Molecular Insights of Neuroprotective Effect of Cornulaca monacantha Extract Against LPS-Induced Neuroinflammation Supported by Metabolic Profiling and Protein Interaction Analysis
Abstract
1. Introduction
2. Results
2.1. Evaluation of Total Phenolic Content and Total Flavonoid Content
2.2. Evaluation of the Antioxidant Activity of C. monacantha Extract In Vitro
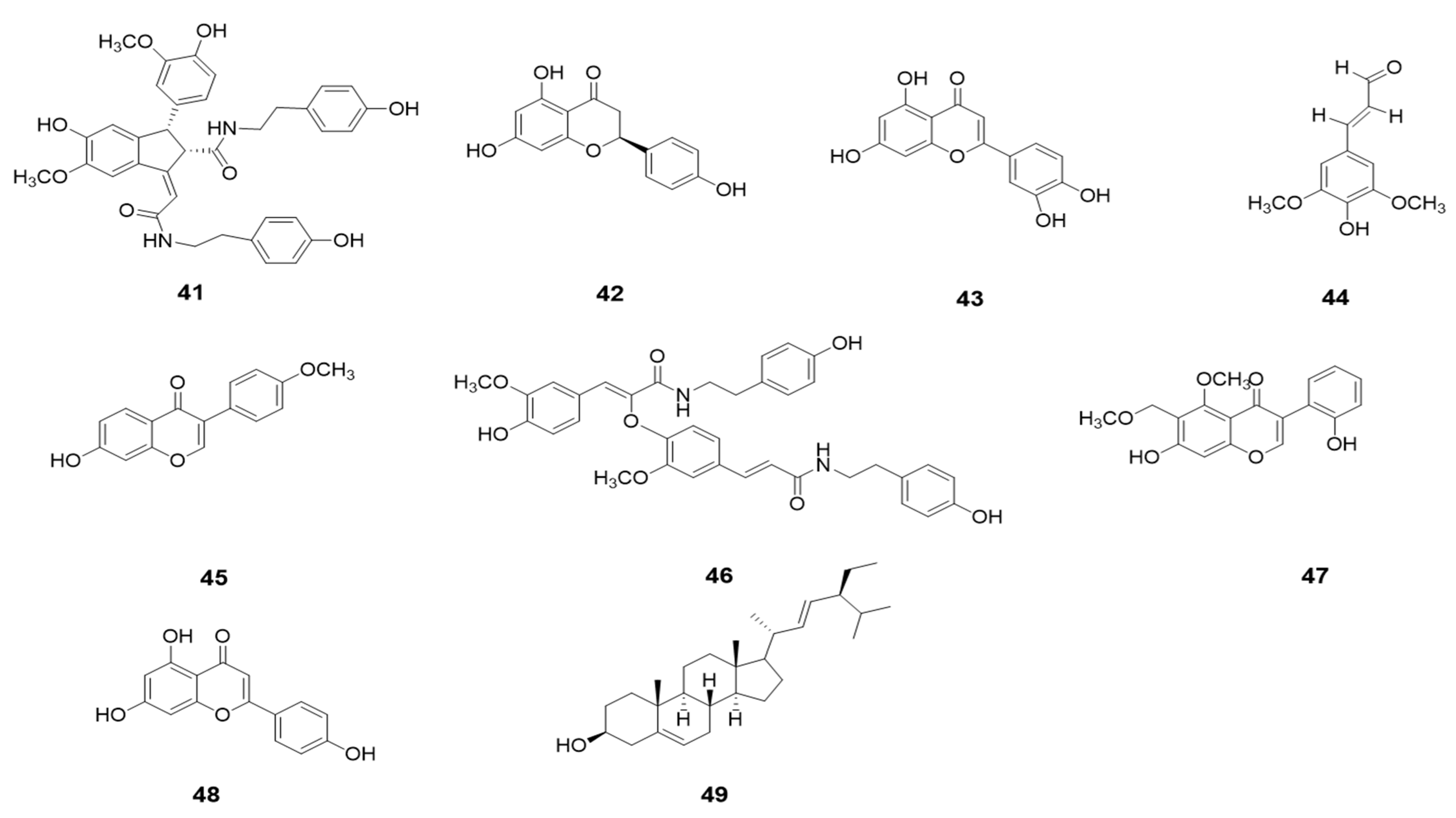
2.3. Analysis of C. monacantha Methanolic Crude Extract by LC-ESI-TOF-MS/MS
2.4. Biological Assays
2.4.1. Cell Viability and Selection of a Non-Cytotoxic Concentration
2.4.2. C. monacantha Extract Decreases Inflammatory Cytokines in Neuro-2a Cells
2.4.3. C. monacantha Extract Modulates Nrf2 Signaling Pathway in Neuro-2a Cells
2.4.4. C. monacantha Extract Modulates Regulatory Control of Nrf2 Signaling and Mediates Mitochondrial Adaptation in Neuro-2a Cells
2.5. Protein–Protein Interaction Analysis
3. Discussion
4. Materials and Methods
4.1. Plant Materials
4.2. Preparation of Plant Extract
4.3. Estimation of the Total Phenolic Content (TPC)
4.4. Estimation of the Total Flavonoid Content (TFC)
4.5. Evaluation of the Antioxidant Activity of C. monacantha Extract
4.5.1. DPPH Free Radical Scavenging Activity
4.5.2. Assay for FRAP
4.6. LC-ESI-TOF-MS/MS Metabolomic Analysis of Crude C. monacantha
4.7. Biological Assays
4.7.1. Cell Culture
4.7.2. MTT Cellular Proliferation Assay
4.7.3. Experimental Design and Grouping
4.7.4. Determination of Inflammatory Cytokines
4.7.5. RT-PCR for Determining Gene Expression
4.7.6. Determination of Keap1 and PGC-1α
4.8. Protein–Protein Interaction
4.9. Statistical Analysis
5. Limitations of the Study
6. Conclusions
Supplementary Materials
Author Contributions
Funding
Institutional Review Board Statement
Informed Consent Statement
Data Availability Statement
Conflicts of Interest
References
- Glass, C.K.; Saijo, K.; Winner, B.; Marchetto, M.C.; Gage, F.H. Mechanisms underlying inflammation in neurodegeneration. Cell 2010, 140, 918–934. [Google Scholar] [CrossRef]
- Heneka, M.T.; Carson, M.J.; El Khoury, J.; Landreth, G.E.; Brosseron, F.; Feinstein, D.L.; Jacobs, A.H.; Wyss-Coray, T.; Vitorica, J.; Ransohoff, R.M. Neuroinflammation in Alzheimer’s disease. Lancet Neurol. 2015, 14, 388–405. [Google Scholar] [CrossRef]
- Badshah, H.; Ikram, M.; Ali, W.; Ahmad, S.; Hahm, J.R.; Kim, M.O. Caffeine may abrogate LPS-induced oxidative stress and neuroinflammation by regulating Nrf2/TLR4 in adult mouse brains. Biomolecules 2019, 9, 719. [Google Scholar] [CrossRef]
- Zhao, B.; Ren, B.; Guo, R.; Zhang, W.; Ma, S.; Yao, Y.; Yuan, T.; Liu, Z.; Liu, X. Supplementation of lycopene attenuates oxidative stress induced neuroinflammation and cognitive impairment via Nrf2/NF-κB transcriptional pathway. Food Chem. Toxicol. 2017, 109, 505–516. [Google Scholar] [CrossRef]
- Chen, C.; Wei, Y.-Z.; He, X.-M.; Li, D.-D.; Wang, G.-Q.; Li, J.-J.; Zhang, F. Naringenin produces neuroprotection against LPS-induced dopamine neurotoxicity via the inhibition of microglial NLRP3 inflammasome activation. Front. Immunol. 2019, 10, 936. [Google Scholar] [CrossRef]
- Rock, R.B.; Gekker, G.; Hu, S.; Sheng, W.S.; Cheeran, M.; Lokensgard, J.R.; Peterson, P.K. Role of microglia in central nervous system infections. Clin. Microbiol. Rev. 2004, 17, 942–964. [Google Scholar] [CrossRef]
- Johnson, D.A.; Johnson, J.A. Nrf2—A therapeutic target for the treatment of neurodegenerative diseases. Free Radic. Biol. Med. 2015, 88, 253–267. [Google Scholar] [CrossRef] [PubMed]
- Li, W.; Khor, T.O.; Xu, C.; Shen, G.; Jeong, W.-S.; Yu, S.; Kong, A.-N. Activation of Nrf2-antioxidant signaling attenuates NFκB-inflammatory response and elicits apoptosis. Biochem. Pharmacol. 2008, 76, 1485–1489. [Google Scholar] [CrossRef] [PubMed]
- Chen, J.; Yin, W.; Tu, Y.; Wang, S.; Yang, X.; Chen, Q.; Zhang, X.; Han, Y.; Pi, R. L-F001, a novel multifunctional ROCK inhibitor, suppresses neuroinflammation In Vitro and In Vivo: Involvement of NF-κB inhibition and Nrf2 pathway activation. Eur. J. Pharmacol. 2017, 806, 1–9. [Google Scholar] [CrossRef]
