Abstract
The new 4-amino-2-(p-tolyl)-7H-chromeno[5,6-d]oxazol-7-one was successfully prepared through the Au/TiO2-catalyzed NaBH4 activation and chemoselective reduction of the new 4-nitro-2-(p-tolyl)-7H-chromeno[5,6-d]oxazol-7-one. The latter was synthesized by the one-pot tandem reactions of 6-hydroxy-5,7-dinitrocoumarin with p-tolylmethanol under Au/TiO2 catalysis. The dinitrocoumarin was obtained by the nitration of 6-hydroxycoumarin with cerium ammonium nitrate (CAN). The structure of the synthesized compounds was confirmed by FT-IR, HR-MS, 1H-NMR and 13C-NMR analysis. Preliminary biological tests show low anti-lipid peroxidation activity for the title compound.
1. Introduction
Coumarin derivatives are widely distributed in nature, presenting interesting biological properties such as anticoagulant, anti-inflammatory, antivirus, anticancer, antioxidant or antidiabetic [1,2,3,4,5,6,7]. Fused coumarins also exhibit biological activity. Especially, fused oxazolocoumarins have been tested for their antioxidant [8], antimicrobial [9], anti-inflammatory [10], photosensitizing [11] or photoreleasing of aminolevulinic acid [12] activities. There are several methodologies for the synthesis of fused oxazolocoumarins. The condensation of o-aminohydroxycoumarins with aldehydes [9,13,14,15], acids [14], anhydrides [13,15]; or of o-amidohydroxycoumarins with anhydrides [16], POCl3 [17] or P2O5 [18] led to those products. Furthermore, substituted fused oxazolocoumarins were synthesized by the reduction of 4-hydroxy-3-nitrosocoumarin in acetic anhydride in the presence of Pd/C [19], or of 6-hydroxy-4-methyl-5-nitrocoumarin acetate in acetic acid with iron powder [20], or of 3-hydroxy-3-nitrocoumarins in liquid carboxylic acids in the presence of Pd/C or PPh3 and P2O5 [8]. Recently, we prepared oxazolocoumarins by one-pot tandem reactions of o-hydroxynitrocoumarins with benzyl alcohol in toluene under catalytical conditions using gold nanoparticles supported on TiO2, by FeCl3 or by silver nanoparticles supported on TiO2 [21].
Aminocoumarins are valuable building blocks for the synthesis of fused pyridocoumarins presenting significant biological activities such as antibacterial [22], antifungal [23], antimalarial [24], antioxidant [25] and wound-healing [26]. Pyridocoumarins are prepared from aminocoumarins through the one-pot Povarov reactions with aromatic aldehydes and cyclic enol ethers [27], the reactions with vinyl ketones [28], or under Vilsmeier conditions [29] or with phenylacetylene and benzaldehydes under catalysis by I2 [30] or by other Lewis acids [25,31]. The cycloisomerization of propargylaminocoumarins, prepared from aminocoumarins, followed by oxidation, led also to pyridocoumarins under catalysis by AgSbF6 [32] or BF3.Et2O [33] or Au/nanoparticles [34].
