Changes in Oxidative Stress, Inflammatory and Bone Metabolism Biomarkers Following Sulfurous Water Inhalation in Osteopenic Women
Abstract
1. Introduction
2. Results
2.1. Measurement of Serum H2S Levels
2.2. MDA Determination
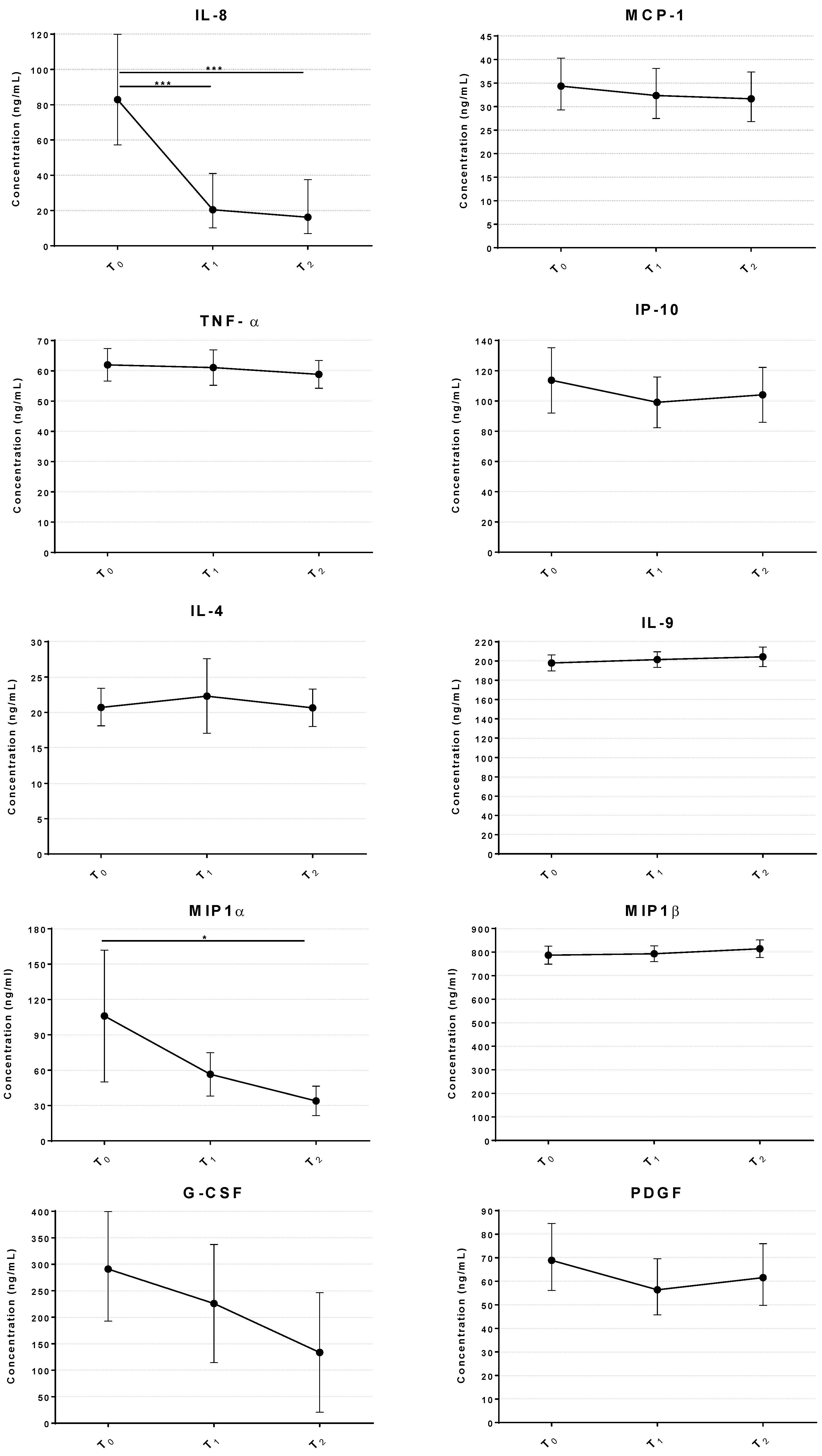
2.3. Measurement of Inflammatory Cytokines
2.4. Measurement of Vitamin D (VITD) and Parathyroid Hormone (PTH)
2.5. Measurement of Biomarkers of Bone Turnover
3. Discussion
4. Materials and Methods
4.1. Ethics Statements
4.2. Study Population and Design
4.3. Treatment
4.4. DXA Scan
4.5. Blood Sampling
4.6. H2S Measurements
4.7. Biochemical Measurements
4.8. Statistical Analysis
5. Conclusions
Supplementary Materials
Author Contributions
Funding
Institutional Review Board Statement
Informed Consent Statement
Data Availability Statement
Acknowledgments
Conflicts of Interest
References
- Aibar-Almazan, A.; Voltes-Martinez, A.; Castellote-Caballero, Y.; Afanador-Restrepo, D.F.; Carcelen-Fraile, M.D.C.; Lopez-Ruiz, E. Current Status of the Diagnosis and Management of Osteoporosis. Int. J. Mol. Sci. 2022, 23, 9465. [Google Scholar] [CrossRef]
- Kanis, J.A. Assessment of fracture risk and its application to screening for postmenopausal osteoporosis: Synopsis of a WHO report. WHO Study Group. Osteoporos. Int. 1994, 4, 368–381. [Google Scholar] [CrossRef] [PubMed]
- Dong, Y.; Kang, H.; Peng, R.; Song, K.; Guo, Q.; Guan, H.; Zhu, M.; Ye, D.; Li, F. Global, Regional, and National Burden of Low Bone Mineral Density From 1990 to 2019: Results From the Global Burden of Disease Study 2019. Front. Endocrinol. 2022, 13, 870905. [Google Scholar] [CrossRef]
- Xiao, P.L.; Cui, A.Y.; Hsu, C.J.; Peng, R.; Jiang, N.; Xu, X.H.; Ma, Y.G.; Liu, D.; Lu, H.D. Global, regional prevalence, and risk factors of osteoporosis according to the World Health Organization diagnostic criteria: A systematic review and meta-analysis. Osteoporos. Int. 2022, 33, 2137–2153. [Google Scholar] [CrossRef] [PubMed]
- Lee, K.I.; Chen, J.H.; Chen, K.H. Osteoporosis After Menopause and After Drug Therapy: The Molecular Mechanism of Bone Loss and Its Treatment. Int. J. Mol. Sci. 2026, 27, 641. [Google Scholar] [CrossRef]
- Cauley, J.A.; Robbins, J.; Chen, Z.; Cummings, S.R.; Jackson, R.D.; LaCroix, A.Z.; LeBoff, M.; Lewis, C.E.; McGowan, J.; Neuner, J.; et al. Effects of estrogen plus progestin on risk of fracture and bone mineral density: The Women’s Health Initiative randomized trial. JAMA 2003, 290, 1729–1738. [Google Scholar] [CrossRef]
- Khosla, S.; Monroe, D.G. Regulation of Bone Metabolism by Sex Steroids. Cold Spring Harb. Perspect. Med. 2018, 8, a031211. [Google Scholar] [CrossRef]
- Khosla, S.; Melton, L.J., 3rd. Clinical practice. Osteopenia. N. Engl. J. Med. 2007, 356, 2293–2300. [Google Scholar] [CrossRef] [PubMed]
