Abstract
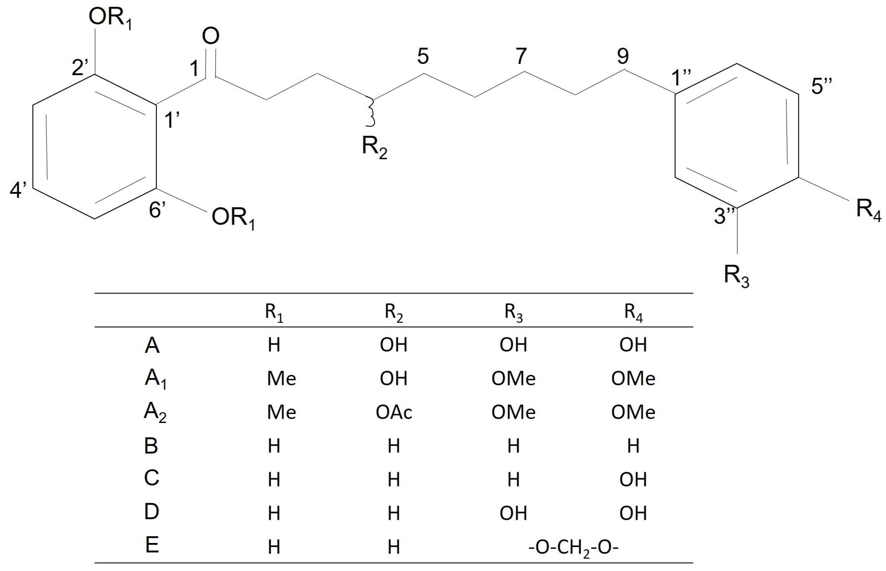
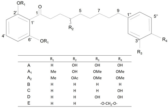
A phytochemical investigation of Myristica ceylanica resulted in the identification of seven arylalkanone-derived phenolic compounds, comprising one new naturally occurring arylalkanone (A), two derivatives (A1 and A2) prepared by chemical synthesis, and four known malabaricones (B–E). Density functional theory (DFT) calculations were conducted to evaluate the geometries, electronic properties, and charge distributions of the newly identified arylalkanone and its derivatives and to compare them with those of malabaricones B–E. The arylalkanones exhibited geometrical features comparable to those of the malabaricones, whereas frontier molecular orbital analysis revealed similar HOMO–LUMO energy gaps for the malabaricones but a progressive widening of the gap among the arylalkanone derivatives, indicating enhanced electronic stabilisation. Mulliken population analysis identified oxygen atoms as the principal electron-rich sites in both series, with arylalkanones displaying greater charge polarisation and increased sensitivity to structural substitution.
1. Introduction
Myristica ceylanica, a large tree species of the family Myristicaceae, is the only Myristica species endemic to the lowland rainforests of Sri Lanka [1,2,3,4]. This species exhibits a range of noteworthy biological activities, highlighting its ecological and medicinal importance [5,6,7,8,9,10]. In a recent investigation, Manoranjan et al. [11] reported the isolation of an arylalkanone, 1-(2′,6′-dihydroxyphenyl)-4-hydroxy-9-(3″,4″-dihydroxyphenyl)-nonan-1-one, from Myristica ceylanica, along with several related arylalkanones, namely malabaricones B–E (see Figure 1). Arylalkanones constitute an important class of organic compounds in natural products chemistry, characterised by an aromatic ring conjugated to a carbonyl group. This structural framework plays a key role in defining their electronic properties, which in turn influence chemical reactivity, intermolecular interactions, and biological activity. Despite the experimental identification of numerous arylalkanone derivatives, their detailed structural and electronic properties remain insufficiently explored.
Figure 1.
Arylalkanone, 1-(2′,6′-dihydroxyphenyl)-4-hydroxy-9-(3″,4″-dihydroxyphenyl)-nonan-1-one (A), its derivatives (A1 and A2) and malbaricones, B–E.
The investigation of electronic properties using DFT provides mechanistic insight that complements experimental isolation and bioactivity studies. Such theoretical analyses help explain observed biological effects, predict reactivity trends, and identify key electronic features responsible for molecular recognition [11,12,13,14,15,16,17,18,19,20,21,22]. Moreover, understanding the electronic behaviour of arylalkanones supports the rational design of analogues with enhanced pharmacological profiles and may extend their application to functional materials and molecular electronics [23,24,25,26].
