Development and Application of KASP Markers for Candidate Glucosinolate Biosynthesis Genes in Broccoli
Abstract
1. Introduction
2. Results
2.1. Development of KASP Markers for GSLs Genes in Broccoli
2.2. Determination of GSL Contents in Broccoli
2.3. Identification and Validation of Candidate SNP Markers Associated with GSL Traits
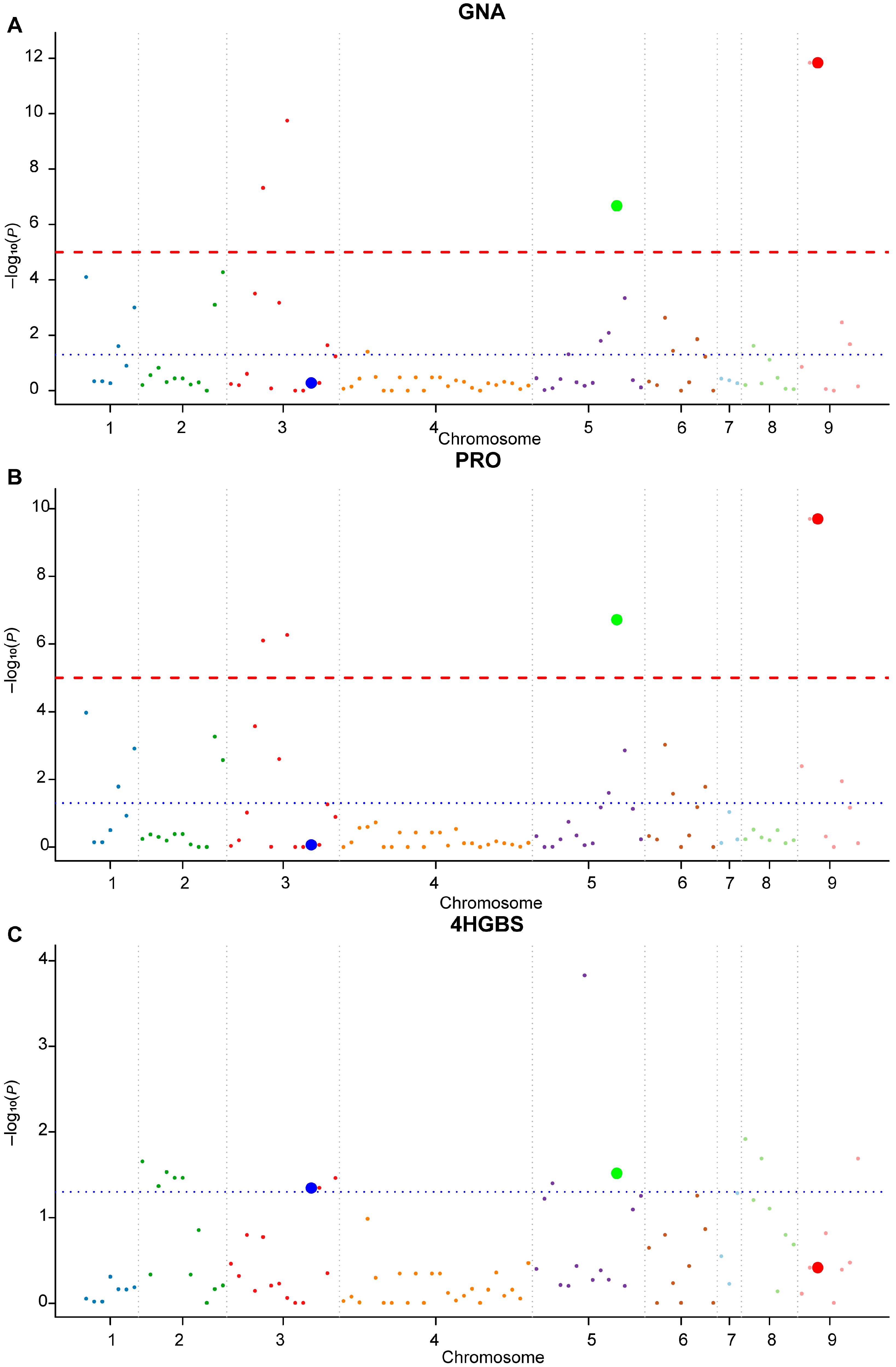
2.3.1. Identification of Candidate SNP Markers in the Natural Population
2.3.2. Validation of Candidate SNP Markers in the F2 Population
2.4. Variation Analysis of AOP2 and GSL-OH Gene in Broccoli
3. Discussion
4. Materials and Methods
4.1. Plant Materials and Sample Preparation for Extracting the GSLs
4.2. GSLs Extraction and Quantification
4.3. Development of KASP Markers for GSL-Related Genes in Broccoli
4.3.1. Primer Design
4.3.2. KASP Marker Genotyping
4.4. Association Analysis Between KASP Markers and GSL Traits
5. Conclusions
Supplementary Materials
Author Contributions
Funding
Institutional Review Board Statement
Informed Consent Statement
Data Availability Statement
Acknowledgments
Conflicts of Interest
Abbreviations
| BH | Benjamini–Hochberg |
| CTAB | Cetyltrimethylammonium bromide |
| CV | Coefficient of variation |
| FDR | False discovery rate |
| GSLs | Glucosinolates |
| GRA | Glucoraphanin |
| GNA | Gluconapin |
| GLM | General linear model |
| HPLC | High-performance liquid chromatography |
| IBS | Identity-by-state |
| IQR | Interquartile range |
| IGV | Integrative Genomics Viewer |
| KASP | Kompetitive Allele-Specific PCR |
| LOD | Limit of detection |
| LD | Linkage disequilibrium |
| MAS | Marker-assisted selection |
| MLM | Mixed linear model |
| ONPG | Ortho-nitrophenyl-β-D-galactopyranoside |
| PRO | Progoitrin |
| PVE | Phenotypic variance explained |
| Quantile-quantile | |
| ROC | Receiver operating characteristic |
| SNPs | Single-nucleotide polymorphisms |
| SIN | Sinigrin |
| SD | Standard deviation |
| 4HGBS | 4-hydroxyglucobrassicin |
| 4MGBS | 4-methoxyglucobrassicin |
References
- Padilla, G.; Cartea, M.E.; Velasco, P.; de Haro, A.; Ordas, A. Variation of glucosinolates in vegetable crops of Brassica rapa. Phytochemistry 2007, 68, 536–545. [Google Scholar] [CrossRef]