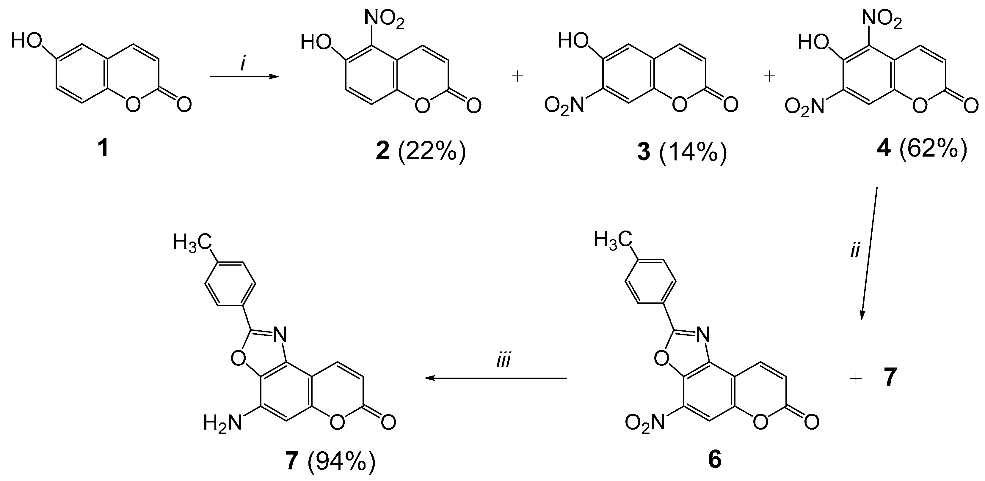
The need for the synthesis of new compounds, to probe novel biological activity containing a heterocyclic ring fused to the pyridocoumarin moiety, led us to the synthesis of amino-substituted fused oxazolocoumarins. In continuation of our interest on fused oxazolocoumarin [8,22] and pyridocoumarin [25,33,34] derivatives, we would like to report here the synthesis of novel amine 7, through a selective reduction procedure, and the biological evaluation of the products. The reactions studied and the synthesized products are depicted in Scheme 1.
Scheme 1.
Reagents and Conditions: (i) CAN (1 equiv.), CH3CN, r.t. 30 min; (ii) p-tolylmethanol (5) (3 equiv.), Au/TiO2 (4 mol%), toluene, sealed tube, 150 °C, 54 h; (iii) Au/TiO2 (1 mol%), NaBH4 (4 equiv.), MeOH, r.t. 1 h.
2. Results and Discussion
2.1. Synthesis
The starting material for this procedure was the 6-hydroxy-5,7-dinitrocoumarin (4), which was synthesized in 62% yield along with 6-hydroxy-5-nitrocoumarin (2) (22% yield) and 6-hydroxy-7-nitrocoumarin (3) (14% yield) by nitration of 6-hydroxycoumarin (1) with cerium ammonium nitrate (CAN) in CH3CN at r.t., according to the literature [35]. In this paper, the authors obtained 3 in 50% yield using 1 equiv. of CAN, while by using 2 equiv. of CAN they isolated compound 3 in 74% yield along with compound 2 (12%). No evidence for the presence of the dinitro-derivative 4 was noticed. When we performed the above reaction with 0.5 equiv. of CAN, only compound 2 [36] (10 %) was isolated along with 85% of the starting compound 1. The spectral data of compound 4 resemble well with that given in the literature [37], where the preparation was achieved by using nitric/acetic acids.
The reaction of 4 with p-tolylmethanol (5) in a sealed tube in toluene in the presence of Au/TiO2 (4 mol%) at 150 °C led to 4-nitro-2-(p-tolyl)-7H-chromeno[5,6-d]oxazol-7-one (6) (45% yield) accompanied by 4-amino-2-(p-tolyl)-7H-chromeno[5,6-d]oxazol-7-one (7) (13%). This reaction was performed in analogy to our recent work on the synthesis of fused oxazolocoumarins by the treatment of o-hydroxynitrocoumarins with benzyl alcohol catalyzed by Au/TiO2 or Ag/TiO2 or FeCl3 [21]. During this process, a simultaneous reduction of nitro- to amine-group and oxidation of benzyl alcohol to benzaldehyde occurred, followed by imine formation from the amine and benzaldehyde, cyclization by addition of hydroxy-group to imine and oxidation of the intermediate oxazoline to oxazole. The selective reduction of the 5-nitro group of coumarin in comparison to the 7-nitro group by the intermediate gold-hydride [21] could be attributed to a possible complexation of gold to the 3,4-double bond of coumarin. In the 1H-NMR spectrum of 6, there are two doublets at 6.42 (1 H, J = 9.6 Hz) and 8.28 (1 H, J = 9.6 Hz) for the 3-H and 4-H, respectively, and one singlet at 8.30 (1 H) for the 8-H. The chemical shift of 4-H (8.28 ppm) is downfield in comparison to 4-H (7.69 ppm) of compound 4 due possibly to de-shielding from the oxazole-ring. The p-tolyl-group gave rise to the two doublets at 7.35 (1 H, J = 7.9 Hz) and 8.15 (1 H, J = 7.9 Hz) and one singlet at 2.43 (3 H). The HR-MS is m/z [M + H]+ calcd for C17H11N2O5: 323.2789, found: 323.2791.