In this study, DFT simulations were employed to investigate the optimised molecular structures, electronic properties, and atomic charge distributions of a recently reported arylalkanone and its derivatives, including malbaricones B–E. Malabaricones B–E were included as a control group for the theoretical analysis, serving as structurally related reference compounds for comparative evaluation.
2. Results and Discussion
2.1. Structures
The optimised geometries of malbaricones B–E (Figure 2) reveal how subtle changes in substitution and oxidation state modulate molecular conformation and local electronic structure. Malbaricones B–D share a common diaryl framework with phenolic and carbonyl functionalities, and this similarity is reflected in the largely conserved bond metrics. In all three structures, the C1–O1 bond length (~1.33 Å) and the O1–H1 distance (~1.00 Å) are characteristic of phenolic O–H groups, while the C7–O2 bond (~1.25 Å) indicates a carbonyl functionality conjugated with the aromatic system. The relatively consistent C2–C7 and C8–C9 distances further suggest comparable degrees of conjugation and π-delocalisation across B–D. Despite this shared scaffold, small but systematic differences are evident. Variations in C–C and C–O bond lengths and in angles such as C2–C7–C8 and O2–C7–C8 point to different steric and electronic environments imposed by the substitution pattern. These differences influence the torsional orientation of the side chains and aromatic rings, leading to distinct three-dimensional conformations. In particular, changes in the positioning of hydroxyl groups in malbaricones C and D introduce alternative intramolecular hydrogen-bonding possibilities, which can stabilise specific conformers and slightly perturb local bond parameters. Malbaricone D is further distinguished by the presence of additional oxygenated functionality, as reflected in the C12–O3 bond length (~1.37 Å) and the associated O–H bond angle. This added polarity is expected to enhance hydrogen-bond donor/acceptor capacity and may increase intermolecular interactions relative to malbaricones B and C, potentially impacting solubility and biological activity.
Figure 2.
Optimised structures of malbaricone (a) B, (b) C, (c) D, and (d) E.
In contrast, malbaricone E exhibits a markedly different structural motif. The shorter C1–O1 distance (~1.21 Å) and multiple C–O bond lengths in the 1.36–1.43 Å range are consistent with a more oxidised framework containing carbonyl groups rather than phenolic hydroxyls. The altered connectivity disrupts extended conjugation, yielding a more compact, non-planar geometry. Such structural reorganisation is likely to result in a different electronic distribution and reactivity profile compared with malbaricones B–D.
The optimised geometries of the arylalkanone (A) and its derivatives (A1 and A2) (see Figure 1 and Figure 3) show structural features that are closely comparable to those reported for malabaricones, particularly in the arylalkanone backbone. The aromatic rings in all three structures remain essentially planar, with C–C bond lengths in the range expected for substituted phenyl systems, similar to malabaricone analogues. The carbonyl C–O bond lengths (≈1.22–1.25 Å) and adjacent C–C bonds (≈1.47–1.51 Å) are also consistent with the conjugated ketone framework characteristic of malabaricones, indicating preserved π-conjugation between the aromatic ring and the carbonyl group. Substitution at the oxygen-bearing positions leads to minor variations in bond angles around the C–O–C and C–C–O linkages; however, these changes do not significantly distort the overall molecular geometry. Compared with malabaricones, the present derivatives exhibit slightly longer aryl–O and alkyl–O bond lengths, which may be attributed to increased steric effects and electron-donating substituents. Overall, the close agreement in key geometric parameters suggests that the synthesised aryl alkanone derivatives retain the fundamental structural motif of malabaricones while offering tunable electronic and steric properties through functional group modification. In the electronic Supplementary Information (ESI), we provide all the spectroscopic data measured for A, A1 and A2.
Figure 3.
Optimised structures of (a) arylalkanone (A) and its derivatives (b) A1 and (c) A2.