- Gamet-Payrastre, L.; Li, P.; Lumeau, S.; Cassar, G.; Dupont, M.A.; Chevolleau, S.; Gasc, N.; Tulliez, J.; Terce, F. Sulforaphane, a naturally occurring isothiocyanate, induces cell cycle arrest and apoptosis in HT29 human colon cancer cells. Cancer Res. 2000, 60, 1426–1433. [Google Scholar] [PubMed]
- Gao, W.Z.; Lai, S.X.; Liu, G.M.; Liu, Y.M.; Han, F.Q.; Zhang, S.; He, H.J.; Li, Z.S. Metabolome insights into nutrients and glucosinolates in broccoli and lacinato kale. Food Chem. 2025, 480, 143924. [Google Scholar] [CrossRef] [PubMed]
- Kumar, P.; Bisht, N.C. High-level production of health-beneficial glucoraphanin by multiplex editing of AOP2 gene family in mustard. Plant Biotechnol. J. 2025, 23, 4668–4680. [Google Scholar] [CrossRef] [PubMed]
- Gu, H.; Wang, J.; Yu, H.; Zhao, Z.; Sheng, X.; Chen, J.; Xu, Y. Development and Validation of High-glucoraphanin Broccoli F1 Hybrids and Parental Lines. J. Am. Soc. Hortic. Sci. 2014, 139, 460–468. [Google Scholar] [CrossRef]
- Shen, Y.; Song, M.; Wang, J.; Sheng, X.; Yu, H.; Du, S.; Qiao, S.; Gu, H. QTL and candidate gene analysis unveil genetic control of floret aliphatic glucosinolate side-chain modification in Brassica oleracea through multiparent F2 populations. Hortic. Res. 2025, 12, uhaf232. [Google Scholar] [CrossRef]
- Zhang, L.; Kawaguchi, R.; Enomoto, T.; Nishida, S.; Burow, M.; Maruyama-Nakashita, A. Glucosinolate Catabolism Maintains Glucosinolate Profiles and Transport in Sulfur-Starved Arabidopsis. Plant Cell Physiol. 2023, 64, 1534–1550. [Google Scholar] [CrossRef]
- Sonderby, I.E.; Geu-Flores, F.; Halkier, B.A. Biosynthesis of glucosinolates—Gene discovery and beyond. Trends Plant Sci. 2010, 15, 283–290. [Google Scholar] [CrossRef]
- Wang, M.Y.; Li, Y.B.; Yang, Y.H.; Tao, H.; Mustafa, G.; Meng, F.L.; Sun, B.; Wang, J.S.; Zhao, Y.T.; Zhang, F.; et al. Biofortification of health-promoting glucosinolates in cruciferous sprouts along the whole agro-food chain. Trends Plant Sci. Technol. 2023, 140, 104164. [Google Scholar] [CrossRef]
- Langston, F.; Redha, A.A.; Nash, G.R.; Bows, J.R.; Torquati, L.; Gidley, M.J.; Cozzolino, D. Qualitative analysis of broccoli (Brassica oleracea var. italica) glucosinolates: Investigating the use of mid-infrared spectroscopy combined with chemometrics. J. Food Compos. Anal. 2023, 123, 105532. [Google Scholar] [CrossRef]