The reduction of nitro-derivative 6 with NaBH4 as hydride ion donor, in the presence of the catalyst Au/TiO2, according to a recent publication for the use of Au-NPs in the reduction of nitroarenes to anilines [38], resulted to the chemoselective preparation of 4-amino-2-(p-tolyl)-7H-chromeno[5,6-d]oxazol-7-one (7) in 94% yield. This is a new compound with absorptions in FT-IR at 3446, 3356 cm−1 for the NH2 group. There are two doublets at 6.29 (1 H, J = 9.6 Hz) and 8.26 (1 H, J = 9.6 Hz) for the 3-H and 4-H, respectively, in the 1H-NMR spectrum of 7, a broad singlet at 4.50 ppm for the NH2 protons and one singlet at 6.61 (1 H) for the 8-H, see Supplementary Materials. This upfield shift is consistent with the structure of 7 with the oxazole-ring fused at the 5,6-position and the NH2 group at the 7-position of the coumarin moiety. If the oxazole ring is at the 6,7-position and the amine group at the 5-position of the coumarin (in a structure isomeric to 7), the 8-H would be expected to be above 7.0 ppm. In the case of 2-phenyl-6H-chromeno[6,7-d][1,3]oxazol-6-one the 8-H is at 7.54 ppm [21]. The p-tolyl group gives rise to two doublets at 7.36 (1 H, J = 7.9 Hz) and 8.15 (1 H, J = 7.9 Hz) and one singlet at 2.46 (3 H). In the 13C-NMR, there is the upfield peak for the 8-C of the coumarin moiety at 98.1 ppm in comparison to the carbons of nitro-compound 6, see Supplementary Materials. This peak is consistent with the analogous peak (98.9 ppm) for 7-aminocoumarin [39]. The HR-MS is m/z [M + Na]+ calcd for C17H12NaN2O3: 315.2778, found: 315.2784.
2.2. Biology
Preliminary biological experiments were performed in vitro. Compounds 6 and 7 were tested as possible antioxidant agents and inhibitors of soybean lipoxygenase according to our previous published assays [10,25]. They did not present any interaction with DPPH at 100 µM after 20 and 60 min under the reported experimental conditions. The anti-lipid peroxidation activity was very low at 100 µM (less than 1% for compound 6 and 23% for compound 7), as tested by the 2,2′-azobis(2-amidinopropane) dihydrochloride (AAPH) protocol. No inhibition of soybean lipoxygenase was observed.
3. Materials and Methods
3.1. Materials
All the chemicals were procured from either Sigma–Aldrich Co. or Merck & Co., Inc. (St. Louis, MO, USA) Melting points were determined with a Kofler hotstage apparatus and are uncorrected. IR spectra were obtained with a Perkin–Elmer Spectrum BX spectrophotometer as KBr pellets. NMR spectra were recorded with an Agilent 500/54 (DD2) (Santa Clara, CA, USA) (500 MHz and 125 MHz for 1H and 13C, respectively) using CDCl3 as solvent and TMS as an internal standard. J values are reported in Hz. Mass spectra were determined with a LCMS-2010 EV Instrument (Shimadzu, Kyoto, Japan) under electrospray ionization (ESI) conditions. HRMS (ESI-MS) were recorded with a ThermoFisher Scientific model LTQ Orbitrap Discovery MS. Silica gel No. 60, Merck A.G. was used for column chromatography.