- Gourlay, M.L.; Fine, J.P.; Preisser, J.S.; May, R.C.; Li, C.; Lui, L.Y.; Ransohoff, D.F.; Cauley, J.A.; Ensrud, K.E.; Study of Osteoporotic Fractures Research, G. Bone-density testing interval and transition to osteoporosis in older women. N. Engl. J. Med. 2012, 366, 225–233. [Google Scholar] [CrossRef]
- Reid, I.R.; McClung, M.R. Osteopenia: A key target for fracture prevention. Lancet Diabetes Endocrinol. 2024, 12, 856–864. [Google Scholar] [CrossRef]
- Baquero Ubeda, J.L.; Garcia Diaz, S.; Gomez Martinez, J.C.; Martinez Fernandez, N.; Mico Perez, R.M.; Moller, I.; Neyro Bilbao, J.L.; Saez Lopez, P.; Santina Vila, M.; Verges Milano, J.; et al. Multidisciplinary consensus on the management of patients with osteopenia and fracture risk in Spain. BMC Musculoskelet. Disord. 2025, 26, 970. [Google Scholar] [CrossRef]
- Mun, J.; Kim, M.; Song, J.; Chung, Y.; Park, J.; Park, J. Individualized Fracture Prevention for Postmenopausal Women with Osteopenia. J. Menopausal Med. 2025, 31, 138–144. [Google Scholar] [CrossRef]
- Cenci, S.; Weitzmann, M.N.; Roggia, C.; Namba, N.; Novack, D.; Woodring, J.; Pacifici, R. Estrogen deficiency induces bone loss by enhancing T-cell production of TNF-alpha. J. Clin. Investig. 2000, 106, 1229–1237. [Google Scholar] [CrossRef]
- Cline-Smith, A.; Axelbaum, A.; Shashkova, E.; Chakraborty, M.; Sanford, J.; Panesar, P.; Peterson, M.; Cox, L.; Baldan, A.; Veis, D.; et al. Ovariectomy Activates Chronic Low-Grade Inflammation Mediated by Memory T Cells, Which Promotes Osteoporosis in Mice. J. Bone Miner. Res. 2020, 35, 1174–1187. [Google Scholar] [CrossRef] [PubMed]
- Iantomasi, T.; Romagnoli, C.; Palmini, G.; Donati, S.; Falsetti, I.; Miglietta, F.; Aurilia, C.; Marini, F.; Giusti, F.; Brandi, M.L. Oxidative Stress and Inflammation in Osteoporosis: Molecular Mechanisms Involved and the Relationship with microRNAs. Int. J. Mol. Sci. 2023, 24, 3772. [Google Scholar] [CrossRef]
- Livshits, G.; Kalinkovich, A. Targeting chronic inflammation as a potential adjuvant therapy for osteoporosis. Life Sci. 2022, 306, 120847. [Google Scholar] [CrossRef] [PubMed]
- El Khoudary, S.R.; Chen, X.; Qi, M.; Matthews, K.A.; Karlamangla, A.; Gold, E.B.; Harlow, S.D.; Thurston, R.C.; Joffe, H.; Pavlovic, J.; et al. The Relation between Systemic Inflammation and the Menopause Transition: The Study of Women’s Health Across the Nation. J. Clin. Endocrinol. Metab. 2025, 110, e3566–e3576. [Google Scholar] [CrossRef]
- Altindag, O.; Erel, O.; Soran, N.; Celik, H.; Selek, S. Total oxidative/anti-oxidative status and relation to bone mineral density in osteoporosis. Rheumatol. Int. 2008, 28, 317–321. [Google Scholar] [CrossRef]
