2-Methyl-4-Oxo-4,5-Dihydro-1H-Pyrrole-3-Carboxylic Acid Phenylamide
Abstract
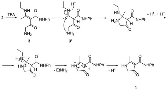
1. Introduction
2. Results
3. Materials and Methods
Supplementary Materials
Author Contributions
Funding
Data Availability Statement
Acknowledgments
Conflicts of Interest
References
- Roth, B.D. The Discovery and Development of Atorvastatin, A Potent Novel Hypolipidemic Agent. Prog. Med. Chem. 2002, 40, 1–22. [Google Scholar] [CrossRef] [PubMed]
- O’Farrell, A.-M.; Abrams, T.J.; Yuen, H.A.; Ngai, T.J.; Louie, S.G.; Yee, K.W.H.; Wong, L.M.; Hong, W.; Lee, L.B.; Town, A.; et al. SU11248 is a novel FLT3 tyrosine kinase inhibitor with potent activity in vitro and in vivo. Blood 2003, 101, 3597–3605. [Google Scholar] [CrossRef] [PubMed]
- Murugesan, D.; Mital, A.; Kaiser, M.; Shackleford, D.M.; Morizzi, J.; Katneni, K.; Campbell, M.; Hudson, A.; Charman, S.A.; Yeates, C.; et al. Discovery and Structure−Activity Relationships of Pyrrolone Antimalarials. J. Med. Chem. 2013, 56, 2975–2990. [Google Scholar] [CrossRef] [PubMed]
- Mith, A.B.; Cantin, L.-D.; Pasternak, A.; Guise-Zawacki, L.; Yao, W.; Charnley, A.K.; Barbosa, J.; Sprengeler, P.A.; Hirschmann, R.; Munshi, S.; et al. Design, Synthesis, and Biological Evaluation of Monopyrrolinone-Based HIV-1 Protease Inhibitors. J. Med. Chem. 2003, 46, 1831–1844. [Google Scholar] [CrossRef]
- Gouault, N.; Le Roch, M.; Cornee, C.; David, M.; Uriac, P. Synthesis of Substituted Pyrrolin-4-ones from Amino Acids in Mild Conditions via a Gold-Catalyzed Approach. J. Org. Chem. 2009, 74, 5614–5617. [Google Scholar] [CrossRef] [PubMed]
- Spina, R.; Colacino, E.; Gabriele, B.; Salerno, G.; Martinez, J.; Lamaty, F. Synthesis of Pyrrolin-4-ones by Pt-Catalyzed Cycloisomerization in PEG under Microwaves. J. Org. Chem. 2013, 78, 2698–2702. [Google Scholar] [CrossRef]
- Miaskiewicz, S.; Weibel, J.-M.; Pale, P.; Blanc, A. Gold(I)-Catalyzed Cyclization/Nucleophilic Substitution of 1-(N-Sulfonylazetidin-2-yl) Ynones into N-Sulfonylpyrrolin-4-ones. Org. Lett. 2016, 18, 844–847. [Google Scholar] [CrossRef]
- Sha, Q.; Wang, J.; Doyle, M.P. Synthesis of 1H-Pyrrol-3(2H)-ones via Three-Component Reactions of 2,3-Diketo Esters, Amines, and Ketones. J. Org. Chem. 2018, 83, 11288–11297. [Google Scholar] [CrossRef] [PubMed]
- Martin, M.C.; Patil, D.V.; France, S. Functionalized 4-Carboxy- and 4-Keto-2,3-dihydropyrroles via Ni(II)-Catalyzed Nucleophilic Amine Ring-Opening Cyclizations of Cyclopropanes. J. Org. Chem. 2014, 79, 3030–3039. [Google Scholar] [CrossRef] [PubMed]
- Xia, Y.; Liu, X.; Zheng, H.; Lin, L.; Feng, X. Asymmetric Synthesis of 2,3-Dihydropyrroles by Ring-Opening/Cyclization of Cyclopropyl Ketones Using Primary Amines. Angew. Chem. Int. Ed. 2015, 54, 227–230. [Google Scholar] [CrossRef] [PubMed]
- Huang, J.; Liang, Y.; Pan, W.; Yang, Y.; Dong, D. Efficient Synthesis of Highly Substituted Pyrrolin-4-ones via PIFA-Mediated Cyclization Reactions of Enaminones. Org. Lett. 2007, 9, 5345–5348. [Google Scholar] [CrossRef] [PubMed]
- Zhang, Z.-J.; Ren, Z.-H.; Wang, Y.-Y.; Guan, Z.-H. Cu(TFA)2-Catalyzed Oxidative Tandem Cyclization/1,2-Alkyl Migration of Enamino Amides for Synthesis of Pyrrolin-4-ones. Org. Lett. 2013, 15, 4822–4825. [Google Scholar] [CrossRef]
