Next Article in Journal
(E)-4,2′,4′-Trimethoxychalcone (Z)-N-Tosyl Hydrazone
Previous Article in Journal
(3a,8b)-5-Acetyl-3a-fluoro-6,8-dihydroxy-7,8b-dimethyl-3,3a-dihydrofuro[3,2-b]benzofuran-2(8bH)-one
 
 
Font Type:
Arial Georgia Verdana
Font Size:
Aa Aa Aa
Line Spacing:
Column Width:
Background:
Short Note

2,2′-((5,5′,6,6′-Tetramethoxy-[1,1′-biphenyl]-3,3′-diyl)bis(methanylylidene))dimalononitrile

1
Kemitek, Cégep de Thetford, 835 Rue Mooney, Thetford Mines, QC G6G 0A5, Canada
2
Département de Chimie, Université Laval, 1045 Avenue de la Médecine, Quebec, QC G1V 0A6, Canada
*
Author to whom correspondence should be addressed.
Molbank 2025, 2025(2), M1996; https://doi.org/10.3390/M1996
Submission received: 6 April 2025 / Revised: 22 April 2025 / Accepted: 23 April 2025 / Published: 24 April 2025

Abstract

This report discusses the synthesis of a biosourced divanillin derivative obtained by Knoevenagel condensation. The compound was fully characterized by proton (1H), carbon (13C), heteronuclear single quantum coherence (HSQC), homonuclear correlation spectroscopy (COSY), and heteronuclear multiple bond correlation (HMBC) NMR, as well as high-resolution mass spectroscopy (HRMS). We also investigated the optical properties through UV-visible spectroscopy and Fourier-transform infrared (FTIR) spectroscopy. At last, the thermal properties of this divanillin derivative were evaluated by thermogravimetric analysis (TGA) as well as differential scanning calorimetry (DSC).

1. Introduction

Several organic pigments can be obtained from natural sources. For instance, indigo can be extracted from Isatis tinctoria, β-carotene from vegetables (i.e., carrots, orange peel), chlorophyll from plants and algae, and guaiazulene from the Australian cypress-pine Callitris intratropica [1,2,3,4]. Similarly, Tyrian purple and phenazine pigments can also be obtained from microbial and bacterial sources [5,6]. However, due to their sourcing, most of these pigments cannot be produced in large quantities. Indeed, most of the organic pigments used today are sourced from petrochemicals. For instance, synthetic pigments such as azo, phthalocyanine, quinacridone, and anthraquinone, as well as VAT dyes, are produced industrially [7,8,9].
By contrast, lignocellulosic materials are promising alternatives as they are the most abundant materials on the planet and can be broken down into several aromatic platform chemicals [10,11]. One compound of interest obtained from lignin is vanillin [12]. Vanillin possesses three functional groups (hydroxy, aldehyde, methoxy) and can be transformed into a plethora of compounds for pigments purposes [13]. Moreover, vanillin can also be dimerized into divanillin, opening the way to expand its chemistry for pigments, materials and bioactive compounds applications (Figure 1).
In this work, we report on the preparation of a novel biosourced divanillin-based pigment prepared from vanillin (compound 3, Scheme 1). This research showcases how renewable lignocellulosic material can be transformed successfully into biosourced pigment.