- Guo, H.; Li, M.-j.; Liu, Q.-q.; Guo, L.-l.; Ma, M.-m.; Wang, S.-x.; Yu, B.; Hu, L.-M. Danhong injection attenuates ischemia/reperfusion-induced brain damage which is associating with Nrf2 levels in vivo and In Vitro. Neurochem. Res. 2014, 39, 1817–1824. [Google Scholar] [CrossRef]
- Rojo, A.I.; McBean, G.; Cindric, M.; Egea, J.; López, M.G.; Rada, P.; Zarkovic, N.; Cuadrado, A. Redox control of microglial function: Molecular mechanisms and functional significance. Antioxid. Redox Signal. 2014, 21, 1766–1801. [Google Scholar] [CrossRef]
- Duangjan, C.; Rangsinth, P.; Zhang, S.; Wink, M.; Tencomnao, T. Anacardium occidentale l. leaf extracts protect against Glutamate/H2O2-induced oxidative toxicity and induce neurite outgrowth: The involvement of SIRT1/Nrf2 signaling pathway and teneurin 4 transmembrane protein. Front. Pharmacol. 2021, 12, 627738. [Google Scholar] [CrossRef]
- Hussien, R.M.; Badawy, A.M.; Eltamany, E.E. Review article on phytochemical constituents and biological activity of Cornulaca monacantha. Rec. Pharm. Biomed. Sci. 2023, 7, 13–18. [Google Scholar] [CrossRef]
- Mhiri, R.; Koubaa, I.; Chawech, R.; Auberon, F.; Allouche, N.; Michel, T. New isoflavones with antioxidant activity isolated from Cornulaca monacantha. Chem. Biodivers. 2020, 17, e2000758. [Google Scholar] [CrossRef]
- Badawy, A.M.; Eltamany, E.E.; Hussien, R.M.; Mohamed, O.G.; El-Ayouty, M.M.; Nafie, M.S.; Tripathi, A.; Ahmed, S.A. Cornulacin: A new isoflavone from Cornulaca monacantha and its isolation, structure elucidation and cytotoxicity through EGFR-mediated apoptosis. RSC Med. Chem. 2024, 15, 3228–3238. [Google Scholar] [CrossRef]
- Kiho, T.; Yoshida, I.; Katsuragawa, M.; Sakushima, M.; Usui, S.; Ukai, S. Polysaccharides in fungi. XXXIV. A polysaccharide from the fruiting bodies of Amanita muscaria and the antitumor activity of its carboxymethylated product. Biol. Pharm. Bull. 1994, 17, 1460–1462. [Google Scholar] [CrossRef]
- Mosalam, E.M.; Elberri, A.I.; Sallam, A.S.; Salem, H.R.; Metwally, E.M.; Abdallah, M.S.; Shaldam, M.A.; Mansour, H.E.A. Chronotherapeutic neuroprotective effect of verapamil against lipopolysaccharide-induced neuroinflammation in mice through modulation of calcium-dependent genes. Mol. Med. 2022, 28, 139. [Google Scholar] [CrossRef]
- Mosalam, E.M.; Elberri, A.I.; Abdallah, M.S.; Abdel-Bar, H.M.; Zidan, A.-A.A.; Batakoushy, H.A.; Abo Mansour, H.E. Mechanistic Insights of Neuroprotective Efficacy of Verapamil-Loaded Carbon Quantum Dots against LPS-Induced Neurotoxicity in Rats. Int. J. Mol. Sci. 2024, 25, 7790. [Google Scholar] [CrossRef]
- Duffy, K.I. Application of Metabolomics to the Analysis of Ancient Organic Residues. Ph.D. Thesis, University of Birmingham, Birmingham, UK, 2015. [Google Scholar]
- Sun, J.; Xiao, Z.; Lin, L.-z.; Lester, G.E.; Wang, Q.; Harnly, J.M.; Chen, P. Profiling polyphenols in five Brassica species microgreens by UHPLC-PDA-ESI/HRMSn. J. Agric. Food Chem. 2013, 61, 10960–10970. [Google Scholar] [CrossRef]
- Liu, L.; Cui, Z.-x.; Zhang, Y.-b.; Xu, W.; Yang, X.-w.; Zhong, L.-j.; Zhang, P.; Gong, Y. Identification and quantification analysis of the chemical constituents from Mahonia fortune using Q-Exactive HF Mass Spectrometer and UPLC–ESI-MS/MS. J. Pharm. Biomed. Anal. 2021, 196, 113903. [Google Scholar] [CrossRef]
- Chen, X.; Hu, Y.; Tian, S.; Han, B. Understanding the Interactions between Staphylococcus aureus and the Raw-Meat-Processing Environment Isolate Klebsiella oxytoca in Dual-Species Biofilms via Discovering an Altered Metabolic Profile. Microorganisms 2021, 9, 672. [Google Scholar] [CrossRef]
- Chen, L.-D.; Huang, Z.-W.; Huang, Y.-Z.; Huang, J.-F.; Zhang, Z.-P.; Lin, X.-J. Untargeted metabolomic profiling of liver in a chronic intermittent hypoxia mouse model. Front. Physiol. 2021, 12, 701035. [Google Scholar] [CrossRef]
- Ledesma-Escobar, C.; Priego-Capote, F.; Luque de Castro, M. Characterization of lemon (Citrus limon) polar extract by liquid chromatography–tandem mass spectrometry in high resolution mode. J. Mass Spectrom. 2015, 50, 1196–1205. [Google Scholar] [CrossRef]