- Hirai, S.; Asahara, H.; Nishiwaki, N. Acid promoted dimerization of β-amino-α,β-unsaturated amides affording bis(functionalized) pyrrolinones. Tetrahedron Lett. 2016, 57, 5896–5898. [Google Scholar] [CrossRef]
- Chen, Z.-W.; Zheng, L.; Liu, J. Divergent Synthesis of Multisubstituted Unsymmetric Pyrroles and Pyrrolin-4-ones from Enamino Esters via Copper-Catalyzed Aerobic Dimerization. Eur. J. Org. Chem. 2019, 2019, 3051–3060. [Google Scholar] [CrossRef]
- Zhao, X.; Liu, T.-X.; Ma, N.; Zhang, G. In Situ Generated TEMPO Oxoammonium Salt Mediated Tandem Cyclization of β-Oxoamides with Amine Hydrochlorides for the Synthesis of Pyrrolin-4-ones. J. Org. Chem. 2017, 82, 6125–6132. [Google Scholar] [CrossRef] [PubMed]
- Wang, Z.; Bi, X.; Liao, P.; Liu, X.; Dong, D. Cu(II)-catalyzed cyclization of α-diazo-β-oxoamides with amines leading to pyrrol-3(2H)-ones. Chem. Commun. 2013, 49, 1309–1311. [Google Scholar] [CrossRef] [PubMed]
- Yu, X.-X.; Zhao, P.; Zhou, Y.; Huang, C.; Wang, L.-S.; Wu, Y.-D.; Wu, A.-X. Iodine-Promoted Formal [3+2] Cycloaddition of Enaminone: Access to 2-Hydroxy-1,2-dihydro-pyrrol-3-ones with Quaternary Carbon Center. J. Org. Chem. 2021, 86, 12141–12147. [Google Scholar] [CrossRef] [PubMed]
- Angelov, P.; Ivanova, S.; Yanev, P. Enamines of 3-acyltetramic acids from β-enamino amides and amino acids. Tetrahedron Lett. 2017, 58, 4776–4778. [Google Scholar] [CrossRef]
- Yanev, P.; Angelov, P. Synthesis of functionalised β-keto amides by aminoacylation/domino fragmentation of β-enamino amides. Beilstein J. Org. Chem. 2018, 14, 2602–2606. [Google Scholar] [CrossRef] [PubMed]
- Angelov, P.; Terziyska, P.; Georgiev, D. 3-(1-Ethylamino-ethylidene)-1-methyl-pyrrolidine-2,4-dione. Molbank 2023, 2023, M1556. [Google Scholar] [CrossRef]



Disclaimer/Publisher’s Note: The statements, opinions and data contained in all publications are solely those of the individual author(s) and contributor(s) and not of MDPI and/or the editor(s). MDPI and/or the editor(s) disclaim responsibility for any injury to people or property resulting from any ideas, methods, instructions or products referred to in the content. |
© 2024 by the authors. Licensee MDPI, Basel, Switzerland. This article is an open access article distributed under the terms and conditions of the Creative Commons Attribution (CC BY) license (https://creativecommons.org/licenses/by/4.0/).
Share and Cite
Angelov, P.; Yanev, P. 2-Methyl-4-Oxo-4,5-Dihydro-1H-Pyrrole-3-Carboxylic Acid Phenylamide. Molbank 2024, 2024, M1778. https://doi.org/10.3390/M1778
Angelov P, Yanev P. 2-Methyl-4-Oxo-4,5-Dihydro-1H-Pyrrole-3-Carboxylic Acid Phenylamide. Molbank. 2024; 2024(1):M1778. https://doi.org/10.3390/M1778
Chicago/Turabian StyleAngelov, Plamen, and Pavel Yanev. 2024. "2-Methyl-4-Oxo-4,5-Dihydro-1H-Pyrrole-3-Carboxylic Acid Phenylamide" Molbank 2024, no. 1: M1778. https://doi.org/10.3390/M1778
APA StyleAngelov, P., & Yanev, P. (2024). 2-Methyl-4-Oxo-4,5-Dihydro-1H-Pyrrole-3-Carboxylic Acid Phenylamide. Molbank, 2024(1), M1778. https://doi.org/10.3390/M1778