2. Results

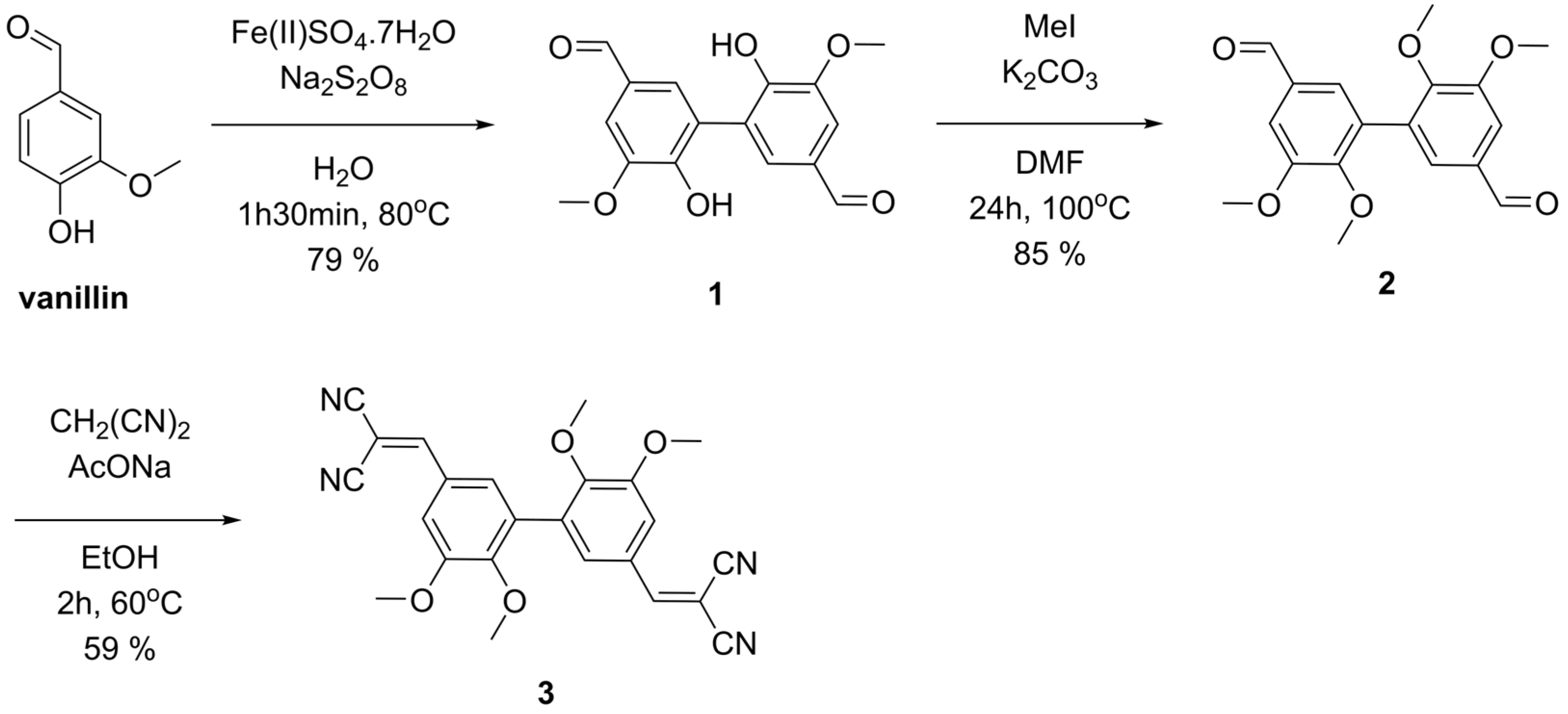
Herein, we present the synthesis of 2,2′-((5,5′,6,6′-tetramethoxy-[1,1′-biphenyl]-3,3′-diyl)bis(methanylylidene))dimalononitrile 3 as shown in Scheme 1. First, vanillin was dimerized in the presence of iron(II)sulfate heptahydrate and iron persulfate in water. The resulting mixture was stirred for 1 h 30 min at 80 °C. After filtration and drying under vacuum (48 h, 80 °C), compound 1 (divanillin) was obtained in a yield of 79% [14]. Then, compound 1 was methylated using methyl iodide with potassium carbonate in N,N-dimethylformamide (DMF). The reaction was carried out at 100 °C for 24 h. After cooling and filtration, compound 2 was obtained in 85% yield [15]. At last, compound 3 was prepared by a Knoevenagel condensation reaction using malononitrile and sodium acetate in ethanol. After reacting for 2 h at 60 °C, the mixture was acidified and purified by redispersion in a 1:1 mixture of EtOH/acetone to afford newly prepared 2,2′-((5,5′,6,6′-tetramethoxy-[1,1′-biphenyl]-3,3′-diyl)bis(methanylylidene))dimalononitrile 3 in a 59% yield [16]. The procedure is further explained in detail in the experimental section.
The structure of compound 3 was clearly confirmed using an array of spectroscopic techniques. First, compound 3 was characterized by Fourier-transform infrared spectroscopy (FTIR), identifying the presence of nitrile groups (-CN) at 2227 cm−1 and the absence of carbonyl groups (aldehydes at 1690 cm−1 from compound 2, see Supplementary Information).
Then, NMR spectroscopy provided important information about the arrangement and connection of hydrogen and carbon atoms. 1H NMR analysis of compound 3 shows signals for the hydrogen atoms of the vinylene group (CN2-C=C-H) at 8.46 ppm as a singlet. The protons from the methoxy groups are observed at 3.90 and 3.72 ppm. At last, C-H protons from the benzene rings are observed as a multiplet at 7.78 and 7.43 ppm. Concerning the 13C NMR spectrum, all carbon atoms are present. The signals of the carbon atom corresponding to the vinylene group are observed at 160.38 ppm (CH=C-CN2) and 79.86 ppm (CH=C-CN2) ppm, while carbon atoms from the nitrile groups are observed at 113.93 ppm and 113.57 ppm, respectively (CH=C-CN2). Carbon atoms from the methoxy are clearly identified at 60.76 and 55.97 ppm (O-CH3). Finally, carbon atoms from the benzene rings are observed between 152.33 to 114.42 ppm.
Two-dimensional NMR experiments were also carried out, namely COSY, HMBC, and HSQC (see Supplementary Information). The COSY spectrum showed the limited 1H-1H direct bond coupling, thus confirming that protons from the methoxy groups and aromatic protons are independent of each other. Secondly, the HSQC spectrum showed the direct 13C-1H bond, confirming that the protons of the methoxy groups are attached to the carbon atoms at 60.76 and 55.97 ppm (O-CH3). Likewise, aromatic protons at 7.78 and 7.43 ppm are attached to the carbons between 126.7 to 114.3 ppm. At last, the HMBC spectrum highlighted the long-range 1H-13C coupling present in compound 3. The 1-D and 2-D NMR spectra are all in accordance with the proposed chemical structure for compound 3.
Thermogravimetric analysis (TGA) and differential scanning calorimetry (DSC) provide meaningful information about the thermal behavior of compound 3 (see Supporting Information). TGA and DSC were carried out to evaluate the thermal stability of compound 3 and the presence of thermal transitions (such as fusion (Tf) and crystallization (Tc)), respectively. TGA thermograms showed that compound 3 is stable up to 298 °C (Td) under air. On the other hand, DSC analysis of compound 3 showed fusion (Tf) at 250 °C upon heating (10 °C/min) and crystallization (Tc) at 167 °C when cooling (10 °C/min).
The high-resolution mass spectroscopy (HR-MS) accurately determined the molecular weight of the compound. Likewise, Fourier-transform infrared spectroscopy (FTIR) successfully identified key functional groups through their specific vibrational patterns.
Moreover, UV-visible spectroscopy (in solution) has been carried out on compounds 2 and 3 (Figure 2). We observe an absorption peak at 275 nm for compound 2, whereas compound 3 showed a peak at 364 nm, highlighting the fact they are two different compounds. As expected, increasing the conjugation length with the presence of nitrile groups attached to the ethylene redshifted the absorption maximum of compound 2 from 275 nm to 364 nm (compound 3).