3.2. Synthesis of 6-Hydroxy-5,7-dinitrocoumarin (4)
Cerium ammonium nitrate (CAN) (1.69 g, 3.08 mmol) in acetonitrile (10 mL) was added in three portions over a period of 15 min to a solution of 6-hydroxycoumarin (1) (0.5 g, 3.08 mmol) in acetonitrile (10 mL) under stirring. The reaction mixture was then stirred for 30 min (TLC-monitored) and then quenched by pouring over ice (~50 g). It was then repeatedly extracted with ethyl acetate (3 × 10 mL). The combined extracts washed successively with sodium bisulfite solution, brine and water, and dried (Na2SO4). After evaporation, the residue was subjected to column chromatography [silica gel, hexane: ethyl acetate (1:1)] to give 2 and 3 as a mixture followed by the 6-hydroxy-5,7-dinitrocoumarin (4) (0.48 g, 62 % yield). The mixture of 2 and 3 were subjected to a second column chromatography [silica gel, dichloromethane] to give 6-hydroxy-5-nitrocoumarin (2) (0.14 g, 22 % yield) and 6-hydroxy-7-nitrocoumarin (3) (89 mg, 14% yield).
6-Hydroxy-5,7-Dinitrocoumarin (4): Red solid, m.p. 153–155 °C (dec) (EtOH), (lit. [37]: 155–157 °C).
6-Hydroxy-5-nitrocoumarin (2): Yellow solid, m.p. 159–161 °C (EtOH), (lit. [36]: 158–160 °C).
6-Hydroxy-7-nitrocoumarin (3): Yellow solid, m.p. 231–233 °C (EtOH), (lit. [36]: 232 °C).
3.3. Synthesis of 4-Nitro-2-(p-tolyl)-7H-chromeno[5,6-d]oxazol-7-one (6)
The 6-hydroxy-5,7-dinitrocoumarin (4) (100 mg, 0.40 mmol), p-tolylmethanol (5) (145.4 mg, 1.19 mmol), 1 % Au/TiO2 [156.2 mg (1.56 mg Au, 0.00793 mmol, 2 mol%)] and toluene (4 mL) were added in a sealed tube. The resulted mixture was stirred at 150 °C for 54 h. After cooling, the catalyst was removed by filtration and the solvent was concentrated under reduced pressure. The residue was subjected to column chromatography [silica gel, hexane: ethyl acetate (2:1)] to give compound 6 (57 mg, 45 % yield) followed by the 4-amino-2-(p-tolyl)-7H-chromeno[5,6-d]oxazol-7-one (7) (15.2 mg, 13 % yield) and unreacted compound 4 (40 mg, 40 %).
4-Nitro-2-(p-tolyl)-7H-chromeno[5,6-d]oxazol-7-one (6): Light yellow solid, m.p. 90–92 °C (MeOH). IR (KBr): 3052, 2924, 2853, 1716 cm−1. 1H-NMR (500 MHz, CDCl3) δ: 2.43 (s, 3H, CH3), 6.42 (d, 1H, J = 9.6 Hz), 7.35 (d, 2H, J = 7.9 Hz), 8.15 (d, 2H, J = 7.9 Hz), 8.28 (d, 1H, J = 9.6 Hz), 8.30 (s, 1H). 13C-NMR (125 MHz, CDCl3) δ: 30.9, 111.1, 116.5, 117.5, 127.4, 127.67, 127.7, 129.9, 132.2, 136.8, 145.8, 146.0, 155.5, 160.6, 164.0. LC-MS (ESI): 320 [M − H]−. HR-MS (ESI), (M.W.: 322): m/z [M + H]+ calcd for C17H11N2O5: 323.2789, found: 323.2791.
