(RS)-6,6,7′,7′-Tetramethyl-2-sulfanylidene-5,6,6′,7′-tetrahydro-2H,2′H,4H,4′H,5′H-spiro[thiopyran-3,3′-thiopyrano [2,3-b]thiopyran]-4,5′-dione
Abstract
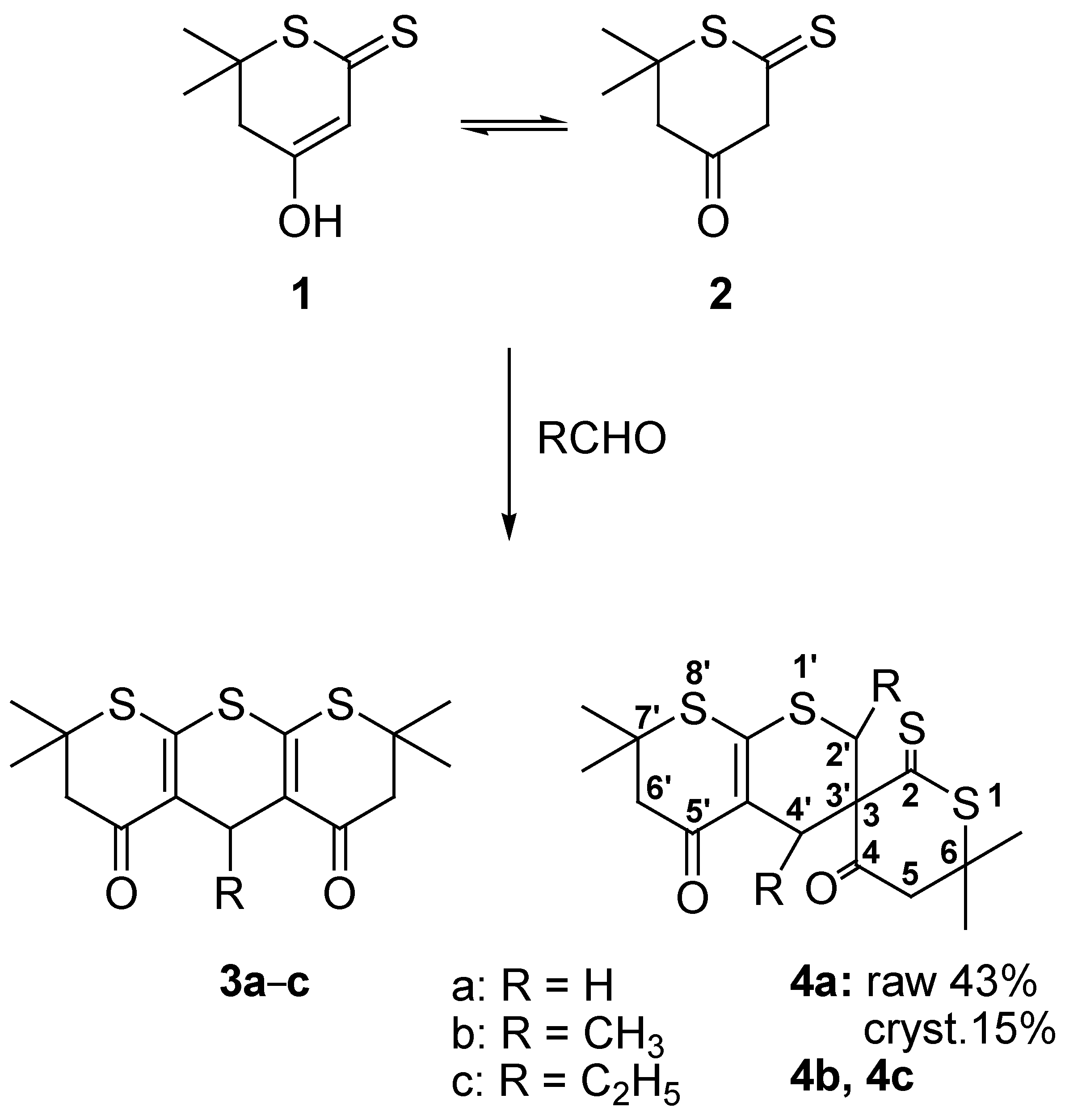
1. Introduction
2. Results
3. Materials and Methods
3.1. Instrumentation and Chemicals
3.2. Synthesis of (RS)-6,6,7′,7′-Tetramethyl-2-sulfanylidene-5,6,6′,7′-tetrahydro-2H,2′H,4H,4′H,5′H-spiro[thiopyrane-3,3′-thiopyrano [2,3-b]thiopyran]-4,5′-dione 4a
3.3. X-Ray Structure Determination of 4a
Supplementary Materials
Author Contributions
Funding
Data Availability Statement
Acknowledgments
Conflicts of Interest
Abbreviations
| CC | Column Chromatography |
| COSY | Correlated Spectroscopy |
| DEPT | Distortionless Enhancement by Polarization Transfer |
| DIP-EI | Direct Insertion Probe-Electron Ionization |
| DMSO | Dimethylsulfoxide |
| FT-IR | Fourier-Transform-Infrared Spectroscopy |
| HCOOH | Formic Acid |
| HESI | Heated-Electronspray Ionization |
| HMBC | Heteronuclear Multiple Bond Correlation |
| HPLC | High-Performance Liquid Chromatography |
| HRMS | High-Resolution Mass Spectroscopy |
| HSQC | Heteronuclear Single Quantum Coherence |
| MeCN | Acetonitrile |
| MS | Mass Spectroscopy |
| PDA | Photodiode Array |
| TLC | Thin-Layer Chromatography |
| UV | Ultra-Violet |
References
- Schweiger, K.; Wendelin, W.; Kratky, C. Reaction of the Tautomers 4-Hydroxy-2H-thiopyrane-2-thione and 2-Mercapto-4H-thiopyrane-4-one with Aliphatic Aldehydes. Chem. Mon. 1983, 114, 1359–1370. [Google Scholar] [CrossRef]
- Schweiger, K. Syntheses of 4-Dialkylamino-5,6-dihydrothiopyrane-2-thiones. Chem. Mon. 1980, 111, 1175–1184. [Google Scholar] [CrossRef]
- Schweiger, K. Syntheses of 4-Hydroxy-6,6-dimethyl-5,6-dihydro-2H-thiopyran-2-thion resp. -one and the Corresponding Tautomers. Chem. Mon. 1982, 113, 1283–1297. [Google Scholar] [CrossRef]
- Rigaku Corporation. CrysAlisPro, 1.171.43.120a; Rigaku Oxford Diffraction: Tokyo, Japan, 2024. [Google Scholar]
- Scheldrick, G.M. SHELXT-Integrated space-group crystal structure determination. Acta Crystallogr. Sect. A Found. Adv. 2015, 71, 3–8. [Google Scholar] [CrossRef] [PubMed]
- Dolomanov, O.V.; Bourhis, L.J.; Gildea, R.J.; Howard, J.A.K.; Puschmann, H. OLEX2: A complete structure solution, refinement and analysis program. J. Appl. Crystallogr. 2009, 42, 339–341. [Google Scholar] [CrossRef]
- Scheldrick, G.M. Crystal structure refinement with SHELXL. Acta Crystallogr. Sect. C Struct. Chem. 2015, 71, 3–8. [Google Scholar] [CrossRef] [PubMed]



| Empirical formula | C16H20O2S4 |
| Formula weight | 372.56 |
| Temperature/K | 100.0(2) |