3. Materials and Methods

All reagents and chemicals were obtained from sources (Sigma-Aldrich (Oakville, QC, Canada), Oakwood Chemical (Estill, SC, USA), and Ambeed (Arlington Hts, IL, USA)) except biosourced vanillin, which was graciously provided by Borregaard. All chemicals were used as received without further purification. The 1H and 13C NMR spectra of the compounds were recorded using a Bruker Fourier 300 spectrometer in the appropriate deuterated solvents at 293 K. Chemical shifts were reported as δ values (ppm) relative to the residual solvent signals: DMSO-d6 (1H NMR = 2.50 ppm, 13C NMR = 39.52 ppm). Coupling constants are reported to the nearest 0.5 Hz. FT-IR spectroscopy was performed on solid samples (ATR) using Agilent Technologies Cary 630 FTIR. Electrospray ionization (ESI) high-resolution mass spectrometry (HRMS) was carried out using an Agilent 6210 LC time-of-flight mass spectrometer. Thermogravimetric analysis (TGA) was performed on a TA TGA Q500 under air at a heating rate of 20 °C/min. The degradation temperature (Td) was determined after a 5% weight loss of the initial sample. Differential scanning calorimetry (DSC) was carried out using a TA DSC Q2000 under a constant nitrogen flow, with calibration performed using an indium standard. The DSC scans included initial heating from 0 °C to 250 °C, followed by cooling from 250 °C to 0 °C, and a final heating step temperature (Td) and 5 °C/min to obtain the temperature of fusion (Tf). UV-visible spectra were recorded on an Agilent Technologies Cary 60 Spectrophotometer in N,N-dimethylformamide (DMF). Preparation of compounds 1 and 2 has been previously reported in the literature [14,15]. However, for the benefit of the reader, their experimental protocols are reported below.