- Yi, G.-E.; Robin, A.H.K.; Yang, K.; Park, J.-I.; Hwang, B.H.; Nou, I.-S. Exogenous Methyl Jasmonate and Salicylic Acid Induce Subspecies-Specific Patterns of Glucosinolate Accumulation and Gene Expression in Brassica oleracea L. Molecules 2016, 21, 1417. [Google Scholar] [CrossRef]
- Tang, Y.S.; Zhang, G.R.; Jiang, X.Y.; Shen, S.L.; Guan, M.W.; Tang, Y.H.; Sun, F.J.; Hu, R.; Chen, S.; Zhao, H.Y.; et al. Genome-Wide Association Study of Glucosinolate Metabolites (mGWAS) in Brassica napus L. Plants 2023, 12, 639. [Google Scholar] [CrossRef]
- Li, X.; Wen, D.; He, Y.; Liu, Y.; Han, F.; Su, J.; Lai, S.; Zhuang, M.; Gao, F.; Li, Z. Progresses and Prospects on Glucosinolate Detection in Cruciferous Plants. Foods 2024, 13, 4141. [Google Scholar] [CrossRef]
- Brown, A.F.; Yousef, G.G.; Reid, R.W.; Chebrolu, K.K.; Thomas, A.; Krueger, C.; Jeffery, E.; Jackson, E.; Juvik, J.A. Genetic analysis of glucosinolate variability in broccoli florets using genome-anchored single nucleotide polymorphisms. Theor. Appl. Genet. 2015, 128, 1431–1447. [Google Scholar] [CrossRef] [PubMed]
- Sorensen, P.L.L.; Christensen, G.; Karki, H.S.S.; Endelman, J.B.B. A KASP Marker for the Potato Late Blight Resistance Gene RB Rpi-blb1. Am. J. Potato Res. 2023, 100, 240–246. [Google Scholar] [CrossRef]
- Shen, Y.; Wang, J.; Shaw, R.K.; Yu, H.; Sheng, X.; Zhao, Z.; Li, S.; Gu, H. Development of GBTS and KASP Panels for Genetic Diversity, Population Structure, and Fingerprinting of a Large Collection of Broccoli (Brassica oleracea L. var. italica) in China. Front. Plant Sci. 2021, 12, 655254. [Google Scholar] [CrossRef]
- Yang, Y.; Lyu, M.; Liu, J.; Wu, J.; Wang, Q.; Xie, T.; Li, H.; Chen, R.; Sun, D.; Yang, Y.; et al. Construction of an SNP fingerprinting database and population genetic analysis of 329 cauliflower cultivars. BMC Plant Biol. 2022, 22, 522. [Google Scholar] [CrossRef]
- Yang, S.; Wang, X.; Wang, Z.; Zhang, W.; Su, H.; Wei, X.; Zhao, Y.; Wang, Z.; Zhang, X.; Guo, L.; et al. A chromosome-level reference genome facilitates the discovery of clubroot-resistant gene Crr5 in Chinese cabbage. Hortic. Res. 2025, 12, uhae338. [Google Scholar] [CrossRef] [PubMed]
- Li, S.; Guo, C.; Feng, X.; Wang, J.; Pan, W.; Xu, C.; Wei, S.; Han, X.; Yang, M.; Chen, Q.; et al. Development and Validation of Kompetitive Allele-Specific Polymerase Chain Reaction Markers for Seed Protein Content in Soybean. Plants 2024, 13, 3485. [Google Scholar] [CrossRef]
