The Linkage Between Ecotoxins Within Maximum Permissible Concentrations, Oxidative Stress and Antibodies Against Cyclic Citrullinated Peptides in Patients and Persons at Preclinic Stages of Rheumatoid Arthritis
Abstract
1. Introduction
2. Results
2.1. The Link Between Certain Environmental Factors and Serum Markers of Oxidative Stress
2.2. Complex Impact of Ecotoxin Combinations on Oxidative Stress Markers
2.3. Comparison of Serum Markers of Oxidative Stress in Cohorts
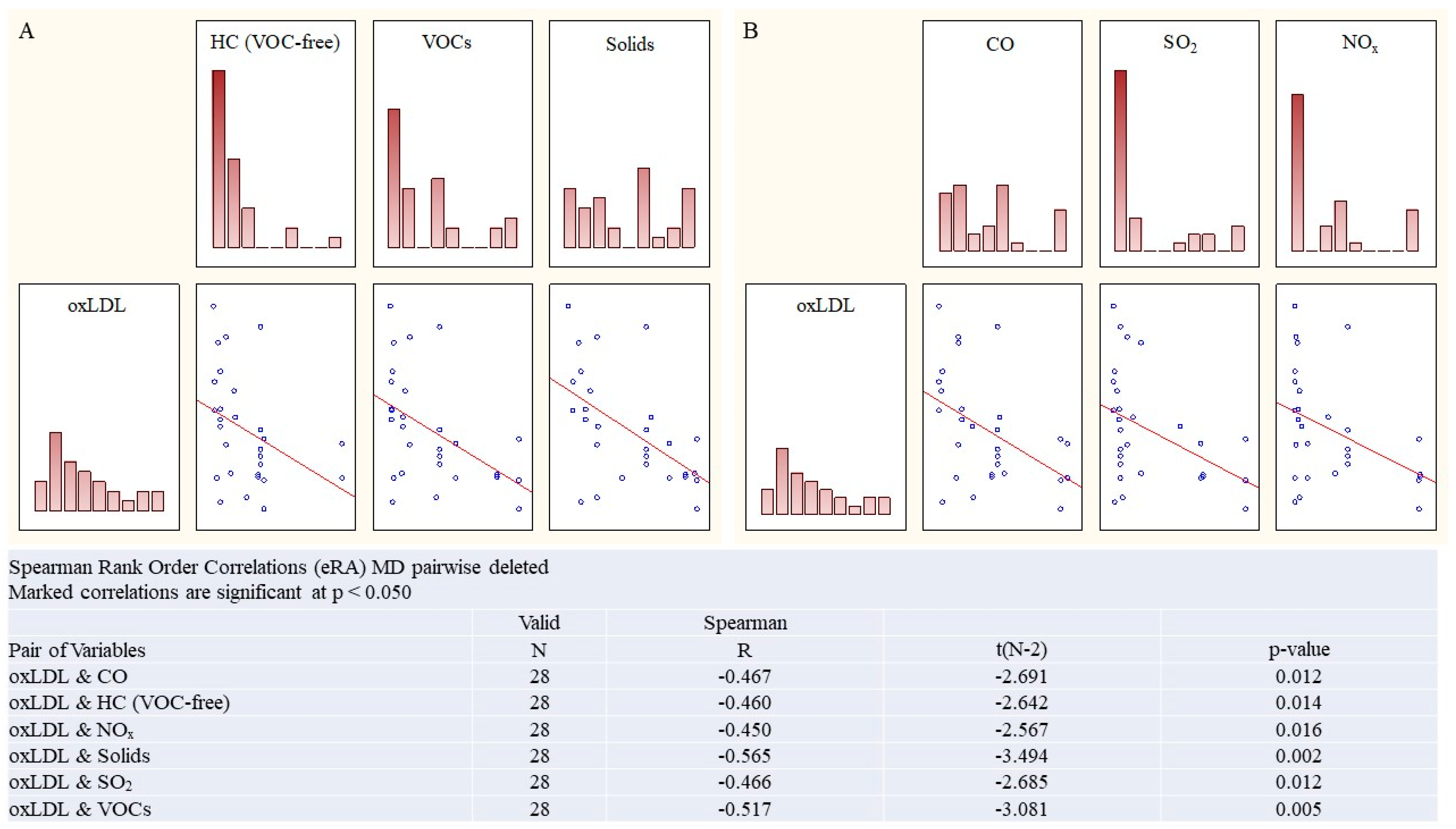
2.4. The Link Between Serum Levels of OS Markers and At-oxLDL in Cohorts
2.5. The Link of Serum Levels of OS Markers and Accp Levels in Cohorts
2.6. The Link of Serum Levels of OS Markers in HLADRB1 Shared Epitope Carriers
2.7. The Link of Serum Levels of OS Markers and Some Physiological and Lifestyle–Related Factors
2.8. The Link of Serum Levels of OS Markers, ACCP Levels and Ecotoxins at the Pre-Clinical RA Stages
- Combined cohort of persons at 2–4 pre-RA stages;
- Combined cohort of persons at 3–4 pre-RA stages;
- Persons at 3 pre-RA stage;
- Persons at 4 pre-RA stage.
3. Discussion
- Disrupted the endothelial barrier, and leaky vessels, in particular the synovial vessel, which does not exclude its entry into the joints with provocation inflammatory reactions [37];
- Up-regulated maturation of immature dendritic cells, with expression of major histocompatibility complex (MHC) class II and co-stimulatory molecule CD86 [38];
- Induced long-term proinflammatory cytokine production by monocytes [39].
4. Materials and Methods
4.1. Cohorts
4.2. Clinical and Laboratory Examination
4.3. Laboratory Tests
4.4. HLA Typing
4.5. Phisiological and Lifestyle-Related Factors
- 1.
- Age. years;
- 2.
- Body mass index;Height and weight measurements were made; body mass index (BMI) was calculated using an online calculator.
- 3.
- Education level;Education was dichotomized into low educational level (secondary and high school graduates) and high educational level (university graduates) [74].
- 4.
- Fish consumption. yes or no;
- 5.
- Coffee consumption. cups/day;
- 6.
- Alcohol consumption. no or rarely or regularly;
- 7.