- Huang, G.; Liang, J.; Chen, X.; Lin, J.; Wei, J.; Huang, D.; Zhou, Y.; Sun, Z.; Zhao, L. Isolation and Identification of Chemical Constituents from Zhideke Granules by Ultra-Performance Liquid Chromatography Coupled with Mass Spectrometry. J. Anal. Methods Chem. 2020, 2020, 8889607. [Google Scholar] [CrossRef]
- Gao, H.; Mao, H.; Ullah, I. Analysis of metabolomic changes in lettuce leaves under low nitrogen and phosphorus deficiencies stresses. Agriculture 2020, 10, 406. [Google Scholar] [CrossRef]
- Avula, B.; Wang, Y.-H.; Wang, M.; Avonto, C.; Zhao, J.; Smillie, T.J.; Rua, D. Quantitative determination of phenolic compounds by UHPLC-UV–MS and use of partial least-square discriminant analysis to differentiate chemo-types of Chamomile/Chrysanthemum flower heads. J. Pharm. Biomed. Anal. 2014, 88, 278–288. [Google Scholar] [CrossRef]
- Li, X.; Zhang, Y.F.; Yang, L.; Feng, Y.; Deng, Y.H.; Liu, Y.M.; Zeng, X. Chemical profiling of constituents of Smilacis glabrae using ultra-high pressure liquid chromatography coupled with LTQ Orbitrap mass spectrometry. Nat. Prod. Commun. 2012, 7, 1934578X1200700213. [Google Scholar] [CrossRef]
- Sasot, G.; Martínez-Huélamo, M.; Vallverdú-Queralt, A.; Mercader-Martí, M.; Estruch, R.; Lamuela-Raventós, R.M. Identification of phenolic metabolites in human urine after the intake of a functional food made from grape extract by a high resolution LTQ-Orbitrap-MS approach. Food Res. Int. 2017, 100, 435–444. [Google Scholar] [CrossRef]
- Mayorga-Gross, A.L.; Quirós-Guerrero, L.M.; Fourny, G.; Vaillant, F. An untargeted metabolomic assessment of cocoa beans during fermentation. Food Res. Int. 2016, 89, 901–909. [Google Scholar] [CrossRef]
- Mahrous, F.S.M.; Mohammed, H.; Sabour, R. LC-ESI-QTOF-MS/MS of Holoptelea integrifolia (Roxb.) Planch. leaves and in silico study of phenolic compounds’ antiviral activity against the HSV1 virus. Azhar Int. J. Pharm. Med. Sci. 2021, 1, 91–101. [Google Scholar] [CrossRef]
- Arnhard, K.; Pitterl, F.; Sperner-Unterweger, B.; Fuchs, D.; Koal, T.; Oberacher, H. A validated liquid chromatography-high resolution-tandem mass spectrometry method for the simultaneous quantitation of tryptophan, kynurenine, kynurenic acid, and quinolinic acid in human plasma. Electrophoresis 2018, 39, 1171–1180. [Google Scholar] [CrossRef]
- Segura-Carretero, A.; Puertas-Mejía, M.A.; Cortacero-Ramírez, S.; Beltrán, R.; Alonso-Villaverde, C.; Joven, J.; Dinelli, G.; Fernández-Gutiérrez, A. Selective extraction, separation, and identification of anthocyanins from Hibiscus sabdariffa L. using solid phase extraction-capillary electrophoresis-mass spectrometry (time-of-flight/ion trap). Electrophoresis 2008, 29, 2852–2861. [Google Scholar] [CrossRef]
- Liu, T.; Tian, X.; Li, Z.; Han, F.; Ji, B.; Zhao, Y.; Yu, Z. Metabolic profiling of Gegenqinlian decoction in rat plasma, urine, bile and feces after oral administration by ultra high performance liquid chromatography coupled with Fourier transform ion cyclotron resonance mass spectrometry. J. Chromatogr. B 2018, 1079, 69–84. [Google Scholar] [CrossRef]
- Altammar, K.A. Unveiling Therapeutic Powers of Indigenous Flora: Antimicrobial, Antioxidant, and Anticancer Properties of Horwoodia dicksoniae. Pharmaceuticals 2025, 18, 765. [Google Scholar] [CrossRef]
- Eltamany, E.E.; Elhady, S.S.; Ahmed, H.A.; Badr, J.M.; Noor, A.O.; Ahmed, S.A.; Nafie, M.S. Chemical profiling, antioxidant, cytotoxic activities and molecular docking simulation of Carrichtera annua DC. (Cruciferae). Antioxidants 2020, 9, 1286. [Google Scholar] [CrossRef]
- Zengin, G.; Mahomoodally, M.F.; Sinan, K.I.; Ak, G.; Etienne, O.K.; Sharmeen, J.B.; Brunetti, L.; Leone, S.; Di Simone, S.C.; Recinella, L. Chemical composition and biological properties of two Jatropha species: Different parts and different extraction methods. Antioxidants 2021, 10, 792. [Google Scholar] [CrossRef]