2.2. Electronic Structures
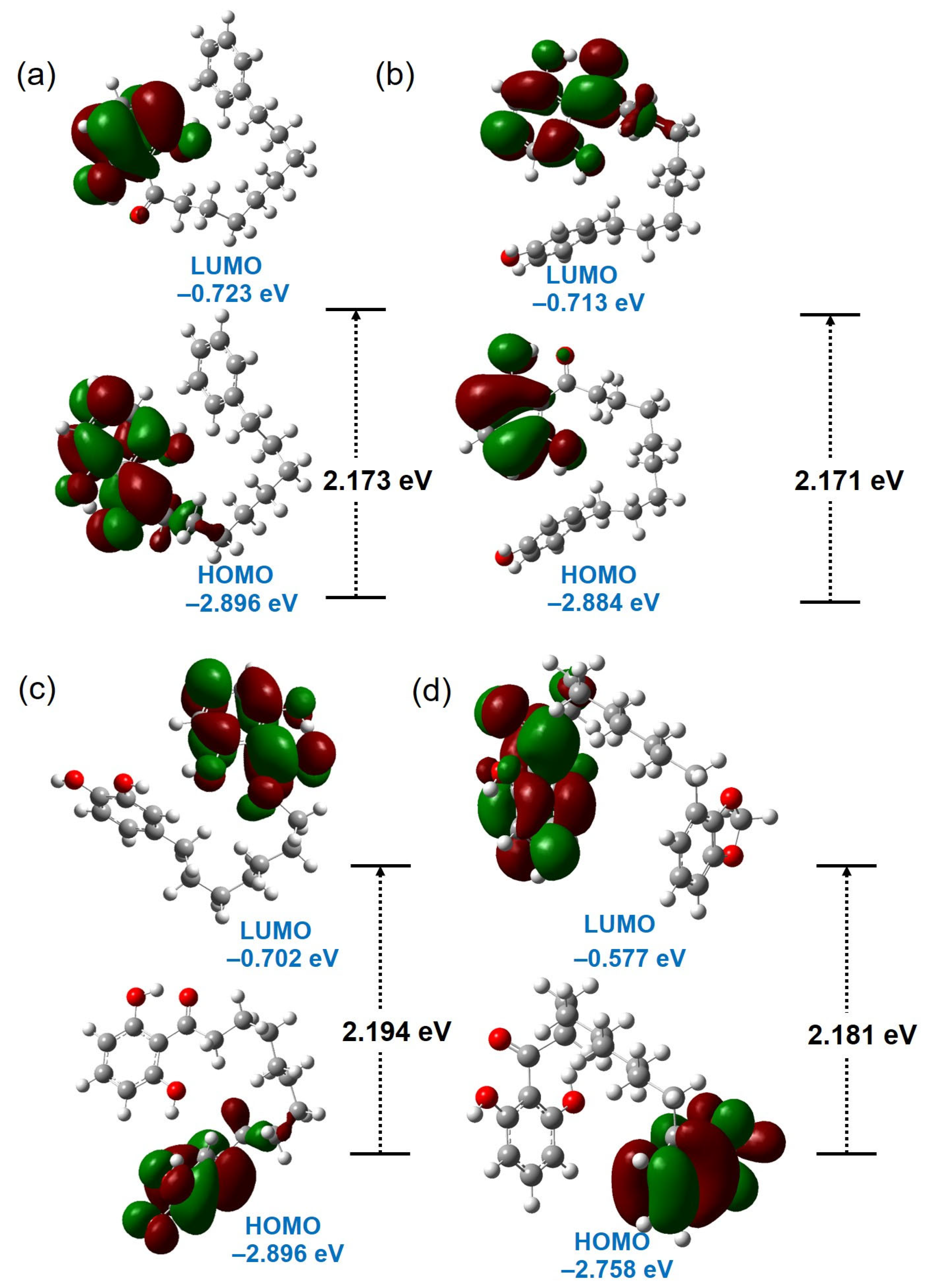
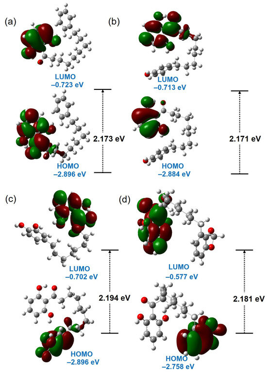
Frontier molecular orbital (FMO) analysis was performed to gain insight into the electronic properties of malabaricone B–E, and the results are illustrated in Figure 4. For all four compounds, the highest occupied molecular orbital (HOMO) energies lie in a narrow range between −2.896 and −2.758 eV, while the lowest unoccupied molecular orbital (LUMO) energies range from −0.723 to −0.577 eV, resulting in comparable HOMO–LUMO energy gaps (ΔE) of approximately 2.17–2.19 eV. This close similarity in ΔE values suggests that the malabaricones possess comparable electronic stability and reactivity. The HOMO distributions are predominantly localised over the conjugated aromatic and π-electron frameworks, indicating that these regions are primarily responsible for electron-donating behaviour. In contrast, the LUMO orbitals are also largely π-delocalized but show subtle variations in spatial distribution depending on structural differences among the isomers. Notably, malabaricone C exhibits a slightly higher HOMO and LUMO energy compared to the other derivatives, implying marginally enhanced electron-donating capability and potential reactivity. Overall, the modest variation in frontier orbital energies indicates that structural modifications among malabaricone B–E fine-tune orbital localisation without significantly altering the electronic band gap, which may contribute to their similar optical and redox characteristics.