- Active tobacco smoker for the last year. yes or no;
- 8.
- Passive tobacco smoker for the last year. yes or no;
- 9.
- Number of childbirths (women).
4.6. Ecological Analysis
4.7. Statistical Analysis
- Mann–Whitney U test [77].
- Multiple regression analysis.
- Chi-square.
5. Limitations of This Research
Supplementary Materials
Author Contributions
Funding
Institutional Review Board Statement
Informed Consent Statement
Data Availability Statement
Conflicts of Interest
References
- Arleevskaya, M.; Takha, E.; Petrov, S.; Kazarian, G.; Renaudineau, Y.; Brooks, W.; Larionova, R.; Korovina, M.; Valeeva, A.; Shuralev, E.; et al. Interplay of Environmental, Individual and Genetic Factors in Rheumatoid Arthritis Provocation. Int. J. Mol. Sci. 2022, 23, 8140. [Google Scholar] [CrossRef]
- Sverdrup, B.; Källberg, H.; Bengtsson, C.; Lundberg, I.; Padyukov, L.; Alfredsson, L.; Klareskog, L. Association between occupational exposure to mineral oil and rheumatoid arthritis: Results from the Swedish EIRA case–control study. Arthritis Res. Ther. 2005, 7, R1296. [Google Scholar] [CrossRef] [PubMed]
- Sverdrup, B.M.; Källberg, H.; Klareskog, L.; Alfredsson, L. Epidemiological Investigation of Rheumatoid Arthritis Study Group. Usage of skin care products and risk of rheumatoid arthritis: Results from the Swedish EIRA study. Arthritis Res. Ther. 2012, 14, R41. [Google Scholar] [CrossRef]
- Miller, F.W. Is occupational exposure to mineral oil a risk factor for rheumatoid arthritis? Nat. Clin. Pract. Rheumatol. 2006, 2, 130–131. [Google Scholar] [CrossRef]
- Yu, M.; Wang, Q.; Ma, Y.; Li, L.; Yu, K.; Zhang, Z.; Chen, G.; Li, X.; Xiao, W.; Xu, P.; et al. Aryl Hydrocarbon Receptor Activation Modulates Intestinal Epithelial Barrier Function by Maintaining Tight Junction Integrity. Int. J. Biol. Sci. 2018, 14, 69–77. [Google Scholar] [CrossRef] [PubMed]
- Zhou, E.; Li, Y.; Wei, Z.; Fu, Y.; Lei, H.; Zhang, N.; Yang, Z.; Xie, G. Schisantherin A protects lipopolysaccharide-induced acute respiratory distress syndrome in mice through inhibiting NF-κB and MAPKs signaling pathways. Int. Immunopharmacol. 2014, 22, 133–140. [Google Scholar] [CrossRef] [PubMed]
- Tawfik Amin, A.; Shiraishi, N.; Ninomiya, S.; Tajima, M.; Inomata, M.; Kitano, S. Activation of nuclear factor kappa B and induction of migration inhibitory factor in tumors by surgical stress of laparotomy versus carbon dioxide pneumoperitoneum: An animal experiment. Surg. Endosc. 2010, 24, 578–583. [Google Scholar] [CrossRef]
- Huang, Y.; Davidson, G.; Li, J.; Yan, Y.; Chen, F.; Costa, M.; Chen, L.C.; Huang, C. Activation of nuclear factor-kappaB and not activator protein-1 in cellular response to nickel compounds. Environ. Health Perspect. 2002, 110, 835–839. [Google Scholar] [CrossRef]
- Vivot, K.; Langlois, A.; Bietiger, W.; Dal, S.; Seyfritz, E.; Pinget, M.; Jeandidier, N.; Maillard, E.; Gies, J.-P.; Sigrist, S. Pro-Inflammatory and Pro-Oxidant Status of Pancreatic Islet In Vitro Is Controlled by TLR-4 and HO-1 Pathways. PLoS ONE 2014, 9, e107656. [Google Scholar] [CrossRef]
- Kumar, K.M.K.; Kumar, M.N.; Patil, R.H.; Nagesh, R.; Hegde, S.M.; Kavya, K.; Babu, R.L.; Ramesh, G.T.; Sharma, S.C. Cadmium induces oxidative stress and apoptosis in lung epithelial cells. Toxicol. Mech. Methods 2016, 26, 658–666. [Google Scholar] [CrossRef]
- Fubini, B.; Hubbard, A. Reactive oxygen species (ROS) and reactive nitrogen species (RNS) generation by silica in inflammation and fibrosis. Free Radic. Biol. Med. 2003, 34, 1507–1516. [Google Scholar] [CrossRef]
- Lacour, M.; Schmidtke, K.; Vaith, P.; Scheidt, C. State of the Art: Multiple Chemical Sensitivity. In Allergy Frontiers: Diagnosis and Health Economics; Pawankar, R., Holgate, S.T., Rosenwasser, L.J., Eds.; Springer: Tokyo, Japan, 2009; pp. 423–451. [Google Scholar] [CrossRef]
- Yun, B.R.; El-Sohemy, A.; Cornelis, M.C.; Bae, S.-C. Glutathione S-transferase M1, T1, and P1 genotypes and rheumatoid arthritis. J. Rheumatol. 2005, 32, 992–997. [Google Scholar]
- Pawlik, A.; Wrzesniewska, J.; Fiedorowicz-Fabrycy, I.; Gawronska-Szklarz, B. The MDR1 3435 polymorphism in patients with rheumatoid arthritis. Int. J. Clin. Pharmacol. Ther. 2004, 42, 496–503. [Google Scholar] [CrossRef]
- Yadav, K.; Sharma, A.K.; Jena, M.K.; Parashar, N.C.; Singh, T.; Choudhary, R.; Ramniwas, S.; Tuli, H.S.; Yadav, V. Xenobiotic Exposure and Autoimmune Diseases: An Update on Epidemiological Evidences and Potential Mechanisms. J. Biochem. Mol. Toxicol. 2025, 39, e70615. [Google Scholar] [CrossRef] [PubMed]
- Bashir, S.; Harris, G.; Denman, M.A.; Blake, D.R.; Winyard, P.G. Oxidative DNA damage and cellular sensitivity to oxidative stress in human autoimmune diseases. Ann. Rheum. Dis. 1993, 52, 659–666. [Google Scholar] [CrossRef] [PubMed]