| Crystal system | monoclinic |
| Space group | P21/n |
| a/Å | 7.60960(10) |
| b/Å | 27.9654(4) |
| c/Å | 8.26570(10) |
| α/° | 90 |
| β/° | 97.3050(10) |
| γ/° | 90 |
| Volume/Å3 | 1744.71(4) |
| Z | 4 |
| ρcalc g/cm3 | 1.418 |
| μ/mm−1 | 5.030 |
| F(000) | 784.0 |
| Crystal size/mm3 | 0.11 × 0.08 × 0.03 |
| Radiation | Cu Kα (λ = 1.54184 Å) |
| 2Θ range for data collection/° | 6.322 to 154.72 |
| Index ranges | −9 ≤ h ≤ 9, −35 ≤ k ≤ 35, −7 ≤ l ≤ 10 |
| Reflections collected | 18,900 |
| Independent reflections | 3697 [Rint = 0.0394, Rsigma = 0.0300] |
| Data/restraints/parameters | 3697/0/203 |
| Goodness-of-fit on F2 | 1.051 |
| Final R indexes [I ≥ 2σ (I)] | R1 = 0.0262, wR2 = 0.0628 |
| Final R indexes [all data] | R1 = 0.0303, wR2 = 0.0644 |
| Largest diff. peak/hole/e.Å−3 | 0.35/−0.20 |
Disclaimer/Publisher’s Note: The statements, opinions and data contained in all publications are solely those of the individual author(s) and contributor(s) and not of MDPI and/or the editor(s). MDPI and/or the editor(s) disclaim responsibility for any injury to people or property resulting from any ideas, methods, instructions or products referred to in the content. |
© 2026 by the authors. Licensee MDPI, Basel, Switzerland. This article is an open access article distributed under the terms and conditions of the Creative Commons Attribution (CC BY) license.
Share and Cite
Seebacher, W.; Dupé, A.; Pferschy-Wenzig, E.-M.; Saf, R.; Hermann, T.; Weis, R. (RS)-6,6,7′,7′-Tetramethyl-2-sulfanylidene-5,6,6′,7′-tetrahydro-2H,2′H,4H,4′H,5′H-spiro[thiopyran-3,3′-thiopyrano [2,3-b]thiopyran]-4,5′-dione. Molbank 2026, 2026, M2117. https://doi.org/10.3390/M2117
Seebacher W, Dupé A, Pferschy-Wenzig E-M, Saf R, Hermann T, Weis R. (RS)-6,6,7′,7′-Tetramethyl-2-sulfanylidene-5,6,6′,7′-tetrahydro-2H,2′H,4H,4′H,5′H-spiro[thiopyran-3,3′-thiopyrano [2,3-b]thiopyran]-4,5′-dione. Molbank. 2026; 2026(1):M2117. https://doi.org/10.3390/M2117
Chicago/Turabian StyleSeebacher, Werner, Antoine Dupé, Eva-Maria Pferschy-Wenzig, Robert Saf, Theresa Hermann, and Robert Weis. 2026. "(RS)-6,6,7′,7′-Tetramethyl-2-sulfanylidene-5,6,6′,7′-tetrahydro-2H,2′H,4H,4′H,5′H-spiro[thiopyran-3,3′-thiopyrano [2,3-b]thiopyran]-4,5′-dione" Molbank 2026, no. 1: M2117. https://doi.org/10.3390/M2117
APA StyleSeebacher, W., Dupé, A., Pferschy-Wenzig, E.-M., Saf, R., Hermann, T., & Weis, R. (2026). (RS)-6,6,7′,7′-Tetramethyl-2-sulfanylidene-5,6,6′,7′-tetrahydro-2H,2′H,4H,4′H,5′H-spiro[thiopyran-3,3′-thiopyrano [2,3-b]thiopyran]-4,5′-dione. Molbank, 2026(1), M2117. https://doi.org/10.3390/M2117

