Scholar]
- Dickens, L.C.; Goatley, C.H.; Tanner, J.K.; Bellwood, D.R. Quantifying Relative Diver Effects in Underwater Visual Censuses. PLoS ONE 2011, 6, e18965. [Google Scholar] [CrossRef] [PubMed] [Green Version]
- Seytre, C.; Francour, P. The Cap Roux MPA (Saint-Raphael, French Mediterranean): Changes in Fish Assemblages within Four Years of Protection. ICES J. Mar. Sci. J. Du Cons. 2009, 66, 180–187. [Google Scholar] [CrossRef]
- Seytre, C.; Francour, P. Is the Cape Roux Marine Protected Area (Saint-Raphaël, Mediterranean Sea) an Efficient Tool to Sustain Artisanal Fisheries? First Indications from Visual Censuses and Trammel Net Sampling. Aquat. Living Resour. 2008, 21, 297–305. [Google Scholar] [CrossRef]
- Gobert, S.; Chéry, A.; Volpon, A.; Pelaprat, C.; Lejeune, P. The seascape as an indicator of environmental interest and quality of the Mediterranean benthos: The in situ development of a description index: The LIMA. In Underwater Seascapes; Springer: Berlin/Heidelberg, Germany, 2014; pp. 277–291. [Google Scholar]
- García-Charton, J.A.; Pérez-Ruzafa, Á.; Sánchez-Jerez, P.; Bayle-Sempere, J.T.; Reñones, O.; Moreno, D. Multi-Scale Spatial Heterogeneity, Habitat Structure, and the Effect of Marine Reserves on Western Mediterranean Rocky Reef Fish Assemblages. Mar. Biol. 2004, 144, 161–182. [Google Scholar] [CrossRef]
- Lizaso, J.S.; Goni, R.; Renones, O.; Charton, J.G.; Galzin, R.; Bayle, J.; Jerez, P.S.; Ruzafa, A.P.; Ramos, A. Density Dependence in Marine Protected Populations: A Review. Environ. Conserv. 2000, 27, 144–158. [Google Scholar] [CrossRef] [Green Version]
- Pauly, D.; Christensen, V.; Dalsgaard, J.; Froese, R.; Torres, F. Fishing down Marine Food Webs. Science 1998, 279, 860–863. [Google Scholar] [CrossRef]
- Genner, M.J.; Sims, D.W.; Southward, A.J.; Budd, G.C.; Masterson, P.; Mchugh, M.; Rendle, P.; Southall, E.J.; Wearmouth, V.J.; Hawkins, S.J. Body Size-dependent Responses of a Marine Fish Assemblage to Climate Change and Fishing over a Century-long Scale. Glob. Chang. Biol. 2010, 16, 517–527. [Google Scholar] [CrossRef]
- Cheung, W.W.; Lam, V.W.; Sarmiento, J.L.; Kearney, K.; Watson, R.; Pauly, D. Projecting Global Marine Biodiversity Impacts under Climate Change Scenarios. Fish Fish. 2009, 10, 235–251. [Google Scholar] [CrossRef]
- Claudet, J.; Osenberg, C.W.; Domenici, P.; Badalamenti, F.; Milazzo, M.; Falcón, J.M.; Bertocci, I.; Benedetti-Cecchi, L.; García-Charton, J.A.; Goñi, R.; et al. Marine Reserves: Fish Life History and Ecological Traits Matter. Ecol. Appl. 2010, 20, 830–839. [Google Scholar] [CrossRef]
- Gaspare, L.; Bryceson, I.; Mgaya, Y. Temporal and Spatial Trends in Size, Biomass and Abundance of Groupers (Epinephelinae) in Mafia Island Marine Park: Fishers’ Perceptions and Underwater Visual Census Surveys. Fish. Manag. Ecol. 2015, 22, 337–348. [Google Scholar] [CrossRef]
- Teixeira, C.M.; Gamito, R.; Leitão, F.; Cabral, H.N.; Erzini, K.; Costa, M.J. Trends in Landings of Fish Species Potentially Affected by Climate Change in Portuguese Fisheries. Reg. Environ. Chang. 2014, 14, 657–669. [Google Scholar] [CrossRef]
- Somarakis, S.; Ramfos, A.; Palialexis, A.; Valavanis, V.D. Contrasting Multispecies Patterns in Larval Fish Production Trace Inter-Annual Variability in Oceanographic Conditions over the N.E. Aegean Sea Continental Shelf (Eastern Mediterranean). Hydrobiologia 2011, 670, 275–287. [Google Scholar] [CrossRef]
- Bensoussan, N.; Romano, J.-C.; Harmelin, J.-G.; Garrabou, J. High Resolution Characterization of Northwest Mediterranean Coastal Waters Thermal Regimes: To Better Understand Responses of Benthic Communities to Climate Change. Estuar. Coast. Shelf Sci. 2010, 87, 431–441. [Google Scholar] [CrossRef]
- Coma, R.; Ribes, M.; Serrano, E.; Jimenez, E.; Salat, J.; Pascual, J. Global Warming-Enhanced Stratification and Mass Mortality Events in the Mediterranean. Proc. Natl. Acad. Sci. USA 2009, 106, 6176–6181. [Google Scholar] [CrossRef] [Green Version]
- Perry, A.L. Climate Change and Distribution Shifts in Marine Fishes. Science 2005, 308, 1912–1915. [Google Scholar] [CrossRef] [PubMed]