- Zhang, F.-X.; Cui, S.-S.; Li, M.; Tan, X.; Qiu, Z.-C.; Li, R.-M. Dissection of the potential pharmacological function of neohesperidin dihydrochalcone–a food additive–by in vivo substances profiling and network pharmacology. Food Funct. 2021, 12, 4325–4336. [Google Scholar] [CrossRef]
- Negri, G.; Santi, D.d.; Tabach, R. Chemical composition of hydroethanolic extracts from Siparuna guianensis, medicinal plant used as anxiolytics in Amazon region. Rev. Bras. Farmacogn. 2012, 22, 1024–1034. [Google Scholar] [CrossRef]
- Alotaibi, B.; Mokhtar, F.A.; El-Masry, T.A.; Elekhnawy, E.; Mostafa, S.A.; Abdelkader, D.H.; Elharty, M.E.; Saleh, A.; Negm, W.A. Antimicrobial activity of Brassica rapa L. flowers extract on gastrointestinal tract infections and antiulcer potential against indomethacin-induced gastric ulcer in rats supported by metabolomics profiling. J. Inflamm. Res. 2021, 14, 7411. [Google Scholar] [CrossRef]
- Amer, R.I.; Ezzat, S.M.; Aborehab, N.M.; Ragab, M.F.; Mohamed, D.; Hashad, A.; Attia, D.; Salama, M.M.; El Bishbishy, M.H. Downregulation of MMP1 expression mediates the anti-aging activity of Citrus sinensis peel extract nanoformulation in UV induced photoaging in mice. Biomed. Pharmacother. 2021, 138, 111537. [Google Scholar] [CrossRef]
- Rasheed, D.M.; El Zalabani, S.M.; Koheil, M.A.; El-Hefnawy, H.M.; Farag, M.A. Metabolite profiling driven analysis of Salsola species and their anti-acetylcholinesterase potential. Nat. Prod. Res. 2013, 27, 2320–2327. [Google Scholar] [CrossRef]
- Sun, J.; Liang, F.; Bin, Y.; Li, P.; Duan, C. Screening non-colored phenolics in red wines using liquid chromatography/ultraviolet and mass spectrometry/mass spectrometry libraries. Molecules 2007, 12, 679–693. [Google Scholar] [CrossRef]
- Xu, S.; Liu, Y.; Xiang, L.; Zhou, F.; Li, H.; Su, Y.; Xu, X.; Wang, Q. Metabolites identification of bioactive compounds daturataturin A, daturametelin I, N-trans-feruloyltyramine, and cannabisin F from the seeds of Datura metel in rats. Front. Pharmacol. 2018, 9, 731. [Google Scholar] [CrossRef]
- Mhlongo, M.I.; Piater, L.A.; Madala, N.E.; Steenkamp, P.A.; Dubery, I.A. Phenylpropanoid defences in Nicotiana tabacum cells: Overlapping metabolomes indicate common aspects to priming responses induced by lipopolysaccharides, chitosan and flagellin-22. PLoS ONE 2016, 11, e0151350. [Google Scholar] [CrossRef]
- Li, W.; Mei, S.; Zhou, H.; Farid, M.S.; Wu, T. Fingerprinting of Non-Volatile Metabolites During Ripening of Pixian Douban Using Metabolomics and Feature-Based Molecular Network Approaches. Soc. Sci. Res. Netw. 2023. [Google Scholar] [CrossRef]
- El Sayed, A.M.; Basam, S.M.; El-Naggar, E.-M.b.A.; Marzouk, H.S.; El-Hawary, S. LC–MS/MS and GC–MS profiling as well as the antimicrobial effect of leaves of selected Yucca species introduced to Egypt. Sci. Rep. 2020, 10, 17778. [Google Scholar] [CrossRef]
- Wang, S.-Y.; Liu, Y.; Li, X.-M.; Algradi, A.M.; Jiang, H.; Sun, Y.-P.; Guan, W.; Pan, J.; Kuang, H.-X.; Yang, B.-Y. Discovery of Active Ingredients Targeted TREM2 by SPR Biosensor-UPLC/MS Recognition System, and Investigating the Mechanism of Anti-Neuroinflammatory Activity on the Lignin-Amides from Datura metel Seeds. Molecules 2021, 26, 5946. [Google Scholar] [CrossRef]
- Chen, Y.; Yu, H.; Wu, H.; Pan, Y.; Wang, K.; Jin, Y.; Zhang, C. Characterization and quantification by LC-MS/MS of the chemical components of the heating products of the flavonoids extract in pollen typhae for transformation rule exploration. Molecules 2015, 20, 18352–18366. [Google Scholar] [CrossRef]
- Falcão, S.I.; Vale, N.; Gomes, P.; Domingues, M.R.; Freire, C.; Cardoso, S.M.; Vilas-Boas, M. Phenolic profiling of Portuguese propolis by LC–MS spectrometry: Uncommon propolis rich in flavonoid glycosides. Phytochem. Anal. 2013, 24, 309–318. [Google Scholar] [CrossRef]
- Chen, G.-L.; Munyao Mutie, F.; Xu, Y.-B.; Saleri, F.D.; Hu, G.-W.; Guo, M.-Q. Antioxidant, anti-inflammatory activities and polyphenol profile of Rhamnus prinoides. Pharmaceuticals 2020, 13, 55. [Google Scholar] [CrossRef]
