Synthesis of 5′-Chlorospiro(benzo[d][1,3]dioxole-2,4′-[1,2,6]thiadiazin)-3′-amine and 10-Chloro-1,4-dioxa-8-thia-7,9-diazaspiro[4.5]deca-6,9-dien-6-amine
Abstract
1. Introduction
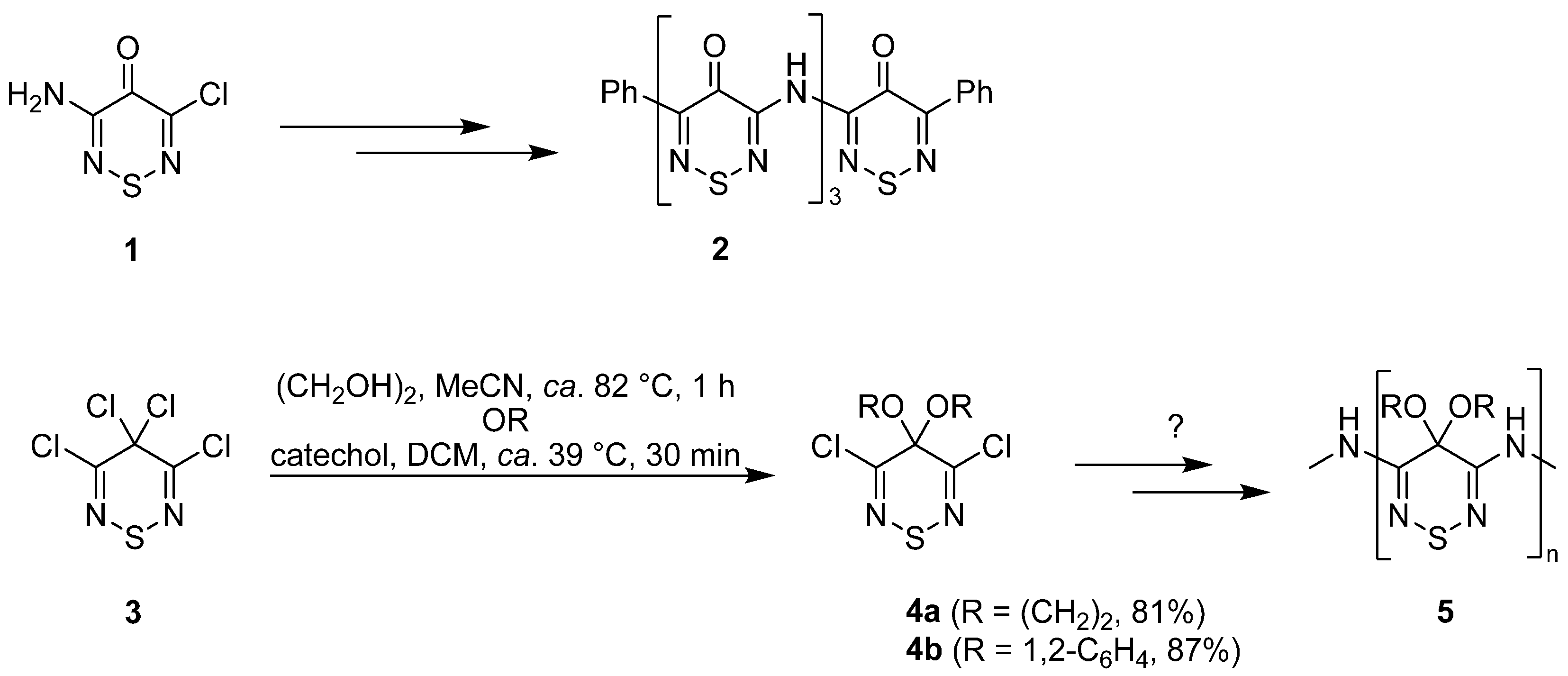
2. Results and Discussion
3. Materials and Methods
Supplementary Materials
Author Contributions
Funding
Data Availability Statement
Acknowledgments
Conflicts of Interest
References
- Doebel, K.J.; Graeme, M.L.; Gruenfeld, N.; Ignarro, L.J.; Piliero, S.J.; Wasley, J.W.F. Non-steroidal Anti-inflammatory Agents. Annu. Rep. Med. Chem. 1969, 5, 225–236. [Google Scholar]
- Hidaka, K.; Matsumoto, M.; Tada, S.; Tasaki, Y.; Yamaguchi, T. Differential effects of [3H]nemonapride and [3H]spiperone binding on human dopamine D4 receptors. Neurosci. Lett. 1995, 186, 145–148. [Google Scholar] [CrossRef]
- Diemunsch, P.; Joshi, G.P.; Brichant, J.F. Neurokinin-1 receptor antagonists in the prevention of postoperative nausea and vomiting. Br. J. Anaesth. 2009, 103, 7–13. [Google Scholar] [CrossRef]
- Basavaraja, D.; Siby, A.; Sreelakshmi, V.; Ancy, A.; Somappa, S.B. Spiro-heterocycles: Recent advances in biological applications and synthetic strategies. Tetrahedron 2025, 173, 134468. [Google Scholar] [CrossRef]
- Kalogirou, A.S.; Kourtellaris, A.; Koutentis, P.A. Synthesis of Oligomeric 4H-1,2,6-Thiadiazines. ChemistrySelect 2025, 10, e202405838. [Google Scholar] [CrossRef]
- Burt, F.P. XCIX.—A new sulphide of nitrogen. J. Chem. Soc. Trans. 1910, 97, 1171–1174. [Google Scholar] [CrossRef]
- Cava, M.P.; Lakshmikantham, M.V.; Hoffmann, R.; Williams, R.M. R. B. Woodward’s unfinished symphony: Designing organic superconductors (1975–79). Tetrahedron 2011, 67, 6771–6797. [Google Scholar] [CrossRef]
- Koutentis, P.A.; Rees, C.W. Reaction of tetracyanoethylene with SCl2; new molecular rearrangements. J. Chem. Soc. Perkin Trans. 2000, 1, 1089–1094. [Google Scholar] [CrossRef]
- Müllen, K.; Scherf, U. Conjugated Polymers: Where We Come From, Where We Stand, and Where We Might Go. Macromol. Chem. Phys. 2023, 224, 2200337. [Google Scholar] [CrossRef]