3.4. Synthesis of 4-Amino-2-(p-tolyl)-7H-chromeno[5,6-d]oxazol-7-one (7)
The catalyst, 1% Au/TiO2 [12.2 mg (0.12 mg Au, 0.0006 mmol, 1 mol%)], was placed in a 5 mL flask, followed by the addition of methanol (2 mL), nitro compound 6 (20 mg, 0.062 mmol) and NaBH4 (gradual addition because of hydrogen release (9.4 mg, 0.25 mmol)). The reaction mixture was then stirred at room temperature for 1 h. After the completion of the reaction (TLC-monitored), the slurry was filtered under reduced pressure to remove the catalyst and washed with methanol (~5 mL). The filtrate was evaporated under vacuum to afford the corresponding 4-amino-2-(p-tolyl)-7H-chromeno[5,6-d]oxazol-7-one, (7) (17 mg, 94 % yield): Light yellow solid, m.p. 177–179 °C (hexane/ethyl acetate). IR (KBr): 3446, 3356, 2924, 2852, 1725, 1634 cm−1. 1H-NMR (500 MHz, CDCl3) δ: 2.46 (s, 3H, CH3), 4.50 (brs, 2H), 6.29 (d, 1H, J = 9.6 Hz), 6.61 (s, 1H), 7.36 (d, 2H, J = 7.9 Hz), 8.15 (d, 2H, J = 7.9 Hz), 8.26 (d, 1H, J = 9.6 Hz). 13C-NMR (125 MHz, CDCl3) δ: 31.0, 98.1, 111.4, 116.5, 117.4, 127.3, 127.7, 129.8, 129.9, 139.2 146.1, 146.7, 148.9, 156.1, 160.0, 164.7. LC-MS (ESI): 315 [M + Na]+, 347 [M + Na + MeOH]+. HR-MS (ESI), (M.W.: 292): m/z [M + Na]+ calcd for C17H12NaN2O3: 315.2778, found: 315.2784.
3.5. Biological Experiments: In Vitro Assays
The compounds were dissolved in DMSO.
- Antilipid peroxidation: the AAPH protocol was followed [25].
- Lipoxygenase inhibition: according to our previous protocol [25].
- Antioxidant activity: interaction with the stable free radical DPPH (final concentration 0.05 mM) in ethanol absolute (final concentration of the tested compounds 0.1 mM) [25].
4. Conclusions
We demonstrated an efficient and chemoselective method for the synthesis of amino-substituted fused oxazolocoumarins using Au-NPs catalysis in the presence of NaBH4 for the reduction of the corresponding nitro-substituted fused oxazolocoumarins. The preliminary biological assays pointed that compound 7 presents low anti-lipid peroxidation activity.
Supplementary Materials
The following are available online, NMR and LC-MS (ESI) spectra of compound 7.
Author Contributions
Conceptualization, writing—original draft preparation, supervision, K.E.L.; performed the biological tests, review and editing the manuscript, D.J.H.-L.; performed the experiments, E.-E.N.V.; performed experiments, editing, in part, the manuscript, T.D.B. All authors have read and agreed to the published version of the manuscript.
Funding
This research was funded by “Human Resources Development, Education and Lifelong Learning”, EDBM103, “Synthesis of Fused Pyranoquinolinone Derivatives with possible Biological Interest” (MIS: 5066801) and “Support for researchers with emphasis on young researchers-cycle B”, (NSRF 2014-2020), (KA1020216).
Data Availability Statement
The data presented in this study are available in this article.
Acknowledgments
“Human Resources Development, Education and Lifelong Learning”, EDBM103, “Synthesis of Fused Pyranoquinolinone Derivatives with possible Biological Interest” (MIS: 5066801) and “Support for researchers with emphasis on young researchers-cycle B”, (NSRF 2014-2020), (KA1020216).
Conflicts of Interest
The authors declare no conflict of interest.