- Sisó-Terraza, P.; Luis-Villarroya, A.; Fourcroy, P.; Briat, J.-F.; Abadía, A.; Gaymard, F.; Abadía, J.; Álvarez-Fernández, A. Accumulation and secretion of coumarinolignans and other coumarins in Arabidopsis thaliana roots in response to iron deficiency at high pH. Front. Plant Sci. 2016, 7, 1711. [Google Scholar] [CrossRef]
- Yang, Y.-Z.; Wang, T.; Chen, Q.-L.; Chen, H.-B.; He, Q.-S.; Zhang, Y.-Z. Identification of the Metabolites of Both Formononetin in Rat Hepatic S9 and Ononin in Rat Urine Samples and Preliminary Network Pharmacology Evaluation of Their Main Metabolites. Molecules 2023, 28, 7451. [Google Scholar] [CrossRef]
- Münger, L.H.; Boulos, S.; Nyström, L. UPLC-MS/MS based identification of dietary steryl glucosides by investigation of corresponding free sterols. Front. Chem. 2018, 6, 342. [Google Scholar] [CrossRef]
- Cosme, P.; Rodríguez, A.B.; Espino, J.; Garrido, M. Plant phenolics: Bioavailability as a key determinant of their potential health-promoting applications. Antioxidants 2020, 9, 1263. [Google Scholar] [CrossRef]
- Attard, E. A rapid microtitre plate Folin-Ciocalteu method for the assessment of polyphenols. Open Life Sci. 2013, 8, 48–53. [Google Scholar] [CrossRef]
- Kiranmai, M.; Kumar, C.M.; Mohammed Ibrahim, M.I. Comparison of total flavanoid content of Azadirachta indica root bark extracts prepared by different methods of extraction. Res. J. Pharm. Biol. Chem. Sci. 2011, 2, 254–261. [Google Scholar]
- Abdelhameed, R.F.; Habib, E.S.; Goda, M.S.; Fahim, J.R.; Hassanean, H.A.; Eltamany, E.E.; Ibrahim, A.K.; AboulMagd, A.M.; Fayez, S.; El-Kader, A.M.A. Thalassosterol, a new cytotoxic aromatase inhibitor ergosterol derivative from the Red Sea seagrass Thalassodendron ciliatum. Mar. Drugs 2020, 18, 354. [Google Scholar] [CrossRef]
- Abdel-Hamed, A.R.; Mehanna, E.T.; Hazem, R.M.; Badr, J.M.; Abo-Elmatty, D.M.; Abdel-Kader, M.S.; Goda, M.S. Plicosepalus acacia extract and its major constituents, methyl gallate and quercetin, potentiate therapeutic angiogenesis in diabetic hind limb ischemia: HPTLC quantification and LC-MS/MS metabolic profiling. Antioxidants 2021, 10, 1701. [Google Scholar] [CrossRef]
- Mosalam, E.M.; Abdel-Bar, H.M.; Elberri, A.I.; Abdallah, M.S.; Zidan, A.-A.A.; Batakoushy, H.A.; Abo Mansour, H.E. Enhanced neuroprotective effect of verapamil-loaded hyaluronic acid modified carbon quantum dots in an in-vitro model of amyloid-induced Alzheimer’s disease. Int. J. Biol. Macromol. 2024, 275, 133742. [Google Scholar] [CrossRef]
- Wang, H.; Xu, Y.S.; Wang, M.L.; Cheng, C.; Bian, R.; Yuan, H.; Wang, Y.; Guo, T.; Zhu, L.L.; Zhou, H. Protective effect of naringin against the LPS-induced apoptosis of PC12 cells: Implications for the treatment of neurodegenerative disorders. Int. J. Mol. Med. 2017, 39, 819–830. [Google Scholar] [CrossRef]
- Lu, Y.; Li, B.; Xu, A.; Liang, X.; Xu, T.; Jin, H.; Xie, Y.; Wang, R.; Liu, X.; Gao, X.; et al. NF-κB and AP-1 are required for the lipopolysaccharide-induced expression of MCP-1, CXCL1, and Cx43 in cultured rat dorsal spinal cord astrocytes. Front. Mol. Neurosci. 2022, 15, 859558. [Google Scholar] [CrossRef]
- Liu, Y.-C.; Gao, X.-X.; Chen, L.; You, X.-q. Rapamycin suppresses Aβ25–35-or LPS-induced neuronal inflammation via modulation of NF-κB signaling. Neuroscience 2017, 355, 188–199. [Google Scholar] [CrossRef]
- Saha, S.; Buttari, B.; Profumo, E.; Tucci, P.; Saso, L. A perspective on Nrf2 signaling pathway for neuroinflammation: A potential therapeutic target in Alzheimer’s and Parkinson’s diseases. Front. Cell. Neurosci. 2022, 15, 787258. [Google Scholar] [CrossRef]
- Daverey, A.; Agrawal, S.K. Curcumin protects against white matter injury through NF-κB and Nrf2 cross talk. J. Neurotrauma 2020, 37, 1255–1265. [Google Scholar] [CrossRef]
- Raza, S.; Khan, M.; Ahmad, A.; Ashafaq, M.; Islam, F.; Wagner, A.; Safhi, M. Neuroprotective effect of naringenin is mediated through suppression of NF-κB signaling pathway in experimental stroke. Neuroscience 2013, 230, 157–171. [Google Scholar] [CrossRef]
- Yang, Y.; Tan, X.; Xu, J.; Wang, T.; Liang, T.; Xu, X.; Ma, C.; Xu, Z.; Wang, W.; Li, H. Luteolin alleviates neuroinflammation via downregulating the TLR4/TRAF6/NF-κB pathway after intracerebral hemorrhage. Biomed. Pharmacother. 2020, 126, 110044. [Google Scholar] [CrossRef]