- Dwivedi, R.; Dwivedi, R.K. A Comprehensive Review on Conducting Polymers for Multifaceted Applications. J. Inorg. Organomet. Polym. Mater. 2025, 35, 1–39. [Google Scholar] [CrossRef]
- Lu, H.; Li, X.; Lei, Q. Conjugated Conductive Polymer Materials and its Applications: A Mini-Review. Front. Chem. 2021, 9, 732132. [Google Scholar] [CrossRef] [PubMed]
- Namsheer, K.; Rout, C.S. Conducting polymers: A comprehensive review on recent advances in synthesis, properties and applications. RSC Adv. 2021, 11, 5659–5697. [Google Scholar] [CrossRef] [PubMed]
- Alsolami, E.S.; Alorfi, H.S.; Alamry, K.A.; Hussein, M.A. One-pot multicomponent polymerization towards heterocyclic polymers: A mini review. RSC Adv. 2024, 14, 1757–1781. [Google Scholar] [CrossRef] [PubMed]
- Kanibolotsky, A.L.; Findlay, N.J.; Skabara, P.J. Polythiophene and oligothiophene systems modified by TTF electroactive units for organic electronics. Beilstein J. Org. Chem. 2015, 11, 1749–1766. [Google Scholar] [CrossRef]
- Hsua, H.-W.; Liu, C.-L. Spray-coating semiconducting conjugated polymers for organic thin film transistor applications. RSC Adv. 2014, 4, 30145–30149. [Google Scholar] [CrossRef]
- Ma, Q.; Li, L.; Zhang, Y.; Geng, Y.; Li, J. Progress in Sulfur-Containing Dynamic Polymers. J. Funct. Polym. 2024, 37, 66–81. [Google Scholar] [CrossRef]
- Lin, H.; Bai, H.; Yang, Z.; Shen, Q.; Li, M.; Huang, Y.; Lv, F.; Wang, S. Conjugated polymers for biomedical applications. Chem. Commun. 2022, 58, 7232–7244. [Google Scholar] [CrossRef]
- Wang, Y.; Zhang, H.; Wang, Z.; Feng, L. Photothermal Conjugated Polymers and Their Biological Applications in Imaging and Therapy. ACS Appl. Polym. Mater. 2020, 2, 4222–4240. [Google Scholar] [CrossRef]
- Kalogirou, A.S.; Koutentis, P.A. Regioselective geminal dichloride reactivity of 3,4,4,5-tetrachloro-4H-1,2,6-thiadiazine: Access to 4,4-dioxo- and dithio-ketals. Tetrahedron Lett. 2016, 57, 203–205. [Google Scholar] [CrossRef]
- Geevers, J.; Trompen, W.P. Synthesis and reactions of 3,5-dichloro-4H-1,2,6-thiadiazin-4-one. Recl. Trav. Chim. Pays-Bas 1974, 93, 270–272. [Google Scholar] [CrossRef]