- Belser, C.; Istace, B.; Denis, E.; Dubarry, M.; Baurens, F.-C.; Falentin, C.; Genete, M.; Berrabah, W.; Chevre, A.-M.; Delourme, R.; et al. Chromosome-scale assemblies of plant genomes using nanopore long reads and optical maps. Nat. Plants 2018, 4, 879–887. [Google Scholar] [CrossRef]
- Xu, P.F.; Zhu, Y.T.; Zhang, Y.F.; Jiang, J.X.; Yang, L.Y.; Mu, J.X.; Yu, X.; He, Y.K. Global Analysis of the Genetic Variations in miRNA-Targeted Sites and Their Correlations With Agronomic Traits in Rapeseed. Front. Genet. 2021, 12, 741858. [Google Scholar] [CrossRef]
- Kalendar, R.; Shustov, A.V.; Akhmetollayev, I.; Kairov, U. Designing Allele-Specific Competitive-Extension PCR-Based Assays for High-Throughput Genotyping and Gene Characterization. Front. Mol. Biosci. 2022, 9, 773956. [Google Scholar] [CrossRef]
- Wang, J.; Gu, H.; Yu, H.; Zhao, Z.; Sheng, X.; Zhang, X. Genotypic variation of glucosinolates in broccoli (Brassica oleracea var. italica) florets from China. Food Chem. 2012, 133, 735–741. [Google Scholar] [CrossRef]
- Bradbury, P.J.; Zhang, Z.; Kroon, D.E.; Casstevens, T.M.; Ramdoss, Y.; Buckler, E.S. TASSEL: Software for association mapping of complex traits in diverse samples. Bioinformatics 2007, 23, 2633–2635. [Google Scholar] [CrossRef] [PubMed]
- Ibeabuchi, K.O.; Dourado, M.M.; Scholten, S.; Feuerstein, U. Genome-wide association mapping reveals genetic loci underlying phenotypic variation in early root vigour improvement induced by osmopriming in Brassica napus L. BMC Plant Biol. 2025, 25, 1460. [Google Scholar] [CrossRef]
- Burow, M.; Atwell, S.; Francisco, M.; Kerwin, R.E.; Halkier, B.A.; Kliebenstein, D.J. The Glucosinolate Biosynthetic Gene AOP2 Mediates Feed-back Regulation of Jasmonic Acid Signaling in Arabidopsis. Mol. Plant 2015, 8, 1201–1212. [Google Scholar] [CrossRef] [PubMed]
- Glauser, G.; Schweizer, F.; Turlings, T.C.J.; Reymond, P. Rapid Profiling of Intact Glucosinolates in Arabidopsis Leaves by UHPLC-QTOFMS Using a Charged Surface Hybrid Column. Phytochem. Anal. 2012, 23, 520–528. [Google Scholar] [CrossRef] [PubMed]