- Calkins, M.J.; Johnson, D.A.; Townsend, J.A.; Vargas, M.R.; Dowell, J.A.; Williamson, T.P.; Kraft, A.D.; Lee, J.-M.; Li, J.; Johnson, J.A. The Nrf2/ARE pathway as a potential therapeutic target in neurodegenerative disease. Antioxid. Redox Signal. 2009, 11, 497–508. [Google Scholar] [CrossRef]
- Wang, H.; Zhou, X.-M.; Wu, L.-Y.; Liu, G.-J.; Xu, W.-D.; Zhang, X.-S.; Gao, Y.-Y.; Tao, T.; Zhou, Y.; Lu, Y. Aucubin alleviates oxidative stress and inflammation via Nrf2-mediated signaling activity in experimental traumatic brain injury. J. Neuroinflamm. 2020, 17, 188. [Google Scholar] [CrossRef]
- Zhao, Y.; Song, W.; Wang, Z.; Wang, Z.; Jin, X.; Xu, J.; Bai, L.; Li, Y.; Cui, J.; Cai, L. Resveratrol attenuates testicular apoptosis in type 1 diabetic mice: Role of Akt-mediated Nrf2 activation and p62-dependent Keap1 degradation. Redox Biol. 2018, 14, 609–617. [Google Scholar] [CrossRef]
- Mitamura, Y.; Murai, M.; Mitoma, C.; Furue, M. NRF2 activation inhibits both TGF-β1-and IL-13-mediated periostin expression in fibroblasts: Benefit of cinnamaldehyde for antifibrotic treatment. Oxidative Med. Cell. Longev. 2018, 2018, 2475047. [Google Scholar] [CrossRef]
- Huang, Z.; Ji, H.; Shi, J.; Zhu, X.; Zhi, Z. Engeletin attenuates Aβ1–42-induced oxidative stress and neuroinflammation by keap1/Nrf2 pathway. Inflammation 2020, 43, 1759–1771. [Google Scholar] [CrossRef]
- Evans, J.A.; Mendonca, P.; Soliman, K.F. Involvement of Nrf2 Activation and NF-kB Pathway Inhibition in the Antioxidant and Anti-Inflammatory Effects of Hesperetin in Activated BV-2 Microglial Cells. Brain Sci. 2023, 13, 1144. [Google Scholar] [CrossRef]
- Zamanian, M.Y.; Soltani, A.; Khodarahmi, Z.; Alameri, A.A.; Alwan, A.M.; Ramírez-Coronel, A.A.; Obaid, R.F.; Abosaooda, M.; Heidari, M.; Golmohammadi, M. Targeting Nrf2 signaling pathway by quercetin in the prevention and treatment of neurological disorders: An overview and update on new developments. Fundam. Clin. Pharmacol. 2023, 37, 1050–1064. [Google Scholar] [CrossRef]
- Wang, K.; Chen, Z.; Huang, L.; Meng, B.; Zhou, X.; Wen, X.; Ren, D. Naringenin reduces oxidative stress and improves mitochondrial dysfunction via activation of the Nrf2/ARE signaling pathway in neurons. Int. J. Mol. Med. 2017, 40, 1582–1590. [Google Scholar] [CrossRef]
- Abdelhameed, R.F.A.; Nafie, M.S.; Hal, D.M.; Nasr, A.M.; Swidan, S.A.; Abdel-Kader, M.S.; Ibrahim, A.K.; Ahmed, S.A.; Badr, J.M.; Eltamany, E.E. Comparative Cytotoxic Evaluation of Zygophyllum album Root and Aerial Parts of Different Extracts and Their Biosynthesized Silver Nanoparticles on Lung A549 and Prostate PC-3 Cancer Cell Lines. Pharmaceuticals 2022, 15, 1334. [Google Scholar] [CrossRef]
- Boussadia, M.I.; Gueroui, Y.; Abdaoui, M.Z.; Ayad, D.; Mdjabra, A.; Boudebbouz, A.; Boumaaza, B.; Boudalia, S. Phytochemical, antioxidant identification, and antibacterial activity of a traditional medicinal plant, Cornulaca monacantha Del. Vegetos 2024, 37, 1925–1937. [Google Scholar] [CrossRef]
- Li, B.; Ming, H.; Qin, S.; Nice, E.C.; Dong, J.; Du, Z.; Huang, C. Redox regulation: Mechanisms, biology and therapeutic targets in diseases. Signal Transduct. Target. Ther. 2025, 10, 72. [Google Scholar] [CrossRef] [PubMed]
- Cuadrado, A.; Rojo, A.I.; Wells, G.; Hayes, J.D.; Cousin, S.P.; Rumsey, W.L.; Attucks, O.C.; Franklin, S.; Levonen, A.-L.; Kensler, T.W.; et al. Therapeutic targeting of the NRF2 and KEAP1 partnership in chronic diseases. Nat. Rev. Drug Discov. 2019, 18, 295–317. [Google Scholar] [CrossRef] [PubMed]
- Lemmadi, S.; Adoui, F.; Dumas, E.; Karoune, S.; Santerre, C.; Gharsallaoui, A. Optimization of Ultrasound-Assisted Extraction of Phenolic Compounds from the Aerial Part of Plants in the Chenopodiaceae Family Using a Box–Behnken Design. Appl. Sci. 2025, 15, 4688. [Google Scholar] [CrossRef]
- Tee, T.-X.; Kee, L.T.; Chai, T.-T.; Yam, H.C.; Reza, H.M.; Wong, F.-C.; Law, J.X.; Tan, S.-A. Plant-Derived Nrf2 Activators to Enhance Liver Antioxidative and Regenerative Potentials. Rev. Bras. Farmacogn. 2025, 35, 61–77. [Google Scholar] [CrossRef]