- Grassi, F.; Tell, G.; Robbie-Ryan, M.; Gao, Y.; Terauchi, M.; Yang, X.; Romanello, M.; Jones, D.P.; Weitzmann, M.N.; Pacifici, R. Oxidative stress causes bone loss in estrogen-deficient mice through enhanced bone marrow dendritic cell activation. Proc. Natl. Acad. Sci. USA 2007, 104, 15087–15092. [Google Scholar] [CrossRef]
- Luo, J.; Li, L.; Shi, W.; Xu, K.; Shen, Y.; Dai, B. Oxidative stress and inflammation: Roles in osteoporosis. Front. Immunol. 2025, 16, 1611932. [Google Scholar] [CrossRef] [PubMed]
- Kimball, J.S.; Johnson, J.P.; Carlson, D.A. Oxidative Stress and Osteoporosis. J. Bone Joint. Surg. Am. 2021, 103, 1451–1461. [Google Scholar] [CrossRef]
- Wu, Q.; Zhong, Z.M.; Pan, Y.; Zeng, J.H.; Zheng, S.; Zhu, S.Y.; Chen, J.T. Advanced Oxidation Protein Products as a Novel Marker of Oxidative Stress in Postmenopausal Osteoporosis. Med. Sci. Monit. 2015, 21, 2428–2432. [Google Scholar] [CrossRef] [PubMed]
- Mundy, G.R. Osteoporosis and inflammation. Nutr. Rev. 2007, 65, S147–S151. [Google Scholar] [CrossRef] [PubMed]
- Baek, K.H.; Oh, K.W.; Lee, W.Y.; Lee, S.S.; Kim, M.K.; Kwon, H.S.; Rhee, E.J.; Han, J.H.; Song, K.H.; Cha, B.Y.; et al. Association of oxidative stress with postmenopausal osteoporosis and the effects of hydrogen peroxide on osteoclast formation in human bone marrow cell cultures. Calcif. Tissue Int. 2010, 87, 226–235. [Google Scholar] [CrossRef] [PubMed]
- Lee, N.K.; Choi, Y.G.; Baik, J.Y.; Han, S.Y.; Jeong, D.W.; Bae, Y.S.; Kim, N.; Lee, S.Y. A crucial role for reactive oxygen species in RANKL-induced osteoclast differentiation. Blood 2005, 106, 852–859. [Google Scholar] [CrossRef]
- Tao, H.; Li, X.; Wang, Q.; Yu, L.; Yang, P.; Chen, W.; Yang, X.; Zhou, J.; Geng, D. Redox signaling and antioxidant defense in osteoclasts. Free Radic. Biol. Med. 2024, 212, 403–414. [Google Scholar] [CrossRef]
- Bai, X.C.; Lu, D.; Bai, J.; Zheng, H.; Ke, Z.Y.; Li, X.M.; Luo, S.Q. Oxidative stress inhibits osteoblastic differentiation of bone cells by ERK and NF-kappaB. Biochem. Biophys. Res. Commun. 2004, 314, 197–207. [Google Scholar] [CrossRef]
- Fontani, F.; Marcucci, G.; Iantomasi, T.; Brandi, M.L.; Vincenzini, M.T. Glutathione, N-acetylcysteine and lipoic acid down-regulate starvation-induced apoptosis, RANKL/OPG ratio and sclerostin in osteocytes: Involvement of JNK and ERK1/2 signalling. Calcif. Tissue Int. 2015, 96, 335–346. [Google Scholar] [CrossRef]
- Sbodio, J.I.; Snyder, S.H.; Paul, B.D. Regulators of the transsulfuration pathway. Br. J. Pharmacol. 2019, 176, 583–593. [Google Scholar] [CrossRef]
- Flori, L.; Veneziano, S.; Martelli, A.; Piragine, E.; Calderone, V. Transsulfuration Pathway Products and H2S-Donors in Hyperhomocysteinemia: Potential Strategies Beyond Folic Acid. Int. J. Mol. Sci. 2025, 26, 430. [Google Scholar] [CrossRef]
