4’-Ethyl 1,2-dimethyl 1’,5-dibenzyl-4,4-dicyano-2’-oxo-5’-phenyl-1’,2’,4a,5-tetrahydro-4H-spiro[benzo[4,5]imidazo[1,2-a]pyridine-3,3’-pyrrole]-1,2,4’-tricarboxylate
Abstract
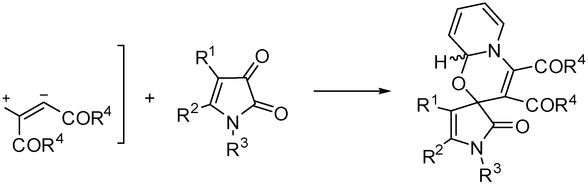
1. Introduction
2. Results and Discussion
3. Materials and Methods
3.1. General Information
3.2. 4’-Ethyl 1,2-dimethyl (3S*,4aR*)-1’,5-dibenzyl-4,4-dicyano-2’-oxo-5’-phenyl-1’,2’,4a,5-tetrahydro-4H-spiro[benzo[4,5]imidazo[1,2-a]pyridine-3,3’-pyrrole]-1,2,4’-tricarboxylate 2
4. Conclusions
Supplementary Materials
Author Contributions
Funding
Data Availability Statement
Conflicts of Interest
Abbreviations
| DMAD | Dimethyl acetylenedicarboxylate |
References
- De, N.; Yoo, E.J. Recent advances in the catalytic cycloaddition of 1,n-dipoles. ACS Catal. 2018, 8, 48–58. [Google Scholar] [CrossRef]
- Nair, V.; Deepthi, A.; Ashok, D.; Raveendran, A.E.; Paul, R.R. 1,4-Dipolar cycloadditions and related reactions. Tetrahedron 2014, 70, 3085–3105. [Google Scholar] [CrossRef]
- Trofimov, B.A.; Belyaeva, K.V. Zwitterionic adducts of N-heterocycles to electrophilic acetylenes as a master key to diversity and complexity of fundamental nitrogen heterocycles. Tetrahedron Lett. 2020, 61, 151991. [Google Scholar] [CrossRef]
- Wang, Y.; Jin, Z.; Zhou, L.; Lv, X. Recent advances in [4 + 4] annulation of conjugated heterodienes with 1,4-dipolar species for the synthesis of eight-membered heterocycles. Org. Biomol. Chem. 2024, 22, 252–268. [Google Scholar] [CrossRef] [PubMed]
- Chen, X.Y.; Zheng, H.; Han, Y.; Sun, J.; Yan, C.G. The unique reactivity of 5,6-unsubstituted 1,4-dihydropyridine in the Huisgen 1,4-diploar cycloaddition and formal [2 + 2] cycloaddition. Beilstein J. Org. Chem. 2023, 19, 982–990. [Google Scholar] [CrossRef] [PubMed]
- Al-Mahadeen, M.M.; Jaber, A.M.; Zahra, J.A.; El-Abadelah, M.M.; Alshaer, W.; Taha, M.O. Synthesis of novel benzothieno-[3,2’-f][1,3]oxazepines and their isomeric 2-oxo-2H-spiro[benzothiophene-3,3’-pyrrolines] via 1,4-dipolar cycloaddition reaction and their evaluation as cytotoxic anticancer leads. Med. Chem. Res. 2024, 33, 918–929. [Google Scholar] [CrossRef]
- Moroz, A.A.; Dmitriev, M.V.; Maslivets, A.N. Synthesis of Spiro[pyrrole–pyrrolizidines] by 1,3-Dipolar Cycloaddition of Azomethine Ylides to 3-Ylidenepyrrol-2-ones. Russ. J. Org. Chem. 2020, 56, 1166–1173. [Google Scholar] [CrossRef]
- Galeev, A.R.; Moroz, A.A.; Dmitriev, M.V.; Maslivets, A.N. Cycloaddition of Huisgen 1,4-dipoles: Synthesis and rapid epimerization of functionalized spiropyrido[2,1-b][1,3]oxazine-pyrroles and related products. RSC Adv. 2022, 12, 578–587. [Google Scholar] [CrossRef] [PubMed]
- Yang, F.; Zhang, L.J.; Yan, C.G. Four-component reaction of N-alkylimidazoles(N-alkylbenzimidazoles), dialkyl but-2-ynedioate, N-alkylisatins and malononitrile. RSC Adv. 2014, 4, 64466–64475. [Google Scholar] [CrossRef]
- CrysAlisPro, Version 1.171.37.33 (Release 27 March 2014 CrysAlis171 .NET), Agilent Technologies, Oxford Diffraction: Wroclaw, Poland, 2014. Available online: https://www.rigaku.com/products/crystallography/crysalis (accessed on 10 December 2023).