Figure 4.
Molecular orbital diagrams for malbaricone (a) B, (b) C, (c) D, and (d) E.
A comparative frontier molecular orbital (FMO) analysis of malabaricones B–E (Figure 4) and the arylalkanone series (Figure 5) highlights distinct structure–property relationships between the two molecular frameworks. In the arylalkanone series, progressive derivatisation results in a systematic decrease in HOMO energies (from −2.908 to −3.064 eV) accompanied by a corresponding increase in LUMO energies (from −0.794 to −0.405 eV). These changes lead to a marked expansion of the HOMO–LUMO energy gap, from 2.114 eV for the parent compound (A) to 2.659 eV for derivative A1, indicating enhanced electronic stability and a reduced propensity for charge transfer in the substituted arylalkanones. Notably, the energy gap calculated for the newly identified arylalkanone (A) is slightly smaller than that of the malabaricones. Substitution of the hydroxyl groups on the benzene ring with methoxy groups increases the energy gap of approximately 0.40 eV (Figure 5a,b). In comparison, further enlargement of about 0.2 eV is observed upon introduction of an acetoxy (–OAc) group. As a result, structures A1 and A2 with enlarged energy gaps can exhibit higher chemical and thermal stability, lower electrical conductivity, increased optical transparency in the visible range, and improved durability, making them suitable for use as insulating materials, optical coatings, and stable organic electronic components.
Figure 5.
Molecular orbital diagrams for (a) arylalkanone (A) and its derivatives (b) A1 and (c) A2.
2.3. Charge Distribution
Mulliken population analysis was used to examine the charge distribution and identify the most probable reactive sites in malabaricone B–E (Figure 6). In all four structures, the oxygen atoms consistently carry the most negative charges (approximately −0.51 to −0.54), confirming their strong electron-rich character and highlighting them as the primary nucleophilic and hydrogen-bond accepting centres. Conversely, the hydroxyl hydrogen atoms display positive charge densities (typically around +0.33 to +0.37), indicating pronounced H-bond donor ability and supporting the role of these groups in proton-transfer and radical-scavenging interactions. The carbon skeleton exhibits comparatively smaller charge variations, with aromatic and conjugated carbons showing alternating slightly positive and negative values, consistent with delocalized π-electron distribution across the rings and linker. Importantly, the overall charge patterns remain broadly similar among B–E, suggesting that isomeric differences do not drastically alter the intrinsic polarity of the key functional groups; rather, subtle shifts in local charges likely arise from differences in substituent orientation and conjugation, which may influence site-specific interactions (e.g., binding, hydrogen bonding) without changing the dominant reactive centres (oxygen-bearing groups).
Figure 6.
Mulliken charges on the selected atoms in the malbaricone (a) B, (b) C, (c) D, and (d) E.