3.1. Synthetic Procedures

3.1.1. Synthesis of 6,6′-Dihydroxy-5,5′-dimethoxy-[1,1′-biphenyl]-3,3′-dicarbaldehyde 1

In a three neck-flask, was added vanillin (50 g, 329 mmol, 1 Eq.) in water (2.50 L). Then, iron(II) sulfate heptahydrate (1.83 g, 6.57 mmol, 0.02 Eq.) was added, followed by the addition of sodium persulfate (41.5 g, 174 mmol, 0.53 Eq.) in small portions. The mixture was heated at 80 °C for 1 h 30 min. The mixture was cooled to 45–50 °C, and the precipitate was filtered. The resulting solid was washed with hot water (70–80 °C, 3 × 500 mL). The solid was then dried under vacuum at 80 °C for 24 h to give the title compound 1 in a yield of 79%. 1H NMR and 13C NMR data are consistent with the same data reported in the literature [14].

3.1.2. Synthesis of 5,5′,6,6′-Tetramethoxy-[1,1′-biphenyl]-3,3′-dicarbaldehyde 2

In a three-neck flask equipped with a condenser and a thermometer, were added compound 1 (25 g, 82.7 mmol, 1 Eq.), potassium carbonate (48.0 g, 347 mmol, 4.2 Eq.), and DMF (383 mL). Then, iodomethane (70.4 g, 496 mmol, 6 Eq.) was added. The mixture was heated to 100 °C for 24 h. The mixture was cooled down to room temperature. The precipitate was filtered and washed with acetone (100 mL) to remove insoluble salts. The filtrate was poured into 3 L of cold water (0–5 °C), and the resulting precipitate was filtered and washed with cold water (1 L). The solid was then dried under vacuum at 80 °C for 24 h to give the title compound 2 in a yield of 85%. 1H NMR and 13C NMR data are consistent with the same data reported in the literature [15].

3.1.3. Synthesis of 2,2′-((5,5′,6,6′-Tetramethoxy-[1,1′-biphenyl]-3,3′-diyl)bis(methanylylidene))dimalononitrile 3

Into a three-neck flask equipped with a condenser and a thermometer, we added compound 2 (0.5 g, 1.51 mmol, 1 Eq.), malononitrile (0.53 g, 8.00 mmol 5.3 Eq), and sodium acetate (0.369 g, 4.53 mmol, 3 Eq.) in ethanol (20 mL). The resulting mixture was stirred at 60 °C for 2 h. The mixture was cooled to room temperature, poured into water (100 mL), and acidified at pH 1–2 with concentrated HCl. The precipitate was filtered, redispersed in a 1:1 EtOH/acetone solution (50 mL), and heated at reflux while applying vigorous stirring for 15 min. Then, the dispersion was cooled to room temperature. The solid was filtered and dried to give the targeted compound in 59% yield (382 mg). Yellow solid (m.p. 250 °C) 1H NMR (300 MHz, DMSO-d6) δ 8.46 (s, 2H, CN2-C=C-H), 7.78 (m, 2H, Ar), 7.43 (m, 2H, Ar), 3.90 (s, 6H, O-CH3), 3.72 (s, 6H, O-CH3); 13C NMR (75 MHz, DMSO-d6) δ,160.38 (CH=C-CN2), 152.33 (Ar), 151.32(Ar), 131.27(Ar), 126.63(Ar), 126.51(Ar), 114.42(Ar), 113.93 (CH=C-CN2), 113.57 (CH=C-CN2), 79.86 (CH=C-CN2), 60.76 (O-CH3), 55.97 (O-CH3). HRMS Electrospray ionization (ESI) m/z calculated for [M + Na]+ C24H18N4O4Na+ = 449.1226, found: 449.1228; IR (ATR) νmax., cm−1: 2947 (C-H), 2227 (C≡N), 1278 (C-O-C).