- Zouridakis, A.; Simos, Y.V.; Verginadis, I.I.; Charalabopoulos, K.; Ragos, V.; Dounousi, E.; Boudouris, G.; Karkabounas, S.; Evangelou, A.; Peschos, D. Correlation of bioelectrical impedance analysis phase angle with changes in oxidative stress on end-stage renal disease patients, before, during, and after dialysis. Ren. Fail. 2016, 38, 738–743. [Google Scholar] [CrossRef] [PubMed]
- Lewis, J.B.; Wataha, J.C.; McCloud, V.; Lockwood, P.E.; Messer, R.L.W.; Tseng, W. Au(III), Pd(II), Ni(II), and Hg(II) alter NFκB signaling in THP1 monocytic cells. J. Biomed. Mater. Res. 2005, 74A, 474–481. [Google Scholar] [CrossRef]
- Rudolf, E.; Cervinka, M. Nickel modifies the cytotoxicity of hexavalent chromium in human dermal fibroblasts. Toxicol. Lett. 2010, 197, 143–150. [Google Scholar] [CrossRef]
- Ponnappan, U.; Yull, F.E.; Soderberg, L.S.F. Inhaled isobutyl nitrite inhibited macrophage inducible nitric oxide by blocking NFκB signaling and promoting degradation of inducible nitric oxide synthase-2. Int. Immunopharmacol. 2004, 4, 1075–1082. [Google Scholar] [CrossRef]
- Jomova, K.; Jenisova, Z.; Feszterova, M.; Baros, S.; Liska, J.; Hudecova, D.; Rhodes, C.J.; Valko, M. Arsenic: Toxicity, oxidative stress and human disease. J. Appl. Toxicol. 2011, 31, 95–107. [Google Scholar] [CrossRef]
- Li, Y.; Goronzy, J.J.; Weyand, C.M. DNA damage, metabolism and aging in pro-inflammatory T cells. Exp. Gerontol. 2018, 105, 118–127. [Google Scholar] [CrossRef] [PubMed]
- Ortona, E.; Pierdominici, M.; Maselli, A.; Veroni, C.; Aloisi, F.; Shoenfeld, Y. Sex-based differences in autoimmune diseases. Ann. Ist. Super. Sanita 2016, 52, 205–212. [Google Scholar] [CrossRef]
- Kellgren, J.H.; Lawrence, J.S.; Aitken-Swan, J. Rheumatic Complaints in an Urban Population. Ann. Rheum. Dis. 1953, 12, 5–15. [Google Scholar] [CrossRef]
- Lindstrom, T.M.; Robinson, W.H. Rheumatoid Arthritis: A Role for Immunosenescence? J. Am. Geriatr. Soc. 2010, 58, 1565–1575. [Google Scholar] [CrossRef]
- Rudolf, E.; Červinka, M. The role of intracellular zinc in chromium(VI)-induced oxidative stress, DNA damage and apoptosis. Chem.-Biol. Interact. 2006, 162, 212–227. [Google Scholar] [CrossRef] [PubMed]
- Jomova, K.; Alomar, S.Y.; Nepovimova, E.; Kuca, K.; Valko, M. Heavy metals: Toxicity and human health effects. Arch. Toxicol. 2025, 99, 153–209. [Google Scholar] [CrossRef]
- Fu, J.; Nogueira, S.V.; Drongelen, V.V.; Coit, P.; Ling, S.; Rosloniec, E.F.; Sawalha, A.H.; Holoshitz, J. Shared epitope–aryl hydrocarbon receptor crosstalk underlies the mechanism of gene–environment interaction in autoimmune arthritis. Proc. Natl. Acad. Sci. USA 2018, 115, 4755–4760. [Google Scholar] [CrossRef]
- Raadsen, R.; Dijkshoorn, B.; Van Boheemen, L.; Ten Boekel, E.; Van Kuijk, A.W.R.; Nurmohamed, M.T. Lipid profile and NT-proBNP changes from pre-clinical to established rheumatoid arthritis: A 12 years follow-up explorative study. Jt. Bone Spine 2024, 91, 105683. [Google Scholar] [CrossRef]
- Arleevskaya, M.I.; Zabotin, A.I.; Gabdulkhakova, A.G.; Semenova, O.M.; Tsibulkin, A.P. Lipid Imbalance in Individuals Predisposed to Rheumatoid Arthritis: Possible Relationship with Common Infections. Bull. Exp. Biol. Med. 2013, 155, 778–784. [Google Scholar] [CrossRef]
- Surowiec, I.; Ärlestig, L.; Rantapää-Dahlqvist, S.; Trygg, J. Metabolite and Lipid Profiling of Biobank Plasma Samples Collected Prior to Onset of Rheumatoid Arthritis. PLoS ONE 2016, 11, e0164196. [Google Scholar] [CrossRef] [PubMed]
- Arleevskaya, M.I.; Gabdoulkhakova, A.G.; Filina, Y.V.; Miftakhova, R.R.; Bredberg, A.; Tsybulkin, A.P. A transient peak of infections during onset of rheumatoid arthritis: A 10-year prospective cohort study. BMJ Open 2014, 4, e005254. [Google Scholar] [CrossRef]
- Arleevskaya, M.I.; Albina, S.; Larionova, R.V.; Gabdoulkhakova, A.G.; Lemerle, J.; Renaudineau, Y. Prevalence and Incidence of Upper Respiratory Tract Infection Events Are Elevated Prior to the Development of Rheumatoid Arthritis in First-Degree Relatives. Front. Immunol. 2018, 9, 2771. [Google Scholar] [CrossRef]
- Arleevskaya, M.I.; Shafigullina, A.Z.; Filina, Y.V.; Lemerle, J.; Renaudineau, Y. Associations between Viral Infection History Symptoms, Granulocyte Reactive Oxygen Species Activity, and Active Rheumatoid Arthritis Disease in Untreated Women at Onset: Results from a Longitudinal Cohort Study of Tatarstan Women. Front. Immunol. 2017, 8, 1725. [Google Scholar] [CrossRef] [PubMed]
- Patterson, W.B.; Holzhausen, E.; Chalifour, B.; Goodrich, J.; Costello, E.; Lurmann, F.; Conti, D.V.; Chen, Z.; Chatzi, L.; Alderete, T.L. Exposure to ambient air pollutants, serum miRNA networks, lipid metabolism, and non-alcoholic fatty liver disease in young adults. Ecotoxicol. Environ. Saf. 2023, 264, 115486. [Google Scholar] [CrossRef] [PubMed]