- Paul, B.D.; Snyder, S.H. H2S: A Novel Gasotransmitter that Signals by Sulfhydration. Trends Biochem. Sci. 2015, 40, 687–700. [Google Scholar] [CrossRef]
- Vandiver, M.; Snyder, S.H. Hydrogen sulfide: A gasotransmitter of clinical relevance. J. Mol. Med. 2012, 90, 255–263. [Google Scholar] [CrossRef]
- Wang, R. Physiological implications of hydrogen sulfide: A whiff exploration that blossomed. Physiol. Rev. 2012, 92, 791–896. [Google Scholar] [CrossRef] [PubMed]
- Cirino, G.; Szabo, C.; Papapetropoulos, A. Physiological Roles of Hydrogen Sulfide in Mammalian Cells, Tissues, and Organs. Physiol. Rev. 2023, 103, 31–276. [Google Scholar] [CrossRef] [PubMed]
- Liu, Y.; Yang, R.; Liu, X.; Zhou, Y.; Qu, C.; Kikuiri, T.; Wang, S.; Zandi, E.; Du, J.; Ambudkar, I.S.; et al. Hydrogen sulfide maintains mesenchymal stem cell function and bone homeostasis via regulation of Ca2+ channel sulfhydration. Cell Stem Cell 2014, 15, 66–78. [Google Scholar] [CrossRef] [PubMed]
- Xu, Z.S.; Wang, X.Y.; Xiao, D.M.; Hu, L.F.; Lu, M.; Wu, Z.Y.; Bian, J.S. Hydrogen sulfide protects MC3T3-E1 osteoblastic cells against H2O2-induced oxidative damage-implications for the treatment of osteoporosis. Free Radic. Biol. Med. 2011, 50, 1314–1323. [Google Scholar] [CrossRef]
- Grassi, F.; Tyagi, A.M.; Calvert, J.W.; Gambari, L.; Walker, L.D.; Yu, M.; Robinson, J.; Li, J.Y.; Lisignoli, G.; Vaccaro, C.; et al. Hydrogen Sulfide Is a Novel Regulator of Bone Formation Implicated in the Bone Loss Induced by Estrogen Deficiency. J. Bone Miner. Res. 2016, 31, 949–963. [Google Scholar] [CrossRef]
- Behera, J.; Kelly, K.E.; Voor, M.J.; Metreveli, N.; Tyagi, S.C.; Tyagi, N. Hydrogen Sulfide Promotes Bone Homeostasis by Balancing Inflammatory Cytokine Signaling in CBS-Deficient Mice through an Epigenetic Mechanism. Sci. Rep. 2018, 8, 15226. [Google Scholar] [CrossRef]
- Gambari, L.; Lisignoli, G.; Cattini, L.; Manferdini, C.; Facchini, A.; Grassi, F. Sodium hydrosulfide inhibits the differentiation of osteoclast progenitor cells via NRF2-dependent mechanism. Pharmacol. Res. 2014, 87, 99–112. [Google Scholar] [CrossRef]
- Lee, S.K.; Chung, J.H.; Choi, S.C.; Auh, Q.S.; Lee, Y.M.; Lee, S.I.; Kim, E.C. Sodium hydrogen sulfide inhibits nicotine and lipopolysaccharide-induced osteoclastic differentiation and reversed osteoblastic differentiation in human periodontal ligament cells. J. Cell. Biochem. 2013, 114, 1183–1193. [Google Scholar] [CrossRef]
- Carubbi, C.; Masselli, E.; Calabro, E.; Bonati, E.; Galeone, C.; Andreoli, R.; Goldoni, M.; Corradi, M.; Sverzellati, N.; Pozzi, G.; et al. Sulphurous thermal water inhalation impacts respiratory metabolic parameters in heavy smokers. Int. J. Biometeorol. 2019, 63, 1209–1216. [Google Scholar] [CrossRef] [PubMed]