Supplementary Materials

Figure S1. 1H NMR spectra of compound 3; Figure S2. 13C NMR spectra of compound 3; Figure S3. HSQC NMR spectra of compound 3; Figure S4. HMBC NMR spectra of compound 3; Figure S5. COSY NMR spectra of compound 3; Figure S6. HRMS (ESI) spectra of compound 3; Figure S7. FTIR spectra of compound 2; Figure S8. FTIR spectra of compound 3; Figure S9. TGA thermogram of compound 3 under air (20°C/min); Figure S10. DSC thermogram of compound 3 (10°C/min).

Author Contributions

Conceptualization, D.G.; methodology, D.G.; software, D.G.; validation, D.G. and J.L.; formal analysis, D.G. and J.L.; investigation, D.G.; resources, D.G.; data curation, D.G.; writing—original draft preparation, D.G.; writing—review and editing, D.G and J.L.; visualization, D.G.; supervision, D.G.; project administration, D.G.; funding acquisition, D.G. All authors have read and agreed to the published version of the manuscript.

Funding

This research was funded by Fond de recherche du Québec—Nature et Technologie, grant number #293062.

Data Availability Statement

The data presented in this study are available in this article and the supporting Supplementary Information.

Acknowledgments

The authors thank William Dupont for his help with HR-MS analysis.

Conflicts of Interest

D.G. and J.L. were employed by the company Kemitek. The authors declare that the research was conducted in the absence of any commercial or financial relationships that could be construed as a potential conflict of interest. The funders had no role in the design of the study; in the collection, analyses, or interpretation of data; in the writing of the manuscript; or in the decision to publish the results.