- Roswall, N.; Poulsen, A.H.; Hvidtfeldt, U.A.; Hendriksen, P.F.; Boll, K.; Halkjær, J.; Ketzel, M.; Brandt, J.; Frohn, L.M.; Christensen, J.H.; et al. Exposure to ambient air pollution and lipid levels and blood pressure in an adult, Danish cohort. Environ. Res. 2023, 220, 115179. [Google Scholar] [CrossRef]
- Levitan, I.; Volkov, S.; Subbaiah, P.V. Oxidized LDL: Diversity, Patterns of Recognition, and Pathophysiology. Antioxid. Redox Signal. 2010, 13, 39–75. [Google Scholar] [CrossRef] [PubMed]
- Zaguri, R.; Verbovetski, I.; Atallah, M.; Trahtemberg, U.; Krispin, A.; Nahari, E.; Leitersdorf, E.; Mevorach, D. ‘Danger’ effect of low-density lipoprotein (LDL) and oxidized LDL on human immature dendritic cells. Clin. Exp. Immunol. 2007, 149, 543–552. [Google Scholar] [CrossRef]
- Bekkering, S.; Quintin, J.; Joosten, L.A.B.; Van Der Meer, J.W.M.; Netea, M.G.; Riksen, N.P. Oxidized Low-Density Lipoprotein Induces Long-Term Proinflammatory Cytokine Production and Foam Cell Formation via Epigenetic Reprogramming of Monocytes. Arter. Thromb. Vasc. Biol. 2014, 34, 1731–1738. [Google Scholar] [CrossRef]
- Papamichail, G.V.; Georgiadis, A.N.; Tellis, C.C.; Rapti, I.; Markatseli, T.E.; Xydis, V.G.; Tselepis, A.D.; Drosos, A.A.; Voulgari, P.V. Antibodies against oxidized LDL and atherosclerosis in rheumatoid arthritis patients treated with biological agents: A prospective controlled study. Clin. Rheumatol. 2024, 43, 481–488. [Google Scholar] [CrossRef]
- Wada, Y.; Kuroda, T.; Murasawa, A.; Tanabe, N.; Nakano, M.; Gejyo, F. Autoantibodies against oxidized low-density lipoprotein (LDL) and carotid atherosclerosis in patients with rheumatoid arthritis. Clin. Exp. Rheumatol. 2005, 23, 482–486. [Google Scholar]
- Lourida, E.S.; Georgiadis, A.N.; Papavasiliou, E.C.; Papathanasiou, A.I.; Drosos, A.A.; Tselepis, A.D. Patients with early rheumatoid arthritis exhibit elevated autoantibody titers against mildly oxidized low-density lipoprotein and exhibit decreased activity of the lipoprotein-associated phospholipase A2. Arthritis Res. Ther. 2007, 9, R19. [Google Scholar] [CrossRef]
- Ahmed, H.M.M.S.; Youssef, M.; Mosaad, Y.M. Antibodies against oxidized low-density lipoprotein are associated with subclinical atherosclerosis in recent-onset rheumatoid arthritis. Clin. Rheumatol. 2010, 29, 1237–1243. [Google Scholar] [CrossRef]
- Peters, M.J.L.; Van Halm, V.P.; Nurmohamed, M.T.; Damoiseaux, J.; Tervaert, J.W.C.; Twisk, J.W.R.; Dijkmans, B.A.C.; Voskuyl, A.E. Relations between autoantibodies against oxidized low-density lipoprotein, inflammation, subclinical atherosclerosis, and cardiovascular disease in rheumatoid arthritis. J. Rheumatol. 2008, 35, 1495–1499. [Google Scholar]
- Fernández-Ortiz, A.M.; Ortiz, A.M.; Pérez, S.; Toledano, E.; Abásolo, L.; González-Gay, M.A.; Castañeda, S.; González-Álvaro, I. Effects of disease activity on lipoprotein levels in patients with early arthritis: Can oxidized LDL cholesterol explain the lipid paradox theory? Arthritis Res. Ther. 2020, 22, 213. [Google Scholar] [CrossRef]
- Korovina, M.O.; Valeeva, A.R.; Akhtyamov, I.F.; Brooks, W.; Renaudineau, Y.; Manukyan, G.; Arleevskaya, M.I. Joint Tissues: Convergence and Divergence of the Pathogenetic Mechanisms of Rheumatoid Arthritis and Osteoarthritis. Int. J. Mol. Sci. 2025, 26, 8742. [Google Scholar] [CrossRef] [PubMed]
- Moore, J.M.; Norris, J.M.; Clark, M.L. Exposure to air pollutants and rheumatoid arthritis biomarkers: A scoping review. Semin. Arthritis Rheum. 2024, 65, 152365. [Google Scholar] [CrossRef] [PubMed]
- Zhao, N.; Smargiassi, A.; Hatzopoulou, M.; Colmegna, I.; Hudson, M.; Fritzler, M.J.; Awadalla, P.; Bernatsky, S. Long-term exposure to a mixture of industrial SO2, NO2, and PM2.5 and anti-citrullinated protein antibody positivity. Environ. Health 2020, 19, 86. [Google Scholar] [CrossRef]
- Phaniendra, A.; Jestadi, D.B.; Periyasamy, L. Free radicals: Properties, sources, targets, and their implication in various diseases. Indian J. Clin. Biochem. 2015, 30, 11–26. [Google Scholar] [CrossRef]
- Jomova, K.; Valko, M. Advances in metal-induced oxidative stress and human disease. Toxicology 2011, 283, 65–87. [Google Scholar] [CrossRef]
- Zamudio-Cuevas, Y.; Martínez-Flores, K.; Martínez-Nava, G.A.; Clavijo-Cornejo, D.; Fernández-Torres, J.; Sánchez-Sánchez, R. Rheumatoid arthritis and oxidative stress, a review of a decade. Cell. Mol. Biol. 2022, 68, 174–184. [Google Scholar] [CrossRef] [PubMed]
- Gumtorntip, W.; Kasitanon, N.; Louthrenoo, W.; Chattipakorn, N.; Chattipakorn, S.C. Potential roles of air pollutants on the induction and aggravation of rheumatoid arthritis: From cell to bedside studies. Environ. Pollut. 2023, 334, 122181. [Google Scholar] [CrossRef]
- Lee, J.A.; Mikuls, T.R.; Sayles, H.R.; Thiele, G.M.; Duryee, M.J.; Payne, J.B. Associations between periodontitis and serum anti-malondialdehyde–acetaldehyde antibody concentrations in rheumatoid arthritis: A case-control study. J. Periodontol. 2024, 95, 929–941. [Google Scholar] [CrossRef]