References
- Yu, D.; Suzuki, M.; Xie, L.; Morris-Natschke, S.L.; Lee, K.-H. Recent progress in the development of coumarin derivatives as potent anti-HIV agents. Med. Res. Rev. 2003, 23, 322–345. [Google Scholar] [CrossRef] [PubMed]
- Fylaktakidou, K.; Hadjipavlou-Litina, D.; Litinas, K.; Nicolaides, D. Natural and Synthetic Coumarin Derivatives with Anti-Inflammatory/Antioxidant Activities. Curr. Pharm. Des. 2004, 10, 3813–3833. [Google Scholar] [CrossRef] [PubMed]
- Lacy, A. Studies on Coumarins and Coumarin-Related Compounds to Determine their Therapeutic Role in the Treatment of Cancer. Curr. Pharm. Des. 2004, 10, 3797–3811. [Google Scholar] [CrossRef]
- Medina, F.G.; Marrero, J.G.; Macías-Alonso, M.; González, M.C.; Córdova-Guerrero, I.; García, A.G.T.; Osegueda-Robles, S. Coumarin heterocyclic derivatives: Chemical synthesis and biological activity. Nat. Prod. Rep. 2015, 32, 1472–1507. [Google Scholar] [CrossRef] [PubMed]
- Kubrak, T.; Podgórski, R.; Stompor, M. Natural and Synthetic Coumarins and their Pharmacological Activity. Eur. J. Clin. Exp. Med. 2017, 15, 169–175. [Google Scholar] [CrossRef]
- Li, H.; Yao, Y.; Li, L. Coumarins as potential antidiabetic agents. J. Pharm. Pharmacol. 2017, 69, 1253–1264. [Google Scholar] [CrossRef]
- Salehian, F.; Nadri, H.; Jalili-Baleh, L.; Youseftabar-Miri, L.; Bukhari, S.N.A.; Foroumadi, A.; Küçükkilinç, T.T.; Sharifzadeh, M.; Khoobi, M. A review: Biologically active 3,4-heterocycle-fused coumarins. Eur. J. Med. Chem. 2021, 212, 113034. [Google Scholar] [CrossRef]
- Balalas, T.D.; Stratidis, G.; Papatheodorou, D.; Vlachou, E.-E.; Gabriel, C.; Hadjipavlou-Litina, D.J.; Litinas, K.E. One-pot Synthesis of 2-Substituted 4H-Chromeno[3,4-d]oxazol-4-ones from 4-Hydroxy-3-nitrocoumarin and Acids in the Presence of Triphenylphosphine and Phosphorus Pentoxide under Microwave Irradiation. SynOpen 2018, 2, 105–113. [Google Scholar] [CrossRef]
- Prasanna, B.; Sandeep, A.; Revathi, T. Green approach to synthesis of novel substituted 8H-pyrano[2,3-e]benzoxazole-8-ones. World J. Pharm. Pharm. Sci. 2014, 3, 404–411. [Google Scholar]
- Kontogiorgis, C.; Hadjipavlou-Litina, D. Biological Evaluation of Several Coumarin Derivatives Designed as Possible Anti-inflammatory/Antioxidant Agents. J. Enzym. Inhib. Med. Chem. 2003, 18, 63–69. [Google Scholar] [CrossRef]
- Pathak, M.; Fellman, J.; Kaufman, K. The Effect of Structural Alterations on the Erythemal Activity of Furocoumarins: Psoralens ** From the Departments of Dermatology and Biochemistry, University of Oregon Medical School, Portland, Oregon and the Department of Chemistry, Kalamazoo College, Kalamazoo, Michigan. J. Investig. Dermatol. 1960, 35, 165–183. [Google Scholar] [CrossRef]
- Soares, A.M.S.; Hungerford, G.; Gonçalves, M.S.T.; Costa, S.P.G. Light triggering of 5-aminolevulinic acid from fused coumarin ester cages. New J. Chem. 2017, 41, 2997–3005. [Google Scholar] [CrossRef]
- Sahoo, S.S.; Shukla, S.; Nandy, S.; Sahoo, H. Synthesis of novel coumarin derivatives and its biological evaluations. Eur. J. Exp. Biol. 2012, 2, 899–908. [Google Scholar]