References

  1. Gökhan, K.; Seferoğlu, Z.; Berdnikova, D.V. Photochromic derivatives of indigo: Historical overview of development, challenges and applications. Beilstein J. Org. Chem. 2024, 20, 228–242. [Google Scholar]
  2. Kyriakopoulou, K.; Papadaki, S.; Krokida, M. Life cycle analysis of β-carotene extraction techniques. J. Food. Eng. 2015, 167, 51–58. [Google Scholar] [CrossRef]
  3. Zhao, W.; Sasaki, S.; Tamiaki, H.; Sanehira, Y.; Wei, Y.; Chen, G.; Wang, X.-F. Enhancement of performance in chlorophyll-based bulk-heterojunction organic-inorganic solar cells upon aggregate management via solvent engineering. Org. Electron. 2018, 59, 419–426. [Google Scholar] [CrossRef]
  4. Rangel-Yagui, C.O.; Danesi, E.D.G.; Monteiro de Carvalho, J.C.; Sato, S. Chlorophyll production from Spirulina platensis: Cultivation with urea addition by fed-batch process. Bioresour. Technol. 2004, 92, 133–141. [Google Scholar] [CrossRef] [PubMed]
  5. Lee, J.; Kim, J.; Song, J.E.; Song, W.-S.; Kim, E.-J.; Kim, Y.-G.; Jeong, H.-J.; Kim, H.R.; Choi, K.-Y.; Kim, B.-G. Production of Tyrian purple indigoid dye from tryptophan in Escherichia coli. Nat. Chem. Biol. 2021, 17, 104–112. [Google Scholar] [CrossRef] [PubMed]
  6. Schmitz, S.; Rosembaum, M.A. Controlling the production of Pseudomonas phenazines by modulating the genetic repertoire. ACS Chem. Biol. 2020, 15, 3244–3252. [Google Scholar] [CrossRef] [PubMed]
  7. Morin, J.-F. Recent advances in the chemistry of vat dyes for organic electronics. J. Mater. Chem. C 2017, 5, 12298–12307. [Google Scholar] [CrossRef]
  8. Hunger, K.; Schmidt, M.U. Industrial Organic Pigments: Production, Crystal Structures, Properties, Applications, 4th ed.; Wiley-VCH Verlag GmbH & Co KGaA: Weinheim, Germany, 2018; pp. 1–673. [Google Scholar]
  9. Christie, R.; Abel, A. Organic pigments: General principles. Phys. Sci. Rev. 2021, 6, 807–834. [Google Scholar] [CrossRef]
  10. Isikgor, F.H.; Becer, C.R. Lignocellulosic biomass: A sustainable platform for the production of bio-based chemicals and polymers. Polym. Chem. 2015, 6, 4497–4559. [Google Scholar] [CrossRef]
  11. Becker, J.; Wittmann, C. A field of dreams: Lignin valorization into chemicals, materials, fuels, and health-care products. Biotech. Adv. 2019, 37, 107360. [Google Scholar] [CrossRef] [PubMed]
  12. Gendron, D. Vanillin: A promising biosourced building block for the preparation of various heterocycles. Front. Chem. 2022, 10, 949355. [Google Scholar] [CrossRef] [PubMed]
  13. Pandian, B.; Ramalingam, S.; Sreeram, K.J.; Rao, J.R. Natural pigment: Preparation of brown pigment from lignin biomass for coloring application. Dyes Pigm. 2021, 195, 109704. [Google Scholar] [CrossRef]
  14. Fang, Z.; Nikafshar, S.; Hegg, E.L.; Nejad, M. Biobased divanillin as a precursor for formulating biobased epoxy resin. ACS Sust. Chem. Eng. 2020, 8, 9095–9103. [Google Scholar] [CrossRef]
  15. Savonnet, E.; Le Coz, C.; Grau, E.; Grelier, S.; Deffort, B.; Cramail, H. Divanillin-based aromatic amines: Synthesis and use as curing agents for fully vanillin-based epoxy thermosets. Front. Chem. 2019, 7, 606. [Google Scholar] [CrossRef] [PubMed]
  16. Pigot, C.; Péralta, S.; Bui, T.-T.; Nechab, M.; Dumur, F. Push-pull dyes based on Michler’s aldehyde: Design and characterization of the optical and electrochemical properties. Dyes Pigm. 2022, 202, 110278. [Google Scholar] [CrossRef]
Figure 1. Chemical structures of vanillin and divanillin.
Figure 1. Chemical structures of vanillin and divanillin.
Molbank 2025 m1996 g001
Scheme 1. Synthesis of 2,2′-((5,5′,6,6′-tetramethoxy-[1,1′-biphenyl]-3,3′-diyl)bis(methanylylidene))dimalononitrile 3.
Scheme 1. Synthesis of 2,2′-((5,5′,6,6′-tetramethoxy-[1,1′-biphenyl]-3,3′-diyl)bis(methanylylidene))dimalononitrile 3.
Molbank 2025 m1996 sch001
Figure 2. UV-visible spectra of compounds 2 (blue) and 3 (red) in DMF.
Figure 2. UV-visible spectra of compounds 2 (blue) and 3 (red) in DMF.
Molbank 2025 m1996 g002
Disclaimer/Publisher’s Note: The statements, opinions and data contained in all publications are solely those of the individual author(s) and contributor(s) and not of MDPI and/or the editor(s). MDPI and/or the editor(s) disclaim responsibility for any injury to people or property resulting from any ideas, methods, instructions or products referred to in the content.

Share and Cite

MDPI and ACS Style

Gendron, D.; Labrecque, J. 2,2′-((5,5′,6,6′-Tetramethoxy-[1,1′-biphenyl]-3,3′-diyl)bis(methanylylidene))dimalononitrile. Molbank 2025, 2025, M1996. https://doi.org/10.3390/M1996

AMA Style

Gendron D, Labrecque J. 2,2′-((5,5′,6,6′-Tetramethoxy-[1,1′-biphenyl]-3,3′-diyl)bis(methanylylidene))dimalononitrile. Molbank. 2025; 2025(2):M1996. https://doi.org/10.3390/M1996

Chicago/Turabian Style

Gendron, David, and Josée Labrecque. 2025. "2,2′-((5,5′,6,6′-Tetramethoxy-[1,1′-biphenyl]-3,3′-diyl)bis(methanylylidene))dimalononitrile" Molbank 2025, no. 2: M1996. https://doi.org/10.3390/M1996

APA Style

Gendron, D., & Labrecque, J. (2025). 2,2′-((5,5′,6,6′-Tetramethoxy-[1,1′-biphenyl]-3,3′-diyl)bis(methanylylidene))dimalononitrile. Molbank, 2025(2), M1996. https://doi.org/10.3390/M1996

Note that from the first issue of 2016, this journal uses article numbers instead of page numbers. See further details here.

Article Metrics

Back to TopTop