- Thiele, G.M.; Duryee, M.J.; Anderson, D.R.; Klassen, L.W.; Mohring, S.M.; Young, K.A.; Benissan-Messan, D.; Sayles, H.; Dusad, A.; Hunter, C.D.; et al. Malondialdehyde-Acetaldehyde Adducts and Anti–Malondialdehyde-Acetaldehyde Antibodies in Rheumatoid Arthritis. Arthritis Rheumatol. 2015, 67, 645–655. [Google Scholar] [CrossRef] [PubMed]
- Mikuls, T.R.; Duryee, M.J.; England, B.R.; Anderson, D.R.; Hearth-Holmes, M.; Su, K.; Michaud, K.; Payne, J.B.; Sayles, H.; Hunter, C.; et al. Malondialdehyde–acetaldehyde antibody concentrations in rheumatoid arthritis and other rheumatic conditions. Int. Immunopharmacol. 2018, 56, 113–118. [Google Scholar] [CrossRef] [PubMed]
- Sahlström, P.; Joshua, V.; Valkovskaia, V.; Biese, C.; Stålesen, R.; Israelsson, L.; Végvári, Á.; Scheel-Toellner, D.; Klareskog, L.; Hansson, M.; et al. Autoreactive B cells against malondialdehyde-induced protein cross-links are present in the joint, lung, and bone marrow of rheumatoid arthritis patients. J. Biol. Chem. 2023, 299, 105320. [Google Scholar] [CrossRef] [PubMed]
- Khorasani, S.; Boroumand, N.; Ghaeni Pasavei, A.; Sahebari, M.; Hashemy, S.I. A Study on Association Between Protein Carbonyl and Anti-cyclic Citrullinated Peptide Antibody in Rheumatoid Arthritis: Introducing a New Supplementary Biomarker. Ind. J. Clin. Biochem. 2020, 35, 347–352. [Google Scholar] [CrossRef]
- Ediz, L.; Hiz, O.; Ozkol, H.; Gulcu, E.; Toprak, M.; Ceylan, M.F. Relationship between Anti-CCP Antibodies and Oxidant and Anti-Oxidant Activity in Patients with Rheumatoid Arthritis. Int. J. Med. Sci. 2011, 8, 139–147. [Google Scholar] [CrossRef]
- Turunen, S.; Huhtakangas, J.; Nousiainen, T.; Valkealahti, M.; Melkko, J.; Risteli, J.; Lehenkari, P. Rheumatoid arthritis antigens homocitrulline and citrulline are generated by local myeloperoxidase and peptidyl arginine deiminases 2, 3 and 4 in rheumatoid nodule and synovial tissue. Arthritis Res. Ther. 2016, 18, 239. [Google Scholar] [CrossRef]
- Witalison, E.; Thompson, P.; Hofseth, L. Protein Arginine Deiminases and Associated Citrullination: Physiological Functions and Diseases Associated with Dysregulation. Curr. Drug Targets 2015, 16, 700–710. [Google Scholar] [CrossRef]
- Kwon, E.-J.; Ju, J.H. Impact of Posttranslational Modification in Pathogenesis of Rheumatoid Arthritis: Focusing on Citrullination, Carbamylation, and Acetylation. Int. J. Mol. Sci. 2021, 22, 10576. [Google Scholar] [CrossRef]
- Xu, C.; Rodríguez-Carrio, J.; Xie, Y.; Hu, F.; Chong, W.M.; Hou, H.W.; Dalan, R.; Leong, K.P. Post-Translational Modifications of Lipoproteins: Emerging Players Linking Inflammation and Cardiovascular Disease in Rheumatoid Arthritis—A Narrative Review. Int. J. Mol. Sci. 2025, 26, 8514. [Google Scholar] [CrossRef] [PubMed]
- Kim, H.-J.; Kim, W.-J.; Shin, H.-R.; Yoon, H.-I.; Moon, J.-I.; Lee, E.; Lim, J.-M.; Cho, Y.-D.; Lee, M.-H.; Kim, H.-G.; et al. ROS-induced PADI2 downregulation accelerates cellular senescence via the stimulation of SASP production and NFκB activation. Cell Mol. Life Sci. 2022, 79, 155. [Google Scholar] [CrossRef]
- Damgaard, D.; Bjørn, M.E.; Jensen, P.Ø.; Nielsen, C.H. Reactive oxygen species inhibit catalytic activity of peptidylarginine deiminase. J. Enzym. Inhib. Med. Chem. 2017, 32, 1203–1208. [Google Scholar] [CrossRef]
- Neeli, I.; Khan, S.N.; Radic, M. Histone Deimination as a Response to Inflammatory Stimuli in Neutrophils. J. Immunol. 2008, 180, 1895–1902. [Google Scholar] [CrossRef]
- Thiele, G.M.; Duryee, M.J.; Hunter, C.D.; England, B.R.; Fletcher, B.S.; Daubach, E.C.; Pospisil, T.P.; Klassen, L.W.; Mikuls, T.R. Immunogenic and inflammatory responses to citrullinated proteins are enhanced following modification with malondialdehyde-acetaldehyde adducts. Int. Immunopharmacol. 2020, 83, 106433. [Google Scholar] [CrossRef]
- Aripova, N.; Duryee, M.J.; England, B.R.; Hunter, C.D.; Mordeson, J.E.; Ryan, E.M.; Daubach, E.C.; Romberger, D.J.; Thiele, G.M.; Mikuls, T.R. Citrullinated and malondialdehyde-acetaldehyde modified fibrinogen activates macrophages and promotes an aggressive synovial fibroblast phenotype in patients with rheumatoid arthritis. Front. Immunol. 2023, 14, 1203548. [Google Scholar] [CrossRef]
- Malyarchuk, B.; Derenko, M.; Denisova, G.; Kravtsova, O. Mitogenomic Diversity in Tatars from the Volga-Ural Region of Russia. Mol. Biol. Evol. 2010, 27, 2220–2226. [Google Scholar] [CrossRef]
- Moiseev, V.G.; Kozintsev, A.G. Anthropological originality of the Ural-speaking peoples. Ethnogr. Rev. 1998, 140–150. Available online: https://www.researchgate.net/publication/288657991_Antropologieskoe_svoeobrazie_uraloyazychnyh_narodov (accessed on 19 March 2026).