- Khan, M.Z.; Li, S.; Ullah, A.; Li, Y.; Abohashrh, M.; Alzahrani, F.M.; Alzahrani, K.J.; Alsharif, K.F.; Wang, C.; Ma, Q. Therapeutic Agents Targeting the Nrf2 Signaling Pathway to Combat Oxidative Stress and Intestinal Inflammation in Veterinary and Translational Medicine. Vet. Sci. 2026, 13, 25. [Google Scholar] [CrossRef]
- Tang, M.-B.; Liu, Y.-X.; Hu, Z.-W.; Luo, H.-Y.; Zhang, S.; Shi, C.-H.; Xu, Y.-M. Study insights in the role of PGC-1α in neurological diseases: Mechanisms and therapeutic potential. Front. Aging Neurosci. 2025, 16, 1454735. [Google Scholar] [CrossRef]
- Luo, W.; Bu, W.; Zhang, G.; Dong, Y.; Wang, Y.; Wang, J.; Liu, C.; Hu, X.; Jia, Y.; Ren, H. Downregulation of Nrf2 deteriorates cognitive impairment in APP/PS1 mice by inhibiting mitochondrial biogenesis through the PPARγ/PGC1α signaling pathway. Behav. Brain Res. 2025, 495, 115805. [Google Scholar] [CrossRef] [PubMed]
- Deng, X.; He, J.; Deng, W.; Deng, W.; Zhu, X.; Luo, H.; Wang, D. Celastrol ameliorates lipopolysaccharide (LPS)-induced acute lung injury by improving mitochondrial function through AMPK/PGC-1α/Nrf1-dependent mechanism. Free Radic. Biol. Med. 2025, 227, 210–220. [Google Scholar] [CrossRef] [PubMed]
- Li, H.; Wang, X.; Deng, Y.; Liu, M.; Li, W.; Wang, J.; Zeng, C.; Dai, H. Resveratrol alleviates lipopolysaccharide-induced acute lung injury through blocking the excessive autophagy/mitophagy via SIRT1/PGC-1α and TNF/NF-κB/JNK pathways. Int. J. Biol. Macromol. 2025, 321, 146500. [Google Scholar] [CrossRef]
- Boly, R.; Lamkami, T.; Lompo, M.; Dubois, J.; Guissou, I. DPPH free radical scavenging activity of two extracts from Agelanthus dodoneifolius (Loranthaceae) leaves. Int. J. Toxicol. Pharmacol. Res. 2016, 8, 29–34. [Google Scholar]
- Chen, Z.; Bertin, R.; Froldi, G. EC50 estimation of antioxidant activity in DPPH assay using several statistical programs. Food Chem. 2013, 138, 414–420. [Google Scholar] [CrossRef]
- Benzie, I.F.; Strain, J.J. The ferric reducing ability of plasma (FRAP) as a measure of “antioxidant power”: The FRAP assay. Anal. Biochem. 1996, 239, 70–76. [Google Scholar] [CrossRef]
- Donia, M.S.M.; Badawy, A.M.; Qwaider, N.G.; El-Ayouty, M.M.; Mosalam, E.M.; Ghoneim, M.E.-S.; Bagalagel, A.A.; Murshid, S.S.A.; Elhady, S.S.; Ahmed, S.A. Neuroprotective effects of Artemisia monosperma against LPS-induced neuroinflammation via TLR4 modulation and myeloperoxidase inhibition: Metabolomic and molecular insights. Future J. Pharm. Sci. 2025, 11, 114. [Google Scholar] [CrossRef]








| No. | Ret. Time (min) | Deduced Compound | Molecular Formula | Adduct | Calc. m/z | Observed m/z | Mass Error (ppm) | MS/MS Fragments | Ref. |
|---|---|---|---|---|---|---|---|---|---|
| 1 | 1.152 | Succinic acid | C4H6O4 | [M − H]− | 117.0193 | 117.0181 | −10.25 | 117, 99, 73 | [19] |
| 2 | 1.2013 | Citric acid | C6H8O7 | [M − H]− | 191.0192 | 191.0204 | 6.28 | 173, 111 | [20] |
| 3 | 1.2013 | D-(+)-Malic acid | C4H6O5 | [M − H]− | 133.013 | 133.0132 | 1.5 | 115, 89, 71 | [21] |
| 4 | 1.2141 | Citraconic acid | C5H6O4 | [M − H]− | 129.0184 | 129.019 | 4.65 | 129 | [22] |
| 5 | 1.2141 | Gluconic acid | C6H12O7 | [M − H]− | 195.051 | 195.0526 | 8.2 | 195, 129, 87, 75 | [23] |
| 6 | 1.2919 | N, N-Dimethylglycine | C4H9NO2 | [M + H]+ | 104.0711 | 104.072 | 8.64 | 104, 58 | [24] |
| 7 | 1.4573 | Mannitol | C6H14O6 | [M − H]− | 181.0718 | 181.0721 | 1.65 | 181, 163, 89, 59 | [25] |
| 8 | 1.4693 | P-Hydroxybenzoic acid | C7H6O3 | [M − H]− | 137.0247 | 137.0239 | −5.83 | 137, 93 | [26] |
| 9 | 1.5175 | D-(+)-Galacturonic acid | C6H10O7 | [M − H]− | 193.0325 | 193.0345 | 10.36 | 193 | [24] |
| 10 | 1.7972 | L-5-Oxoproline | C5H7NO3 | [M + H]+ | 130.0497 | 130.0493 | −3.07 | 130, 84, 71, 70, 56 | [26] |
| 11 | 1.834 | Guanosine | C10H13N5O5 | [M + H]+ | 284.0991 | 284.096 | 10.91 | 284, 152, 135, 110 | [24] |
| 12 | 1.883 | Adenosine | C10H13N5O4 | [M + H]+ | 268.1028 | 268.1011 | −6.34 | 268, 136, 119 | [26] |