- Colotta, V.; Catarzi, D.; Varano, F.; Cecchi, L.; Filacchioni, G.; Martini, C.; Giusti, L.; Lucacchini, A. Tricyclic heteroaromatic systems. Synthesis and benzodiazepine receptor affinity of 2-substituted-1-benzopyrano[3,4-d]oxazol-4-ones,-thiazol-4-ones, and -imidazol-4-ones. Il Farm. 1998, 53, 375–381. [Google Scholar] [CrossRef]
- Nofal, Z.M.; El-Zahar, M.I.; El-Karim, S.S.A. Novel Coumarin Derivatives with Expected Biological Activity. Molecules 2000, 5, 99–113. [Google Scholar] [CrossRef]
- Dallacker, F.; Kratzer, P.; Lipp, M. Derivate des 2.4-Pyronons und 4-Hydroxy-cumarins. Eur. J. Org. Chem. 1961, 643, 97–109. [Google Scholar] [CrossRef]
- Gammon, D.W.; Hunter, R.; Wilson, S.A. An efficient synthesis of 7-hydroxy-2,6-dimethylchromeno[3,4-d]oxazol-4-one—A protected fragment of novenamine. Tetrahedron 2005, 61, 10683–10688. [Google Scholar] [CrossRef]
- Saikachi, H.; Ichikawa, M. Studies on Synthesis of Coumarin Derivatives. XV. On the Preparation of Ethyl Pyranobenzoxazole-carboxylates. Chem. Pharm. Bull. 1966, 14, 1162–1167. [Google Scholar] [CrossRef] [PubMed]
- Chantegrel, B.; Nadi, A.I.; Gelin, S. Synthesis of [1]benzopyrano[3,4-d]isoxazol-4-ones from 2-substituted chromone-3-carboxylic esters. A reinvestigation of the reaction of 3-acyl-4-hydroxycoumarins with hydroxylamine. Synthesis of 4-(2-hydroxybenzoyl)isoxazol-5-ones. J. Org. Chem. 1984, 49, 4419–4424. [Google Scholar] [CrossRef]
- Kaufman, K.D.; McBride, D.W.; Eaton, D.C. Synthetic Furocoumarins. VII. Oxazolocoumarins from 6-Hydroxy-4-methylcoumarin. J. Org. Chem. 1965, 30, 4344–4346. [Google Scholar] [CrossRef]
- Vlachou, E.-E.N.; Armatas, G.S.; Litinas, K.E. Synthesis of Fused Oxazolocoumarins from o -Hydroxynitrocoumarins and Benzyl Alcohol Under Gold Nanoparticles or FeCl3 Catalysis. J. Heterocycl. Chem. 2017, 54, 2447–2453. [Google Scholar] [CrossRef]
- El-Saghier, A.M.M.; Naili, M.B.; Rammash, B.K.; Saleh, N.A.; Kreddan, K.M. Synthesis and antibacterial activity of some new fused chromenes. Arkivoc 2007, 2007, 83–91. [Google Scholar] [CrossRef]
- Khan, I.A.; Kulkarni, M.V.; Gopal, M.; Shahabuddin, M.; Sun, C.-M. Synthesis and biological evaluation of novel angularly fused polycyclic coumarins. Bioorg. Med. Chem. Lett. 2005, 15, 3584–3587. [Google Scholar] [CrossRef] [PubMed]
- Levrier, C.; Balastrier, M.; Beattie, K.D.; Carroll, A.; Martin, F.; Choomuenwai, V.; Davis, R.A. Pyridocoumarin, aristolactam and aporphine alkaloids from the Australian rainforest plant Goniothalamus australis. Phytochemistry 2013, 86, 121–126. [Google Scholar] [CrossRef] [PubMed]
- Symeonidis, T.S.; Hadjipavlou-Litina, D.J.; Litinas, K.E. Synthesis Through Three-Component Reactions Catalyzed by FeCl3of Fused Pyridocoumarins as Inhibitors of Lipid Peroxidation. J. Heterocycl. Chem. 2013, 51, 642–647. [Google Scholar] [CrossRef]
- Markey, M.D.; Fu, Y.; Kelly, T.R. Synthesis of Santiagonamine. Org. Lett. 2007, 9, 3255–3257. [Google Scholar] [CrossRef] [PubMed]
- Kudale, A.A.; Kendall, J.; Miller, D.O.; Collins, J.L.; Bodwell, G.J. Povarov Reactions Involving 3-Aminocoumarins: Synthesis of 1,2,3,4-Tetrahydropyrido[2,3-c]coumarins and Pyrido[2,3-c]coumarins. J. Org. Chem. 2008, 73, 8437–8447. [Google Scholar] [CrossRef]