- Jia, C.-G.; Xu, C.-J.; Wei, J.; Yuan, J.; Yuan, G.-F.; Wang, B.-L.; Wang, Q.-M. Effect of modified atmosphere packaging on visual quality and glucosinolates of broccoli florets. Food Chem. 2009, 114, 28–37. [Google Scholar] [CrossRef]
- Chen, C.J.; Chen, H.; Zhang, Y.; Thomas, H.R.; Frank, M.H.; He, Y.H.; Xia, R. TB tools: An Integrative Toolkit Developed for Interactive Analyses of Big Biological Data. Mol. Plant 2020, 13, 1194–1202. [Google Scholar] [CrossRef]
- Uddin, M.S.; Sun, W.; He, X.; Teixeira da Silva, J.A.; Cheng, Q. An improved method to extract DNA from mango Mangifera indica. Biologia 2014, 69, 133–138. [Google Scholar] [CrossRef]
- Aken, B.L.; Achuthan, P.; Akanni, W.; Amode, M.R.; Bernsdorff, F.; Bhai, J.; Billis, K.; Carvalho-Silva, D.; Cummins, C.; Clapham, P.; et al. Ensembl 2017. Nucleic Acids Res. 2017, 45, D635–D642. [Google Scholar] [CrossRef]
- Voorman, A.; Lumley, T.; McKnight, B.; Rice, K. Behavior of QQ-Plots and Genomic Control in Studies of Gene-Environment Interaction. PLoS ONE 2011, 6, e19416. [Google Scholar] [CrossRef]
- Matukumalli, L.K.; Lawley, C.T.; Schnabel, R.D.; Taylor, J.F.; Allan, M.F.; Heaton, M.P.; O’Connell, J.; Moore, S.S.; Smith, T.P.L.; Sonstegard, T.S.; et al. Development and Characterization of a High Density SNP Genotyping Assay for Cattle. PLoS ONE 2009, 4, e5350. [Google Scholar] [CrossRef] [PubMed]
- Chang, C.C.; Chow, C.C.; Tellier, L.; Vattikuti, S.; Purcell, S.M.; Lee, J.J. Second-generation PLINK: Rising to the challenge of larger and richer datasets. Gigascience 2015, 4, s13742-015. [Google Scholar] [CrossRef] [PubMed]
- Hanusz, Z.; Tarasinska, J. Simulation Study on Improved Shapiro-Wilk Tests for Normality. Commun. Stat. Simul. Comput. 2014, 43, 2093–2105. [Google Scholar] [CrossRef]
- Bin Othman, A.R.; Heng, L.C. Sensitivity Analysis of the Refinement to the Mann-Whitney Test. Sains Malays. 2014, 43, 1095–1100. [Google Scholar]
- Stawarczyk, B.; Emslander, A.; Roos, M.; Sener, B.; Noack, F.; Keul, C. Zirconia ceramics, their contrast ratio and grain size depending on sintering parameters. Dent. Mater. J. 2014, 33, 591–598. [Google Scholar] [CrossRef]
- Sedgwick, P. STATISTICAL QUESTION Spearman’s rank correlation coefficient. Bmj—Br. Med. J. 2014, 349, g7327. [Google Scholar] [CrossRef]
- GraphPad Software. GraphPad Prism Version 10.5.0 for Windows, Version 10.5.0; GraphPad Software: San Diego, CA, USA, 2024.