- Lejeusne, C.; Chevaldonné, P.; Pergent-Martini, C.; Boudouresque, C.F.; Pérez, T. Climate Change Effects on a Miniature Ocean: The Highly Diverse, Highly Impacted Mediterranean Sea. Trends Ecol. Evol. 2010, 25, 250–260. [Google Scholar] [CrossRef] [PubMed]
- Masuda, R. Seasonal and Interannual Variation of Subtidal Fish Assemblages in Wakasa Bay with Reference to the Warming Trend in the Sea of Japan. Environ. Biol. Fishes 2008, 82, 387–399. [Google Scholar] [CrossRef]
- Brander, K. Tackling the Old Familiar Problems of Pollution, Habitat Alteration and Overfishing Will Help with Adapting to Climate Change. Mar. Pollut. Bull. 2008, 56, 1957. [Google Scholar] [CrossRef] [PubMed]
- Halpern, B.S.; Cottenie, K. Little Evidence for Climate Effects on Local-scale Structure and Dynamics of California Kelp Forest Communities. Glob. Chang. Biol. 2007, 13, 236–251. [Google Scholar] [CrossRef]






| Fish Family | Species | Trophic Level |
|---|---|---|
| Carangidae | Seriola dumerili | 4.5 |
| Congridae | Conger conger | 4.3 |
| Dasyatidae | Dasyatis spp. | 4.3 |
| Hippocampinae | Hippocampus spp. | 3.2 |
| Labridae | Labrus spp. | 3.9 |
| Sparidae | Diplodus annularis | 3.6 |
| Diplodus cervinus | 3.0 | |
| Diplodus puntazzo | 3.2 | |
| Diplodus sargus | 3.4 | |
| Diplodus vulgaris | 3.5 | |
| Dentex dentex | 4.5 | |
| Lithognathus spp. | 3.4 | |
| Pagrus spp. | 3.9 | |
| Sarpa salpa | 2.0 | |
| Sparus aurata | 3.7 | |
| Spondyliosoma cantharus | 3.3 | |
| Serranidae | Serranus scriba | 3.8 |
| Epinephelus marginatus | 4.4 | |
| Symphodus tinca | 3.3 | |
| Moronidae | Dicentrarchus labrax | 3.5 |
| Mugilidae | Mugil spp. | 2.5 |
| Mullidae | Mullus surmuletus | 3.5 |
| Muraenidae | Muraena helena | 4.2 |
| Myliobatidae | Myliobatis spp. | 3.6 |
| Phycidae | Phycis spp. | 4.3 |
| Sciaenidae | Sciaena umbra | 3.8 |
| Scorpaenidae | Scorpaena scrofa | 4.3 |
| Sphyraenidae | Sphyraena spp. | 4.0 |
| FAST | Indices | MI | RSR | CP | LP | ||||
|---|---|---|---|---|---|---|---|---|---|
| Sources | Df | MS | P (perm) | MS | P (perm) | MS | P (perm) | MS | P (perm) |
| Zone | 2 | 564.240 | 0.001 *** | 473.650 | 0.001 *** | 1926.600 | 0.001 *** | 537.440 | 0.001 *** |
| Year | 5 | 446.770 | 0.001 *** | 424.370 | 0.001 *** | 454.870 | 0.001 *** | 1055.200 | 0.001 *** |
| Season | 1 | 2.394 | 0.656 | 21.815 | 0.333 | 45.692 | 0.067 | 2.377 | 0.757 |
| Zone × Year | 10 | 27.617 | 0.060 | 142.620 | 0.001 *** | 87.420 | 0.001 *** | 68.504 | 0.007 ** |
| Zone × Season | 2 | 28.966 | 0.152 | 82.035 | 0.042 * | 9.980 | 0.491 | 37.043 | 0.221 |
| Season × Year | 5 | 14.528 | 0.438 | 147.530 | 0.001 *** | 32.945 | 0.070 | 24.189 | 0.430 |
| Zone × Year × Season | 7 | 9.596 | 0.695 | 38.115 | 0.170 | 12.862 | 0.462 | 7.395 | 0.944 |
| Res | 75 | 14.348 | 24.431 | 13.858 | 23.752 | ||||
| Total | 107 | ||||||||
Publisher’s Note: MDPI stays neutral with regard to jurisdictional claims in published maps and institutional affiliations. |
© 2021 by the authors. Licensee MDPI, Basel, Switzerland. This article is an open access article distributed under the terms and conditions of the Creative Commons Attribution (CC BY) license (https://creativecommons.org/licenses/by/4.0/).
Share and Cite
Marengo, M.; Iborra, L.; Leduc, M.; Lejeune, P.; Boissery, P.; Gobert, S. Assessing Spatial and Temporal Trends in a Mediterranean Fish Assemblage Structure. Diversity 2021, 13, 368. https://doi.org/10.3390/d13080368
Marengo M, Iborra L, Leduc M, Lejeune P, Boissery P, Gobert S. Assessing Spatial and Temporal Trends in a Mediterranean Fish Assemblage Structure. Diversity. 2021; 13(8):368. https://doi.org/10.3390/d13080368
Chicago/Turabian StyleMarengo, Michel, Laura Iborra, Michèle Leduc, Pierre Lejeune, Pierre Boissery, and Sylvie Gobert. 2021. "Assessing Spatial and Temporal Trends in a Mediterranean Fish Assemblage Structure" Diversity 13, no. 8: 368. https://doi.org/10.3390/d13080368
APA StyleMarengo, M., Iborra, L., Leduc, M., Lejeune, P., Boissery, P., & Gobert, S. (2021). Assessing Spatial and Temporal Trends in a Mediterranean Fish Assemblage Structure. Diversity, 13(8), 368. https://doi.org/10.3390/d13080368