- Heber, D.; Berghaus, T. Synthesis of 5H-[1]benzopyrano[4,3-b]pyridin-5-ones containing an azacannabinoidal structure. J. Heterocycl. Chem. 1994, 31, 1353–1359. [Google Scholar] [CrossRef]
- Heber, D.; Ivanov, I.C.; Karagiosov, S.K. The vilsmeier reaction in the synthesis of 3-substituted [1]benzopyrano[4,3-b]pyridin-5-ones. An unusual pyridine ring closure. J. Heterocycl. Chem. 1995, 32, 505–509. [Google Scholar] [CrossRef]
- Khan, A.T.; Das, D.K.; Islam, K.; Das, P. A simple and expedient synthesis of functionalized pyrido[2,3-c] coumarin derivatives using molecular iodine catalyzed three-component reaction. Tetrahedron Lett. 2012, 53, 6418–6422. [Google Scholar] [CrossRef]
- Majumdar, K.; Ponra, S.; Ghosh, D.; Taher, A. Efficient One-Pot Synthesis of Substituted 4,7-Phenanthroline, Pyrano-[3,2-f]quinoline and Pyrano[3,2-g]quinoline Derivatives by Aza-Diels-Alder Reaction. Synlett 2010, 2011, 104–110. [Google Scholar] [CrossRef]
- Han, Y.T.; Ahn, S.; Yoon, J.A. Total Synthesis of the Natural Pyridocoumarins Goniothaline A and B. Synthesis 2018, 51, 552–556. [Google Scholar] [CrossRef]
- Symeonidis, T.S.; Kallitsakis, M.; Litinas, K.E. Synthesis of [5,6]-fused pyridocoumarins through aza-Claisen rearrangement of 6-propargylaminocoumarins. Tetrahedron Lett. 2011, 52, 5452–5455. [Google Scholar] [CrossRef]
- Symeonidis, T.S.; Lykakis, I.N.; Litinas, K.E. Synthesis of quinolines and fused pyridocoumarins from N-propargylanilines or propargylaminocoumarins by catalysis with gold nanoparticles supported on TiO2. Tetrahedron 2013, 69, 4612–4616. [Google Scholar] [CrossRef]
- Ganguly, N.C.; Datta, M.; De, P.; Chakravarty, R. Studies on Regioselectivity of Nitration of Coumarins with Cerium(IV) Ammonium Nitrate: Solid-State Nitration of 6-Hydroxy-Coumarins on Montmorillonite K-10 Clay Support Under Microwave Irradiation. Synth. Commun. 2003, 33, 647–659. [Google Scholar] [CrossRef]
- Lei, L.; Yang, D.; Liu, Z.; Wu, L. Mono-nitration of Coumarins by Nitric Oxide. Synth. Commun. 2004, 34, 985–992. [Google Scholar] [CrossRef]
- De Araújo, R.S.A.; Guerra, F.Q.S.; Lima, E.D.O.; De Simone, C.A.; Tavares, J.F.; Scotti, L.; Scotti, M.T.; De Aquino, T.M.; De Moura, R.O.; Mendonça, F.J.B.; et al. Synthesis, Structure-Activity Relationships (SAR) and in Silico Studies of Coumarin Derivatives with Antifungal Activity. Int. J. Mol. Sci. 2013, 14, 1293–1309. [Google Scholar] [CrossRef]
- Fountoulaki, S.; Daikopoulou, V.; Gkizis, P.L.; Tamiolakis, I.; Armatas, G.S.; Lykakis, I.N. Mechanistic Studies of the Reduction of Nitroarenes by NaBH4 or Hydrosilanes Catalyzed by Supported Gold Nanoparticles. ACS Catal. 2014, 4, 3504–3511. [Google Scholar] [CrossRef]
- Wu, J.; Yu, J.; Wang, Y.; Zhang, P. Direct Amination of Phenols under Metal-Free Conditions. Synlett 2013, 24, 1448–1454. [Google Scholar] [CrossRef]
Publisher’s Note: MDPI stays neutral with regard to jurisdictional claims in published maps and institutional affiliations. |
© 2021 by the authors. Licensee MDPI, Basel, Switzerland. This article is an open access article distributed under the terms and conditions of the Creative Commons Attribution (CC BY) license (https://creativecommons.org/licenses/by/4.0/).