- R Core Team. R: A Language and Environment for Statistical Computing, Version 4.5.1; R Foundation for Statistical Computing: Vienna, Austria, 2025.








| GSLs | Mean ± SD | Range | CV |
|---|---|---|---|
| PRO | 1.57 ± 2.98 | 0.00–13.85 | 1.89 |
| GRA | 5.63 ± 3.87 | 0.18–25.20 | 0.69 |
| SIN | 0.28 ± 1.05 | 0.00–6.56 | 3.78 |
| GNA | 0.24 ± 0.49 | 0.00–2.69 | 2.08 |
| 4HGBS | 1.09 ± 0.78 | 0.13–4.38 | 0.72 |
| 4MGBS | 2.61 ± 1.19 | 0.90–8.61 | 0.46 |
| GSLs | Mean ± SD | Range | CV |
|---|---|---|---|
| PRO | 1.78 ± 1.92 | 0.00–8.65 | 1.08 |
| GRA | 5.86 ± 2.62 | 0.96–14.81 | 0.45 |
| GNA | 0.82 ± 1.51 | 0.00–8.29 | 1.85 |
| 4HGBS | 1.17 ± 0.43 | 0.04–3.00 | 0.37 |
| KASP Marker | Candidate Gene | Chr. | Pos | Phenotype | H_G | L_G | H_A | L_A |
|---|---|---|---|---|---|---|---|---|
| S101 | AOP2 | 1,616,635 | PRO | AA | GG | 89.80% | 97.67% | |
| C9 | GNA | AA | GG | 93.88% | 90.70% | |||
| GRA | GG | AA | 87.55% | 58.14% | ||||
| 4HGBS | GG | AA | 65.12% | 65.31% | ||||
| S035 | GSL-OH | C3 | 21,810,653 | GNA | CC | TT | 60.53% | 65.63% |
Disclaimer/Publisher’s Note: The statements, opinions and data contained in all publications are solely those of the individual author(s) and contributor(s) and not of MDPI and/or the editor(s). MDPI and/or the editor(s) disclaim responsibility for any injury to people or property resulting from any ideas, methods, instructions or products referred to in the content. |
© 2026 by the authors. Licensee MDPI, Basel, Switzerland. This article is an open access article distributed under the terms and conditions of the Creative Commons Attribution (CC BY) license.
Share and Cite
Du, S.; Shen, Y.; Song, M.; Sheng, X.; Yu, H.; Qiao, S.; Li, J.; Gu, H.; Ye, Z.; Wang, J. Development and Application of KASP Markers for Candidate Glucosinolate Biosynthesis Genes in Broccoli. Int. J. Mol. Sci. 2026, 27, 2714. https://doi.org/10.3390/ijms27062714
Du S, Shen Y, Song M, Sheng X, Yu H, Qiao S, Li J, Gu H, Ye Z, Wang J. Development and Application of KASP Markers for Candidate Glucosinolate Biosynthesis Genes in Broccoli. International Journal of Molecular Sciences. 2026; 27(6):2714. https://doi.org/10.3390/ijms27062714
Chicago/Turabian StyleDu, Sifan, Yusen Shen, Mengfei Song, Xiaoguang Sheng, Huifang Yu, Shuting Qiao, Jiaojiao Li, Honghui Gu, Zihong Ye, and Jiansheng Wang. 2026. "Development and Application of KASP Markers for Candidate Glucosinolate Biosynthesis Genes in Broccoli" International Journal of Molecular Sciences 27, no. 6: 2714. https://doi.org/10.3390/ijms27062714
APA StyleDu, S., Shen, Y., Song, M., Sheng, X., Yu, H., Qiao, S., Li, J., Gu, H., Ye, Z., & Wang, J. (2026). Development and Application of KASP Markers for Candidate Glucosinolate Biosynthesis Genes in Broccoli. International Journal of Molecular Sciences, 27(6), 2714. https://doi.org/10.3390/ijms27062714

