
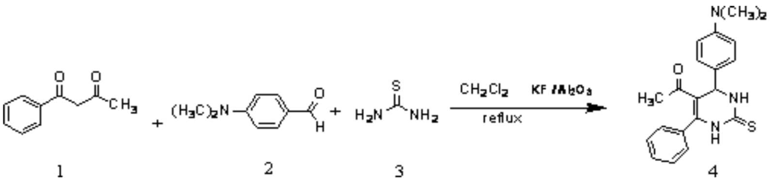
4-(4-(dimethylamino)phenyl)-5-acetyl-6-phenyl-3,4-dihydropyrimidin-2(1H)-thione was prepared from benzoxyacetone (1) (1.62 g, 10 mmol), N,N-dimethylaniline (2) (1.21 g, 10 mmol) and thiourea (3) (1.140 g, 15 mmol) in dichloromethane (15 mL) as solvent using KF/Al2O3 (5 g) as a catalysis. The reaction mixture was heated under reflux conditions and stirred by using magnetic stirring until the one-pot addition was completed. The crude was filtered to remove residue on KF/Al2O3 and washed with DCM. The crude product was purified by column chromatography (silica gel, ethylacetate/n-hexane, 4:1, V/V as eluant) to give 4-(4-(dimethylamino)phenyl)-5-acetyl-6-phenyl-3,4-dihydropyrimidin-2(1H)-thione as pure yellow (4) (2.98 g, 85% yield).
Melting point: 118-120°C
UV (EtOH; λmax nm): 340
IR (KBr, cm-1): 3200 (N-H); 2951 (C-H Ar); 2853 (C-H); 2253; 1624; 1220
1H-NMR (400 MHz, CDCl3): δ= 3.48 (6H, s, N(CH3)2); 3.00 (1H, s, Benzyl-H); 2.48 (2H, brs, NH); 1.607 (3H, s, CH3CO); 6.8 (2H, d, Ar-H); 7.1-7.3 (5H, m, Ar-H); 7.8 (2H, d, Ar-H).
13C-NMR (100 MHz, CDCl3): δ= 190 (C=O); 184 (C=S); 175 (=C-N); 170 (-C-N); 154, 132, 129, 127, 125, 111, 40, 25
MS (m/z): 351 [M+]; 350; 308; 231.
Elemental Analysis: Calculated for C20H21N3OS: C, 68.41%; H, 6.08%; N, 11.89%; O, 4.58%; S, 9.17%.
Found: C, 68.35%; H, 6.03%; N, 11.95%; O, 4.55%; S, 9.12%.
Supplementary Materials
Supplementary File 1Supplementary File 2Supplementary File 3References
- Kappe, C. O. Tetrahedron 1993, 49, 6937–6963.
- Kappe, C. O. Molecules 1998, 3, 1–9.
- Lin, H.; Ding, J.; Chen, X.; Zhang, Z. Molecules 2000, 5, 1240–1243.
- Salehi, P.; Dabiri, M.; Zolfigol, M. A.; Fard, M. A. B. Tetrahedron Letters 2003, 44, 2889–2891.
- Sample Availability: Available from MDPI.
© 2006 MDPI. All rights reserved.