- Galvez, I.; Torres-Piles, S.; Ortega-Rincon, E. Balneotherapy, Immune System, and Stress Response: A Hormetic Strategy? Int. J. Mol. Sci. 2018, 19, 1687. [Google Scholar] [CrossRef] [PubMed]
- Contoli, M.; Gnesini, G.; Forini, G.; Marku, B.; Pauletti, A.; Padovani, A.; Casolari, P.; Taurino, L.; Ferraro, A.; Chicca, M.; et al. Reducing agents decrease the oxidative burst and improve clinical outcomes in COPD patients: A randomised controlled trial on the effects of sulphurous thermal water inhalation. Sci. World J. 2013, 2013, 927835. [Google Scholar] [CrossRef]
- Roda, B.; Zhang, N.; Gambari, L.; Grigolo, B.; Eller-Vainicher, C.; Gennari, L.; Zappi, A.; Giordani, S.; Marassi, V.; Zattoni, A.; et al. Optimization of a Monobromobimane (MBB) Derivatization and RP-HPLC-FLD Detection Method for Sulfur Species Measurement in Human Serum after Sulfur Inhalation Treatment. Antioxidants 2022, 11, 939. [Google Scholar] [CrossRef]
- Fisher, A.; Srikusalanukul, W.; Fisher, L.; Smith, P.N. Lower serum P1NP/betaCTX ratio and hypoalbuminemia are independently associated with osteoporotic nonvertebral fractures in older adults. Clin. Interv. Aging 2017, 12, 1131–1140. [Google Scholar] [CrossRef]
- Gambari, L.; Grigolo, B.; Filardo, G.; Grassi, F. Sulfurous thermal waters stimulate the osteogenic differentiation of human mesenchymal stromal cells—An in vitro study. Biomed. Pharmacother. 2020, 129, 110344. [Google Scholar] [CrossRef]
- Liu, Y.F.; Zhang, Y.X.; Zhu, Y.W.; Tang, A.Q.; Liang, H.B.; Yang, Y.L.; Zhai, Y.K.; Ji, X.Y.; Wu, D.D. Hydrogen Sulfide in Musculoskeletal Diseases: Molecular Mechanisms and Therapeutic Opportunities. Antioxid. Redox Signal. 2025, 42, 321–340. [Google Scholar] [CrossRef]
- Hao, Y.; Wang, H.; Fang, L.; Bian, J.; Gao, Y.; Li, C. H2S Donor and Bone Metabolism. Front. Pharmacol. 2021, 12, 661601. [Google Scholar] [CrossRef]
- Ma, J.; Shi, C.; Liu, Z.; Han, B.; Guo, L.; Zhu, L.; Ye, T. Hydrogen sulfide is a novel regulator implicated in glucocorticoids-inhibited bone formation. Aging 2019, 11, 7537–7552. [Google Scholar] [CrossRef]
- Barrera, G.; Pizzimenti, S.; Daga, M.; Dianzani, C.; Arcaro, A.; Cetrangolo, G.P.; Giordano, G.; Cucci, M.A.; Graf, M.; Gentile, F. Lipid Peroxidation-Derived Aldehydes, 4-Hydroxynonenal and Malondialdehyde in Aging-Related Disorders. Antioxidants 2018, 7, 102. [Google Scholar] [CrossRef] [PubMed]
- Benedetti, S.; Benvenuti, F.; Nappi, G.; Fortunati, N.A.; Marino, L.; Aureli, T.; De Luca, S.; Pagliarani, S.; Canestrari, F. Antioxidative effects of sulfurous mineral water: Protection against lipid and protein oxidation. Eur. J. Clin. Nutr. 2009, 63, 106–112. [Google Scholar] [CrossRef] [PubMed]