- Dolomanov, O.V.; Bourhis, L.J.; Gildea, R.J.; Howard, J.A.K.; Puschmann, H. OLEX2: A complete structure solution, refinement and analysis program. J. Appl. Cryst. 2009, 42, 339–341. [Google Scholar] [CrossRef]
- Sheldrick, G.M. A short history of SHELX. Acta Crystallogr. Sect. A Found. Crystallogr. 2008, 64, 112–122. [Google Scholar] [CrossRef] [PubMed]
- Sheldrick, G.M. Crystal structure refinement with SHELXL. Acta Crystallogr. Sect. C Struct. Chem. 2015, 71, 3–8. [Google Scholar] [CrossRef] [PubMed]





Disclaimer/Publisher’s Note: The statements, opinions and data contained in all publications are solely those of the individual author(s) and contributor(s) and not of MDPI and/or the editor(s). MDPI and/or the editor(s) disclaim responsibility for any injury to people or property resulting from any ideas, methods, instructions or products referred to in the content. |
© 2026 by the authors. Licensee MDPI, Basel, Switzerland. This article is an open access article distributed under the terms and conditions of the Creative Commons Attribution (CC BY) license.
Share and Cite
Moroz, A.A.; Dmitriev, M.V.; Maslivets, A.N. 4’-Ethyl 1,2-dimethyl 1’,5-dibenzyl-4,4-dicyano-2’-oxo-5’-phenyl-1’,2’,4a,5-tetrahydro-4H-spiro[benzo[4,5]imidazo[1,2-a]pyridine-3,3’-pyrrole]-1,2,4’-tricarboxylate. Molbank 2026, 2026, M2118. https://doi.org/10.3390/M2118
Moroz AA, Dmitriev MV, Maslivets AN. 4’-Ethyl 1,2-dimethyl 1’,5-dibenzyl-4,4-dicyano-2’-oxo-5’-phenyl-1’,2’,4a,5-tetrahydro-4H-spiro[benzo[4,5]imidazo[1,2-a]pyridine-3,3’-pyrrole]-1,2,4’-tricarboxylate. Molbank. 2026; 2026(1):M2118. https://doi.org/10.3390/M2118
Chicago/Turabian StyleMoroz, Anna A., Maksim V. Dmitriev, and Andrey N. Maslivets. 2026. "4’-Ethyl 1,2-dimethyl 1’,5-dibenzyl-4,4-dicyano-2’-oxo-5’-phenyl-1’,2’,4a,5-tetrahydro-4H-spiro[benzo[4,5]imidazo[1,2-a]pyridine-3,3’-pyrrole]-1,2,4’-tricarboxylate" Molbank 2026, no. 1: M2118. https://doi.org/10.3390/M2118
APA StyleMoroz, A. A., Dmitriev, M. V., & Maslivets, A. N. (2026). 4’-Ethyl 1,2-dimethyl 1’,5-dibenzyl-4,4-dicyano-2’-oxo-5’-phenyl-1’,2’,4a,5-tetrahydro-4H-spiro[benzo[4,5]imidazo[1,2-a]pyridine-3,3’-pyrrole]-1,2,4’-tricarboxylate. Molbank, 2026(1), M2118. https://doi.org/10.3390/M2118