Mulliken population analysis of malabaricones B–E (Figure 6) was compared with that observed for the arylalkanone series (Figure 7). It reveals consistent charge localisation patterns with distinct degrees of electronic polarisation between the two scaffolds. In both series, oxygen atoms carry the most negative Mulliken charges (approximately −0.41 to −0.55), identifying them as the principal electron-rich centres responsible for nucleophilic behaviour and hydrogen-bond acceptance, while hydroxyl and heteroatom-bound hydrogen atoms exhibit pronounced positive charges (typically +0.28 to +0.55), indicative of strong hydrogen-bond donor capability. The malabaricones display relatively uniform charge distributions across isomers B–E, suggesting that isomeric rearrangements subtly redistribute local electron density without significantly altering the overall polarity of the reactive sites. In contrast, the arylalkanone derivatives (A1 and particularly A2) exhibit enhanced charge separation at substituted regions, reflecting stronger inductive and resonance effects that increase molecular polarisation. This increased charge differentiation correlates well with the observed widening of the HOMO–LUMO gap in the arylalkanone series, implying greater electronic stabilisation and reduced charge-transfer propensity compared to the malabaricones. While oxygen-containing functional groups dominate reactivity in both systems, the arylalkanone framework allows more effective tuning of electronic distribution through substitution, which may influence binding interactions, antioxidant efficiency, and biological activity.
Figure 7.
Mulliken charges on the selected atoms in the (a) arylalkanone (A) and its derivatives (b) A1 and (c) A2.
3. Computational Methods
All calculations were performed using DFT as implemented in the Gaussian 09 software package [27]. Geometry optimisations were carried out using the B3LYP (Becke, 3-parameter, Lee-Yang-Parr) hybrid functional [28] in conjunction with the 6-31G** basis set for all atoms. Atomic charge distributions for the optimised molecules were evaluated using Mulliken population analysis [29]. Molecular structures and frontier molecular orbitals were visualised using GaussView 6 [30].
4. Conclusions
In conclusion, DFT analysis reveals that while malabaricones and arylalkanone derivatives share similar structural features and reactive motifs, they differ notably in their electronic behaviour. Malabaricones exhibit comparable HOMO–LUMO gaps and reactivity across isomers, whereas arylalkanone derivatives show enhanced tunability, with widened energy gaps, increased stability, and stronger charge polarisation upon substitution. These findings highlight the arylalkanone framework as a more versatile scaffold for tailoring electronic properties, with potential implications for their chemical, optical, and biological applications.
Supplementary Materials
The following supporting information is available online. Figure S1: 2D MDL molecular structure of 1-(2′,6′-dihydroxyphenyl)-4-hydroxy-9-(3″,4″-dihydroxyphenyl)-nonan-1-one (A), Figure S2: 1H NMR spectrum of A; Figure S3: 13C NMR spectrum of A, Figure S4: Mass spectrum of A, Figure S5: 1H NMR spectrum of A1; Figure S6: 13C NMR spectrum of structure A1, Figure S7: Mass spectrum of A1, Figure S8: 1H NMR spectrum of A2; Figure S9: 13C NMR spectrum of A2, Figure S10: Mass spectrum of A2. All optimised structures are provided in the form of cif files.
Author Contributions
Conceptualization, N.K. and T.M.; methodology, N.K.; validation, N.K. and T.M.; formal analysis, N.K.; investigation, N.K.; data curation, N.K.; writing—original draft preparation, N.K.; writing—review and editing, N.K. All authors have read and agreed to the published version of the manuscript.
Funding
This research received no external funding.
Data Availability Statement
The original data presented in this study are included in the article, and additional information is available from the corresponding author upon request.
Acknowledgments
We acknowledge the supercomputing facilities provided by Imperial College London. During the preparation of this manuscript, the authors used ChatGPT5.2 for rephrasing sentences and grammar checks. The authors have reviewed and edited the output and take full responsibility for the content of this publication.
Conflicts of Interest
The authors declare no conflicts of interest.