- Li, H.; Wang, F.; Zhang, L.; Cao, Y.; Liu, W.; Hao, J.; Liu, Q.; Duan, H. Modulation of Nrf2 expression alters high glucose-induced oxidative stress and antioxidant gene expression in mouse mesangial cells. Cell Signal. 2011, 23, 1625–1632. [Google Scholar] [CrossRef] [PubMed]
- Dodson, M.; Castro-Portuguez, R.; Zhang, D.D. NRF2 plays a critical role in mitigating lipid peroxidation and ferroptosis. Redox Biol. 2019, 23, 101107. [Google Scholar] [CrossRef] [PubMed]
- Bendre, M.S.; Montague, D.C.; Peery, T.; Akel, N.S.; Gaddy, D.; Suva, L.J. Interleukin-8 stimulation of osteoclastogenesis and bone resorption is a mechanism for the increased osteolysis of metastatic bone disease. Bone 2003, 33, 28–37. [Google Scholar] [CrossRef]
- Tsubaki, M.; Kato, C.; Isono, A.; Kaneko, J.; Isozaki, M.; Satou, T.; Itoh, T.; Kidera, Y.; Tanimori, Y.; Yanae, M.; et al. Macrophage inflammatory protein-1alpha induces osteoclast formation by activation of the MEK/ERK/c-Fos pathway and inhibition of the p38MAPK/IRF-3/IFN-beta pathway. J. Cell. Biochem. 2010, 111, 1661–1672. [Google Scholar] [CrossRef]
- Xu, T.; Li, C.; Liao, Y.; Zhang, X. Causal relationship between circulating levels of cytokines and bone mineral density: A mendelian randomization study. Cytokine 2024, 182, 156729. [Google Scholar] [CrossRef]
- Mirandola, P.; Gobbi, G.; Micheloni, C.; Vaccarezza, M.; Di Marcantonio, D.; Ruscitti, F.; de Panfilis, G.; Vitale, M. Hydrogen sulfide inhibits IL-8 expression in human keratinocytes via MAP kinase signaling. Lab. Investig. 2011, 91, 1188–1194. [Google Scholar] [CrossRef]
- Jain, S.; Camacho, P. Use of bone turnover markers in the management of osteoporosis. Curr. Opin. Endocrinol. Diabetes Obes. 2018, 25, 366–372. [Google Scholar] [CrossRef]
- Ponzano, M.; Wiest, M.J.; Coleman, A.; Newton, E.; Pakosh, M.; Patsakos, E.M.; Magnuson, D.S.K.; Giangregorio, L.M.; Craven, B.C. The use of alkaline phosphatase as a bone turnover marker after spinal cord injury: A scoping review of human and animal studies. J. Spinal Cord Med. 2023, 46, 167–180. [Google Scholar] [CrossRef]
- Brown, J.P.; Albert, C.; Nassar, B.A.; Adachi, J.D.; Cole, D.; Davison, K.S.; Dooley, K.C.; Don-Wauchope, A.; Douville, P.; Hanley, D.A.; et al. Bone turnover markers in the management of postmenopausal osteoporosis. Clin. Biochem. 2009, 42, 929–942. [Google Scholar] [CrossRef]






| Parameter | Value | Unit |
|---|---|---|
| pH | 7.5 | n/a |
| NH4 | 1.7 | mg/L |
| NO2 | <0.01 | mg/L |
| NO3 | <1 | mg/L |
| Cl− | 106 | mg/L |
| SO42− | 67 | mg/L |
| HCO3 | 462 | mg/L |
| Ca | 126.1 | mg/L |
| Mg | 29.5 | mg/L |
| Na | 73.2 | mg/L |
| K | 4 | mg/L |
| Li | 0.101 | mg/L |
| Sr | 0.75 | mg/L |
| Al | <0.004 | mg/L |
| Fe soluble | <0.01 | mg/L |
| SiO2 | 16.74 | mg/L |
| H2S | 14.6 | mg/L |