- Kristinsson, A. Addition of sulfenyl chlorides to the cyanogen bond in activated nitriles. Tetrahedron Lett. 1973, 14, 4489. [Google Scholar] [CrossRef]
- Geevers, J.; Trompen, W.P. Reactions of N-chloro formimidoyl chlorides with sulfur. Tetrahedron Lett. 1974, 15, 1687–1690. [Google Scholar] [CrossRef]
- Kalogirou, A.S.; Koutentis, P.A. Substitution chemistry of 3,5-dichloro-4H-1,2,6-thiadiazine 4,4-ketals. Tetrahedron Lett. 2016, 57, 3307–3310. [Google Scholar] [CrossRef]



Disclaimer/Publisher’s Note: The statements, opinions and data contained in all publications are solely those of the individual author(s) and contributor(s) and not of MDPI and/or the editor(s). MDPI and/or the editor(s) disclaim responsibility for any injury to people or property resulting from any ideas, methods, instructions or products referred to in the content. |
© 2026 by the authors. Licensee MDPI, Basel, Switzerland. This article is an open access article distributed under the terms and conditions of the Creative Commons Attribution (CC BY) license.
Share and Cite
Kalogirou, A.S.; Koutentis, P.A. Synthesis of 5′-Chlorospiro(benzo[d][1,3]dioxole-2,4′-[1,2,6]thiadiazin)-3′-amine and 10-Chloro-1,4-dioxa-8-thia-7,9-diazaspiro[4.5]deca-6,9-dien-6-amine. Molbank 2026, 2026, M2125. https://doi.org/10.3390/M2125
Kalogirou AS, Koutentis PA. Synthesis of 5′-Chlorospiro(benzo[d][1,3]dioxole-2,4′-[1,2,6]thiadiazin)-3′-amine and 10-Chloro-1,4-dioxa-8-thia-7,9-diazaspiro[4.5]deca-6,9-dien-6-amine. Molbank. 2026; 2026(1):M2125. https://doi.org/10.3390/M2125
Chicago/Turabian StyleKalogirou, Andreas S., and Panayiotis A. Koutentis. 2026. "Synthesis of 5′-Chlorospiro(benzo[d][1,3]dioxole-2,4′-[1,2,6]thiadiazin)-3′-amine and 10-Chloro-1,4-dioxa-8-thia-7,9-diazaspiro[4.5]deca-6,9-dien-6-amine" Molbank 2026, no. 1: M2125. https://doi.org/10.3390/M2125
APA StyleKalogirou, A. S., & Koutentis, P. A. (2026). Synthesis of 5′-Chlorospiro(benzo[d][1,3]dioxole-2,4′-[1,2,6]thiadiazin)-3′-amine and 10-Chloro-1,4-dioxa-8-thia-7,9-diazaspiro[4.5]deca-6,9-dien-6-amine. Molbank, 2026(1), M2125. https://doi.org/10.3390/M2125