References
- Bandera Herath, H.M.T.; Anoma Priyadarshini, A.M. Lignans from Myristica dactyloides. Phytochemistry 1997, 44, 699–703. [Google Scholar] [CrossRef]
- Vivekanandarajah, S.; Rajamanoharan, P.; Rajeev, P.; Sebastian, P.; Varatharasan, S. Phytochemicals from Myristica dactyloides Gaertn. Sci. Herit. J. 2020, 4, 74–75. [Google Scholar]
- Herath, H.M.T.B.; Padmasiri, W. Demethyldactyloidin and Other Constituents in Myristica ceylanica. Nat. Prod. Lett. 1999, 14, 141–146. [Google Scholar] [CrossRef]
- Herath, B. A lignan and aryl alkanones from root bark of Myristica ceylanica. J. Natl. Sci. Found. Sri Lanka 2012, 25, 69–72. [Google Scholar] [CrossRef]
- Al-Qahtani, W.H.; Dinakarkumar, Y.; Arokiyaraj, S.; Saravanakumar, V.; Rajabathar, J.R.; Arjun, K.; Gayathri, P.K.; Appaturi, J.N. Phytochemical and biological activity of Myristica fragrans, an ayurvedic medicinal plant in Southern India and its ingredient analysis. Saudi J. Biol. Sci. 2022, 29, 3815–3821. [Google Scholar] [CrossRef]
- Megawati, M.; Darmawan, A.; Hudiyono, S. Medicinal properties, phytochemistry, and pharmacology of Myristicaceae family: A review. J. Appl. Pharm. Sci. 2014, 14, 038–058. [Google Scholar] [CrossRef]
- Mega Ferdina, W. A Review on Chemical Composition, Bioactivity, and Toxicity of Myristica fragrans Houtt. Essential Oil. Indones. J. Pharm. 2021, 32, 304–313. [Google Scholar] [CrossRef]
- Wijekoon, S.P.; Herath, A.T. Biological Activities, Therapeutic Potential and Phytochemical Screening of Atalantia ceylanica: A Mini Review. South Asian Res. J. Nat. Prod. 2024, 7, 443–450. [Google Scholar] [CrossRef]
- Jaiswal, P.; Kumar, P.; Singh, V.; Singh, D. Biological Effects of Myristica fragrans. Annu. Rev. Biomed. Sci. 2009, 11, 21–29. [Google Scholar] [CrossRef]
- Othman, M.A.; Sivasothy, Y. Acylphenols and Dimeric Acylphenols from the Genus Myristica: A Review of Their Phytochemistry and Pharmacology. Plants 2023, 12, 1589. [Google Scholar] [CrossRef]
- Manoranjan, T.; Wickramasinghe, A.; Kumar, V.; Kuganathan, N. A New Arylalkanone Derived from Myristica ceylanica (Myristicaceae). Lett. Org. Chem. 2025, 22, 824–828. [Google Scholar] [CrossRef]
- Akintemi, E.O.; Govender, K.K.; Singh, T. A DFT study of the chemical reactivity properties, spectroscopy and bioactivity scores of bioactive flavonols. Comput. Theor. Chem. 2022, 1210, 113658. [Google Scholar] [CrossRef]
- Alkhatib, F.M.; Alsulami, H.M. Synthesis, characterization, DFT calculations and biological activity of new Schiff base complexes. Heliyon 2023, 9, 1. [Google Scholar] [CrossRef] [PubMed]
- Anwer, K.E.; Hamza, Z.K.; Ramadan, R.M. Synthesis, spectroscopic, DFT calculations, biological activity, SAR, and molecular docking studies of novel bioactive pyridine derivatives. Sci. Rep. 2023, 13, 15598. [Google Scholar] [CrossRef] [PubMed]
- Kiruthika, M.; Raveena, R.; Yogeswaran, R.; Elangovan, N.; Arumugam, N.; Padmanaban, R.; Djearamane, S.; Wong, L.S.; Kayarohanam, S. Spectroscopic characterization, DFT, antimicrobial activity and molecular docking studies on 4,5-bis [(E)-2-phenylethenyl]-1H, 1′ H-2, 2′-biimidazole. Heliyon 2024, 10, e29566. [Google Scholar] [CrossRef]
- Landeros-Martinez, L.-L. DFT Chemical Reactivity Analysis of Biological Molecules in the Presence of Silver Ion. Org. Chem. Curr. Res. 2015, 4, 153. [Google Scholar]
- Chandrakumar, K.R.S.; Pal, S. The Concept of Density Functional Theory Based Descriptors and its Relation with the Reactivity of Molecular Systems: A Semi-Quantitative Study. Int. J. Mol. Sci. 2002, 3, 324–337. [Google Scholar] [CrossRef]