| Baseline | Post-Treatment | |
|---|---|---|
| Age (years) | 54.9 (±2.7) | 54.9 (±2.7) |
| Body weight (kg) | 65.5 (±10.6) | 65.5 (±10.6) |
| BMI (kg/m2) | 23.3 (±3.22) | 23.3 (±3.22) |
| Femoral neck BMD (T score) | −1.4 (±0.23) | - |
| Lumbar BMD (L1-L4 T score) | −1.73 (±0.48) | - |
| Menopause (age) | 50.4 (±2.6) | 50.4 (±2.6) |
| Years after menopause (years) | 4.3 (±3.1) | 4.3 (±3.1) |
| Creatinine (mg/dL) | 0.78 (±0.1) | 0.77 (±0.1) |
| Albumin (mg/mL) | 4.32 (±0.27) | 4.35 (±0.27) |
| ALP (U/L) | 73.11 (±2.69) | 73.06 (±3.20) |
| Calcium (mg/dL) | 9.84 (±0.43) | 9.68 (±0.37) |
| Phosphate (mg/dL) | 3.65 (±0.43) | 3.71 (±0.46) |
Disclaimer/Publisher’s Note: The statements, opinions and data contained in all publications are solely those of the individual author(s) and contributor(s) and not of MDPI and/or the editor(s). MDPI and/or the editor(s) disclaim responsibility for any injury to people or property resulting from any ideas, methods, instructions or products referred to in the content. |
© 2026 by the authors. Licensee MDPI, Basel, Switzerland. This article is an open access article distributed under the terms and conditions of the Creative Commons Attribution (CC BY) license.
Share and Cite
Gambari, L.; Amore, E.; Roseti, L.; Carpentieri, S.; Ripamonti, C.; Lisi, L.; Spinnato, P.; Nervuti, G.; Gesuele, A.; Naldi, S.; et al. Changes in Oxidative Stress, Inflammatory and Bone Metabolism Biomarkers Following Sulfurous Water Inhalation in Osteopenic Women. Int. J. Mol. Sci. 2026, 27, 3163. https://doi.org/10.3390/ijms27073163
Gambari L, Amore E, Roseti L, Carpentieri S, Ripamonti C, Lisi L, Spinnato P, Nervuti G, Gesuele A, Naldi S, et al. Changes in Oxidative Stress, Inflammatory and Bone Metabolism Biomarkers Following Sulfurous Water Inhalation in Osteopenic Women. International Journal of Molecular Sciences. 2026; 27(7):3163. https://doi.org/10.3390/ijms27073163
Chicago/Turabian StyleGambari, Laura, Emanuela Amore, Livia Roseti, Sara Carpentieri, Claudio Ripamonti, Lucia Lisi, Paolo Spinnato, Giuliana Nervuti, Antonietta Gesuele, Susanna Naldi, and et al. 2026. "Changes in Oxidative Stress, Inflammatory and Bone Metabolism Biomarkers Following Sulfurous Water Inhalation in Osteopenic Women" International Journal of Molecular Sciences 27, no. 7: 3163. https://doi.org/10.3390/ijms27073163
APA StyleGambari, L., Amore, E., Roseti, L., Carpentieri, S., Ripamonti, C., Lisi, L., Spinnato, P., Nervuti, G., Gesuele, A., Naldi, S., Grigolo, B., & Grassi, F. (2026). Changes in Oxidative Stress, Inflammatory and Bone Metabolism Biomarkers Following Sulfurous Water Inhalation in Osteopenic Women. International Journal of Molecular Sciences, 27(7), 3163. https://doi.org/10.3390/ijms27073163