- Gerlag, D.M.; Raza, K.; van Baarsen, L.; Brouwer, E.; Buckley, C.D.; Burmester, G.R.; Gabay, C.; I Catrina, A.; Cope, A.; Cornelis, F.; et al. EULAR recommendations for terminology and research in individuals at risk of rheumatoid arthritis: Report from the Study Group for Risk Factors for Rheumatoid Arthritis. Ann. Rheum. Dis. 2012, 71, 638–641. [Google Scholar] [CrossRef]
- Selmeci, L.; Székely, M.; Soós, P.; Seres, L.; Klinga, N.; Geiger, A.; Acsády, G. Human blood plasma advanced oxidation protein products (AOPP) correlates with fibrinogen levels. Free Radic. Res. 2006, 40, 952–958. [Google Scholar] [CrossRef] [PubMed]
- Rua, E.d.A.O.; Porto, M.L.; Ramos, J.P.L.; Nogueira, B.V.; Meyrelles, S.d.S.; Vasquez, E.C.; Pereira, T.d.M.C. Effects of tobacco smoking during pregnancy on oxidative stress in the umbilical cord and mononuclear blood cells of neonates. J. Biomed. Sci. 2014, 21, 105. [Google Scholar] [CrossRef] [PubMed]
- Robinson, J.; Barker, D.J.; Georgiou, X.; Cooper, M.A.; Flicek, P.; Marsh, S.G.E. IPD-IMGT/HLA Database. Nucleic Acids Res. 2019, 48, D948–D955. [Google Scholar] [CrossRef]
- Arleevskaya, M.I.; Larionova, R.V.; Shagimardanova, E.I.; Gogoleva, N.E.; Kravtsova, O.A.; Novikov, A.A.; Kazarian, G.G.; Carlé, C.; Renaudineau, Y. Predictive risk factors before the onset of familial rheumatoid arthritis: The Tatarstan cohort study. Front. Med. 2023, 10, 1227786. [Google Scholar] [CrossRef]
- Takha, E.A.; Larionova, R.V.; Petrov, S.V.; Kazarian, G.G.; Valeeva, A.R.; Korovina, M.O.; Shamaev, N.D.; Pipchenko, A.P.; Renaudineau, Y.; Kravtsova, O.A.; et al. Possible mechanism of the implementing the trigger role of air pollution in rheumatoid arthritis (preliminary data). Hyg. Sanit. 2022, 101, 139–145. [Google Scholar] [CrossRef]
- Salikhov, D.; Petrov, S.; Shamaev, N.; Kazaryan, G.; Gaifutdinova, N.; Vybornova, I.; Mukminov, M.N.; Shuralev, E.A. An assessment of soil contamination with heavy metals in biogeochemical provinces of the republic of tatarstan. J. Agric. Environ. 2023, 8, 1–5. [Google Scholar] [CrossRef]
- Mann, H.B.; Whitney, D.R. On a Test of Whether one of Two Random Variables is Stochastically Larger than the Other. Ann. Math. Stat. 1947, 18, 50–60. [Google Scholar] [CrossRef]
- Spearman, C. The Proof and Measurement of Association between Two Things. Am. J. Psychol. 1904, 15, 72. [Google Scholar] [CrossRef]
- Nikitina, M.A.; Chernukha, I.M. Nonparametric statistics. Part 3. Correlation coefficients. Theory Pract. Meat Process. 2023, 8, 237–251. [Google Scholar] [CrossRef]






| Mann–Whitney U Test (w/Continuity Correction) by Variable Group. Marked Tests Are Significant at p < 0.05000 | ||||||||||
|---|---|---|---|---|---|---|---|---|---|---|
| Variable | Rank Sum FDR | Rank Sum Controls | U | Z | p-Value | Z | p-Value | Valid N | Valid N | 2*1sided |
| 8-OHdG | 3319 | 2037 | 1217 | 0.28758 | 0.773666 | 0.28761 | 0.773642 | 63 | 40 | 0.774673 |
| oxLDL | 3964.5 | 1706.5 | 845.5 | 3.15597 | 0.0016 | 3.15599 | 0.0016 | 65 | 41 | 0.001399 |
| AT-oxLDL | 3025 | 2646 | 1072 | −1.86902 | 0.06162 | −1.86904 | 0.061618 | 62 | 44 | 0.061427 |
| AOPP | 3404.5 | 2160.5 | 1214.5 | 0.76893 | 0.441932 | 0.769 | 0.441893 | 62 | 43 | 0.441657 |
| variable | eRA | Controls | U | Z | p-value | Z | p-value | Valid N | Valid N | 2*1sided |
| 8-OHdG | 1309.5 | 1465.5 | 645.5 | 0.368782 | 0.712291 | 0.368806 | 0.712272 | 34 | 40 | 0.709893 |
| oxLDL | 1273 | 1283 | 422 | 2.240797 | 0.02504 | 2.240835 | 0.025037 | 30 | 41 | 0.024375 |
| AT-oxLDL | 931 | 1625 | 553 | −0.479702 | 0.63144 | −0.47971 | 0.631434 | 27 | 44 | 0.633619 |
| AOPP | 1274 | 1427 | 481 | 1.833149 | 0.066781 | 1.833276 | 0.066762 | 30 | 43 | 0.066563 |
| variable | aRA | Controls | U | Z | p-value | Z | p-value | Valid N | Valid N | 2*1sided |
| 8-OHdG | 586.5 | 1304.5 | 355.5 | −0.971483 | 0.331309 | −0.971547 | 0.331277 | 21 | 40 | 0.330379 |
