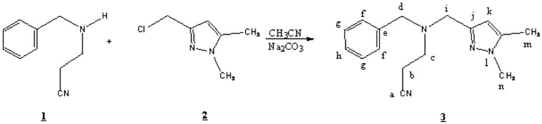
3-[Benzyl-(1,5-dimethyl-1H-pyrazol-3-ylmethyl)-amino]-propionitrile
 
      Supplementary materials
Supplementary File 1Supplementary File 2Supplementary File 3References
- Fustero, S.; Pina, B.; Salavert, E.; Navarro, A.; Ramirez de Arellano, M. C.; Fuentes, A. S. J. Org. Chem. 2002, 67, 4667. [PubMed]
- Arend, M.; Westermann, B.; Risch, N. Angew. Chem., Int. Ed 1998, 37, 1045.
- Fifani, J.; Ramdani, A.; Tarrago, G. Nouv. J. Chem. 1977, 1, 521.
- Xu, L. W.; Li, L.; Xia, C.-G. Helvetica Chimica Acta 2004, 87, 1522.Azizi, N.; Saidi, M.R. Tetrahedron 2004, 60, 383.
© 2006 MDPI. All rights reserved.
Share and Cite
Herrag, L.; Touzani, R.; Ramdani, A.; Hammouti, B. 3-[Benzyl-(1,5-dimethyl-1H-pyrazol-3-ylmethyl)-amino]-propionitrile. Molbank 2006, 2006, M496. https://doi.org/10.3390/M496
Herrag L, Touzani R, Ramdani A, Hammouti B. 3-[Benzyl-(1,5-dimethyl-1H-pyrazol-3-ylmethyl)-amino]-propionitrile. Molbank. 2006; 2006(5):M496. https://doi.org/10.3390/M496
Chicago/Turabian StyleHerrag, Leila, Rachid Touzani, Abdelkrim Ramdani, and Belkheir Hammouti. 2006. "3-[Benzyl-(1,5-dimethyl-1H-pyrazol-3-ylmethyl)-amino]-propionitrile" Molbank 2006, no. 5: M496. https://doi.org/10.3390/M496
APA StyleHerrag, L., Touzani, R., Ramdani, A., & Hammouti, B. (2006). 3-[Benzyl-(1,5-dimethyl-1H-pyrazol-3-ylmethyl)-amino]-propionitrile. Molbank, 2006(5), M496. https://doi.org/10.3390/M496
 
        
 Display in JSmol Viewer
 Display in JSmol Viewer