- Agwupuye, J.A.; Gber, T.E.; Edet, H.O.; Zeeshan, M.; Batool, S.; Duke, O.E.E.; Adah, P.O.; Odey, J.O.; Egbung, G.E. Molecular modeling, DFT studies and biological evaluation of methyl 2,8-dichloro-1,2-dihydroquinoline-3-carboxylate. Chem. Phys. Impact 2023, 6, 100146. [Google Scholar] [CrossRef]
- El-Demerdash, S.H.; Halim, S.A.; El-Nahas, A.M.; El-Meligy, A.B. A density functional theory study of the molecular structure, reactivity, and spectroscopic properties of 2-(2-mercaptophenyl)-1-azaazulene tautomers and rotamers. Sci. Rep. 2023, 13, 15626. [Google Scholar] [CrossRef]
- Körzdörfer, T.; Brédas, J.-L. Organic Electronic Materials: Recent Advances in the DFT Description of the Ground and Excited States Using Tuned Range-Separated Hybrid Functionals. Acc. Chem. Res. 2014, 47, 3284–3291. [Google Scholar] [CrossRef]
- Khan, M.; Tariq, A.; Irshad, I.; Asghar, M.A.; Ahamad, T.; Chen, K. A DFT based insights for molecular designing of pyridine dipyrrolide core with benzodithiophene-based acceptors for organic solar cells. Sci. Rep. 2025, 15, 25708. [Google Scholar] [CrossRef]
- Raftani, M.; Abram, T.; Azaid, A.; Kacimi, R.; Bennani, M.N.; Bouachrine, M. Theoretical design of new organic compounds based on diketopyrrolopyrrole and phenyl for organic bulk heterojunction solar cell applications: DFT and TD-DFT study. Mater. Today Proc. 2021, 45, 7334–7343. [Google Scholar] [CrossRef]
- Perils, J.; Cortezon-Tamarit, F.; Kuganathan, N.; Kociok-Köhn, G.; Dilworth, J.R.; Pascu, S.I. Novel rhenium(V) nitride complexes with dithiocarbimate ligands—A synchrotron X-ray and DFT structural investigation. Inorganica Chim. Acta 2018, 475, 142–149. [Google Scholar] [CrossRef]
- Green, M.J.; Ge, H.; Flower, S.E.; Pourzand, C.; Botchway, S.W.; Wang, H.-C.; Kuganathan, N.; Kociok-Köhn, G.; Li, M.; Xu, S.; et al. Fluorescent naphthalimide boronates as theranostics: Structural investigations, confocal fluorescence and multiphoton fluorescence lifetime imaging microscopy in living cells. RSC Chem. Biol. 2023, 4, 1082–1095. [Google Scholar] [CrossRef]
- Starostin, R.O.; Freidzon, A.Y.; Gromov, S.P. Theoretical Study of Structure Photophysics of Homologous Series of Bis(arylydene)cycloalkanones. Int. J. Mol. Sci. 2023, 24, 13362. [Google Scholar] [CrossRef]
- He, L.; She, L.; Wang, L.; Mi, C.; Ma, K.; Yu, M.; Long, X.; Zhang, C. The electric regulation mechanism of drug molecules intercalating with, D.N.A. Arch. Biochem. Biophys. 2024, 762, 110203. [Google Scholar] [CrossRef] [PubMed]
- Frisch, M.; Clemente, F. Gaussian 09, Revision A. 01; Frisch, M.J., Trucks, G.W., Schlegel, H.B., Scuseria, G.E., Robb, M.A., Cheeseman, J.R., Scalmani, G., Barone, V., Mennucci, B., Petersson, G.A., et al., Eds.; Gaussian, Inc.: Wallingford, CT, USA, 2009. [Google Scholar]
- Lee, C.; Yang, W.; Parr, R.G. Development of the Colle-Salvetti correlation-energy formula into a functional of the electron density. Phys. Rev. B 1988, 37, 785–789. [Google Scholar] [CrossRef] [PubMed]
- Mulliken, R.S. Electronic Population Analysis on LCAO–MO Molecular Wave Functions. I. J. Chem. Phys. 1955, 23, 1833–1840. [Google Scholar] [CrossRef]
- Dennington, R.; Keith, T.A.; Millam, J.M. GaussView 6.0.16; Semichem Inc.: Shawnee Mission, KS, USA, 2016. [Google Scholar]
Disclaimer/Publisher’s Note: The statements, opinions and data contained in all publications are solely those of the individual author(s) and contributor(s) and not of MDPI and/or the editor(s). MDPI and/or the editor(s) disclaim responsibility for any injury to people or property resulting from any ideas, methods, instructions or products referred to in the content. |
© 2026 by the authors. Licensee MDPI, Basel, Switzerland. This article is an open access article distributed under the terms and conditions of the Creative Commons Attribution (CC BY) license.