| oxLDL | 608 | 1283 | 398 | −0.176679 | 0.85976 | −0.176686 | 0.859755 | 20 | 41 | 0.860965 |
| AT-oxLDL | 863 | 1348 | 358 | 1.707101 | 0.087804 | 1.707101 | 0.087804 | 22 | 44 | 0.087879 |
| AOPP | 773 | 1307 | 361 | 1.286864 | 0.198143 | 1.28707 | 0.198071 | 21 | 43 | 0.199855 |
| variable | FDR | eRA | U | Z | p-value | Z | p-value | Valid N | Valid N | 2*1sided |
| 8-OHdG | 3060 | 1693 | 1044 | −0.20036 | 0.841198 | −0.20039 | 0.841177 | 63 | 34 | 0.842014 |
| oxLDL | 3213 | 1347 | 882 | 0.74059 | 0.458941 | 0.7406 | 0.458935 | 65 | 30 | 0.461066 |
| AT-oxLDL | 2685.5 | 1319.5 | 732.5 | −0.92816 | 0.353323 | −0.92817 | 0.353319 | 62 | 27 | 0.353195 |
| AOPP | 2722 | 1556 | 769 | −1.3368 | 0.181288 | −1.33689 | 0.181259 | 62 | 30 | 0.18233 |
| variable | FDR | aRA | U | Z | p-value | Z | p-value | Valid N | Valid N | 2*1sided |
| 8-OHdG | 3352 | 1401 | 651 | −1.87684 | 0.060541 | −1.87699 | 0.060521 | 73 | 24 | 0.060228 |
| oxLDL | 3156 | 1309 | 600 | −1.89972 | 0.057471 | −1.89975 | 0.057467 | 71 | 23 | 0.057102 |
| AT-oxLDL | 3375 | 1090 | 747 | −0.39738 | 0.691084 | −0.39739 | 0.691083 | 72 | 22 | 0.693127 |
| AOPP | 3166 | 929 | 698 | 0.24803 | 0.804109 | 0.24806 | 0.804090 | 69 | 21 | 0.805556 |
| variable | aRA | eRA | U | Z | p-value | Z | p-value | Valid N | Valid N | 2*1sided |
| 8-OHdG | 509.5 | 1030.5 | 278.5 | −1.35127 | 0.17661 | −1.35142 | 0.176563 | 21 | 34 | 0.175357 |
| oxLDL | 416 | 859 | 206 | −1.85158 | 0.064088 | −1.85184 | 0.064049 | 20 | 30 | 0.063708 |
| AT-oxLDL | 662.5 | 562.5 | 184.5 | 2.25128 | 0.024368 | 2.25134 | 0.024365 | 22 | 27 | 0.022769 |
| AOPP | 520.5 | 805.5 | 289.5 | −0.47847 | 0.632313 | −0.47852 | 0.632282 | 21 | 30 | 0.628485 |
| Cohort | Pair of Variables | Valid N | Spearman R | t (N − 2) | p-Value |
|---|---|---|---|---|---|
| Control | 8-OHdG and AT-oxLDL | 38 | −0.507879 | −3.53747 | 0.001134 |
| oxLDL and AT-oxLDL | 41 | −0.302626 | −1.98288 | 0.054456 | |
| AOPP and AT-oxLDL | 35 | 0.577613 | 4.06479 | 0.000280 | |
| FDR | 8-OHdG and AT-oxLDL | 58 | −0.353567 | −2.82855 | 0.006477 |
| oxLDL and AT-oxLDL | 62 | −0.580879 | −5.52767 | 0.000001 | |
| AOPP and AT-oxLDL | 56 | 0.666826 | 6.57550 | 0.000000 | |
| eRA | 8-OHdG and AT-oxLDL | 26 | −0.220588 | −1.10795 | 0.278864 |
| oxLDL and AT-oxLDL | 25 | −0.537796 | −3.05925 | 0.005558 | |
| AOPP and AT-oxLDL | 24 | 0.609395 | 3.60504 | 0.001572 | |
| aRA | AT-oxLDL and 8-OHdG | 18 | −0.097057 | −0.390071 | 0.701628 |
| AT-oxLDL and oxLDL | 18 | −0.075335 | −0.302200 | 0.766392 | |
| AT-oxLDL and AOPP | 18 | 0.446852 | 1.997982 | 0.063010 |
| Education Level | Low (n = 123) | High (n = 53) |
|---|---|---|
| Age, years | 55.00 (61) | 41.00 (77) |
| MW, p | 0.000009 | |
| BMI * | 28.54 (24) | 24.27 (34) |
| MW, p | 0.000354 | |
| Pair of Variables | Valid | Spearman | t (N − 2) | p-Value |
|---|---|---|---|---|
| Age and BMI | 165 | 0.413281 | 5.79441 | 0.000000 |
| BMI and 8-OHdG | 153 | 0.104471 | 1.29083 | 0.198736 |
| BMI and oxLDL | 150 | 0.235871 | 2.95281 | 0.003664 |
| BMI and AT-oxLDL | 148 | −0.259878 | −3.25184 | 0.001424 |
| Age and 8-OHdG | 162 | 0.000525 | 0.00664 | 0.994706 |
| Age and oxLDL | 158 | 0.177208 | 2.24893 | 0.025917 |
| Age and AT-oxLDL | 157 | −0.250577 | −3.22247 | 0.001549 |
| Educational Level | Active or Passive Smoker No/Yes (%) | Alcohol No/Rarely (%) | Fish No/Yes (%) | Coffee No/Yes (%) |
|---|---|---|---|---|
| Lower | 81/48 (37.2) | 64/65 (50.4) | 25/103 (80.5) | 68/60 (46.9) |
| Higher | 42/11 (20.8) | 18/35 (67.3) | 17/37 (68.5) | 19/35 (64.8) |
| Chi-square. p | 0.032 | 0.054 | 0.081 | 0.027 |
| Cohorts | Controls | Pre-RA-FDR | eRA | aRA |
|---|---|---|---|---|
| Age. years. median (IQR *) | 51.0 (51.0) | 55.0 (55.0) | 56.0 (56.0) | 51.0 (51.0) |
| Gender female/male (female %) | 49/3 (94.2) | 65/7 (90.3) | 34/1 (97.1) | 25/25 (100.0) |
| BMI. median (IQR *) | 30.5 (18.25) | 27.5 (18.25) | 28.5 (20.75) | 29.0 (39.0) |
| RA experience. years. median (IQR *) | 0.57 (2.0) | 6.9 (7.0) | ||
| DAS28-ESR score. median (IQR *). low/moderate/high activity (%) | 3.97 (54.0) 28.6/8.6/62.8 | 3.4 (40.0) 13.8/40.4/45.8 | ||
| HAQ score. median (IQR *) | 1.25 (38.0) | 0.3 (8.5) | ||
| ESR. mm/hour. median (IQR *) | 33.0 (32.0) | 30.0 (27.0) | ||
| CRP. mg/mL. median (IQR*) | 5.5 (10.0) | 7.3 (45.0) | ||
| RF. IU/mL. median (IQR *) | 21.45 (38.0) | 22.0 (45.5) | ||
| RF pos (%) | 62.5 | 48.0 | ||
| aCCP. U/mL. median (IQR *) | 38.24 (19.0) | 17.7 (67.0) | ||
| aCCP pos (%) | 80.0 | 68.0 | ||
| preRA Stage | I (n = 11) | II (n = 17) | III (n = 32) | IV (n = 19) |
|---|---|---|---|---|
| Age. years. median (IQR *) | 36.55 (19) | 52.00 (19.5) | 52.50 (19) | 51.00 (14) |
| Gender female/male (female %) | 11/0 (100) | 16/1 (94.1) | 31/1 (96.9) | 18/1 (94.7) |
| BMI | 24.22 (11) | 29.08 (25) | 25.46 (9) | 28.82 (23) |
| HAQ score. median (IQR *) | × | × | 0.50 (17) | 0.63 (75) |
| ESR. mm/hour. median (IQR *) | 12.00 (13) | 35.00 (22.5) | 13.50 (14) | 23.50 (27) |
| CRP. mg/mL. median (IQR *) | 0.77 (7) | 3.50 (2) | 2.33 (8) | 3.50 (2.5) |
| RF. IU/mL. median (IQR *) | 9.00 (3) | 13.00 (54) | 11.00 (30) | 7.02 (120) |
| RF pos (%) | 0 | 29.4 | 34.5 | 17.6 |
| aCCP. U/mL. median (IQR *) | 9.40 (3) | 23.65 (47) | 11.54 (59) | 9.34 (38.5) |
| aCCP pos (%) | 0 | 63.6 | 33.33 | 31.25 |
Disclaimer/Publisher’s Note: The statements, opinions and data contained in all publications are solely those of the individual author(s) and contributor(s) and not of MDPI and/or the editor(s). MDPI and/or the editor(s) disclaim responsibility for any injury to people or property resulting from any ideas, methods, instructions or products referred to in the content. |
© 2026 by the authors. Licensee MDPI, Basel, Switzerland. This article is an open access article distributed under the terms and conditions of the Creative Commons Attribution (CC BY) license.
Share and Cite
Serdiuk, I.L.; Valeeva, A.R.; Petrov, S.V.; Salikhov, D.G.; Kazarian, G.G.; Korovina, M.O.; Kravtsova, O.A.; Shagimardanova, E.I.; Brooks, W.; Badrutdinov, O.R.; et al. The Linkage Between Ecotoxins Within Maximum Permissible Concentrations, Oxidative Stress and Antibodies Against Cyclic Citrullinated Peptides in Patients and Persons at Preclinic Stages of Rheumatoid Arthritis. Int. J. Mol. Sci. 2026, 27, 3328. https://doi.org/10.3390/ijms27073328
Serdiuk IL, Valeeva AR, Petrov SV, Salikhov DG, Kazarian GG, Korovina MO, Kravtsova OA, Shagimardanova EI, Brooks W, Badrutdinov OR, et al. The Linkage Between Ecotoxins Within Maximum Permissible Concentrations, Oxidative Stress and Antibodies Against Cyclic Citrullinated Peptides in Patients and Persons at Preclinic Stages of Rheumatoid Arthritis. International Journal of Molecular Sciences. 2026; 27(7):3328. https://doi.org/10.3390/ijms27073328
Chicago/Turabian StyleSerdiuk, Igor L., Anna R. Valeeva, Sergei V. Petrov, Damir G. Salikhov, Gevorg G. Kazarian, Marina O. Korovina, Olga A. Kravtsova, Elena I. Shagimardanova, Wesley Brooks, Oleg R. Badrutdinov, and et al. 2026. "The Linkage Between Ecotoxins Within Maximum Permissible Concentrations, Oxidative Stress and Antibodies Against Cyclic Citrullinated Peptides in Patients and Persons at Preclinic Stages of Rheumatoid Arthritis" International Journal of Molecular Sciences 27, no. 7: 3328. https://doi.org/10.3390/ijms27073328
APA StyleSerdiuk, I. L., Valeeva, A. R., Petrov, S. V., Salikhov, D. G., Kazarian, G. G., Korovina, M. O., Kravtsova, O. A., Shagimardanova, E. I., Brooks, W., Badrutdinov, O. R., Mukminov, M. N., Shuralev, E. A., Shamaev, N. D., Novikov, A. A., Renaudineau, Y., & Arleevskaya, M. I. (2026). The Linkage Between Ecotoxins Within Maximum Permissible Concentrations, Oxidative Stress and Antibodies Against Cyclic Citrullinated Peptides in Patients and Persons at Preclinic Stages of Rheumatoid Arthritis. International Journal of Molecular Sciences, 27(7), 3328. https://doi.org/10.3390/ijms27073328