| 13 | 2.17 | Ferulic acid | C10H10O4 | [M − H]− | 193.0501 | 193.05 | −0.51 | 193, 178, 134 | [20] |
| 14 | 2.4883 | Chlorogenic acid | C16H18O9 | [M + H]+ | 355.098 | 355.0981 | 0.28 | 192 | [27] |
| 15 | 4.1228 | Esculin | C15H16O9 | [M − H]− | 339.0716 | 339.0725 | 2.65 | 339, 177 | [28] |
| 16 | 4.2497 | 2-Hydroxyphenyl acetic acid | C8H8O3 | [M − H]− | 151.04 | 151.0385 | −9.93 | 151 | [29] |
| 17 | 5.0213 | Protocatechuic acid | C7H6O4 | [M − H]− | 153.0193 | 153.0181 | −7.94 | 153, 109 | [28] |
| 18 | 5.6675 | Procyanidin B2 | C30H26O12 | [M + H]+ | 579.1487 | 579.1486 | −0.17 | 579 | [30] |
| 19 | 5.9511 | Acacetin-7-O-rutinoside | C28H32O14 | [M − H]− | 591.16 | 591.161 | 1.69 | 591 | [31] |
| 20 | 6.4682 | Kynurenic acid | C10H7NO3 | [M − H]− | 188.03479 | 188.0337 | −5.31 | 188, 144 | [32] |
| 21 | 6.4763 | Cyanidin-3-O-rutinoside | C27H31O15 | [M]+ | 595.1657 | 595.1629 | −4.70 | 595, 287 | [33,34] |
| 22 | 6.5704 | Kaempferol-7-neohesperidoside | C27H30O15 | [M − H]− | 593.15 | 593.1537 | 6.23 | 593 | [35] |
| 23 | 6.7049 | Quercetin | C15H10O7 | [M + H]+ | 303.0505 | 303.0496 | −2.96 | 303 | [36] |
| 24 | 6.7609 | Rosmarinic acid | C18H16O8 | [M − H]− | 359.0767 | 359.0761 | −1.67 | 359 | [28] |
| 25 | 6.8464 | Vitexin | C21H20O10 | [M + H]+ | 433.1134 | 433.1115 | −4.38 | 415, 397, 379, 313, 283 | [37] |
| 26 | 6.902 | Syringaldehyde | C9H10O4 | [M − H]− | 181.0501 | 181.0491 | −5.52 | 181, 151 | [36] |
| 27 | 6.9912 | Neohesperidin dihydrochalcone | C28H36O15 | [M − H]− | 611.1976 | 611.1998 | 3.59 | 449 | [38] |
| 28 | 7.0864 | Quercetin-4′-glucoside | C21H20O12 | [M + H]+ | 465.1033 | 465.1021 | −2.58 | 465, 303 | [36] |
| 29 | 7.1125 | Isorhamnetin-3-O-rutinoside | C28H32O16 | [M − H]− | 623.1631 | 623.1594 | −5.93 | 623, 315, 300, 271 | [24] |
| 30 | 7.161 | Kaempferol-3,7-O-bis-α-L-rhamnoside | C27H30O14 | [M − H]− | 577.1557 | 577.1564 | 1.21 | 431, 285 | [39] |
| 31 | 7.5128 | Kaempferol-3-O-α-L-rhamnoside | C21H20O10 | [M − H]− | 431.1 | 431.1025 | 5.79 | 431 | [40] |
| 32 | 7.7175 | Isorhamnetin-3-O-glucoside | C22H22O12 | [M + H]+ | 479.1193 | 479.1183 | −2.08 | 479, 317, 285, 273, 153 | [41] |
| 33 | 7.87 | Quercitrin | C21H20O11 | [M − H]− | 447.0927 | 447.0918 | −2.01 | 447 | [37] |
| 34 | 8.3578 | N-trans-caffeoyl tyramine | C17H17NO4 | [M − H]− | 298.107 | 298.1082 | 4.02 | 298, 178, 161, 136 | [42] |
| 35 | 9.4266 | Hesperetin | C16H14O6 | [M − H]− | 301.0712 | 301.0712 | 0 | 301, 271 | [43] |
| 36 | 9.4676 | N-trans-feruloyl tyramine | C18H19NO4 | [M + H]+ | 314.1387 | 314.1381 | −1.90 | 314, 177, 163 | [44] |
| 37 | 9.5229 | 3′-Methoxy-4′,5,7-trihydroxyflavonol | C16H12O7 | [M − H]− | 315.0505 | 315.0527 | 6.98 | 315, 300 | [36] |
| 38 | 9.5586 | N-cis-feruloyl tyramine | C18H19NO4 | [M − H]− | 312.1236 | 312.1242 | 1.92 | 312, 297, 178 | [45] |
| 39 | 9.8094 | N-trans-feruloyl-3′–methoxytyramine | C19H21NO5 | [M − H]− | 342.1351 | 342.1347 | −1.16 | 342, 178, 148, 135 | [46] |
| 40 | 10.217 | Kaempferol-3-O-α-L-arabinoside | C20H18O10 | [M − H]− | 417.1502 | 417.1536 | 8.15 | 417, 415 | [47] |
| 41 | 10.22 | (2aS,3aS) lyciumamide D | C36H36N2O8 | [M + H]+ | 625.2553 | 625.2552 | −0.15 | 625 | [48] |
| 42 | 10.29 | Naringenin | C15H12O5 | [M − H]− | 271.0633 | 271.0632 | −0.36 | 271 | [28,49] |
| 43 | 10.852 | Luteolin | C15H10O6 | [M − H]− | 285.0399 | 285.0412 | 4.56 | 285 | [50,51] |
| 44 | 11.175 | Sinapyl aldehyde | C11H12O4 | [M − H]− | 207.0652 | 207.0664 | 5.79 | 207, 192, 177, 133 | [52] |
| 45 | 11.306 | Formononetin | C16H12O4 | [M + H]+ | 269.08 | 269.0774 | −9.66 | 269 | [53] |
| 46 | 11.4 | Cannabisin F | C36H36N2O8 | [M + H]+ | 625.2556 | 625.2538 | −2.87 | 625 | [48] |
| 47 | 11.465 | 7-hydroxy-3-(2-hydroxyphenyl)-5-methoxy-6-(methoxymethyl)-4H-chromen-4-one (Cornulacin) | C18H16O6 | [M + H]+ | 329.1022 | 329.1023 | 0.3 | 329, 298, 297, 227 | [15] |
| 48 | 11.765 | Apigenin | C15H10O5 | [M − H]− | 269.045 | 269.0461 | 4.08 | 269, 225, 181 | [51] |
| 49 | 18.67 | Stigmasterol | C29H48O | [M + H]+ | 413.3633 | 413.3631 | −0.48 | 413, 395 | [54] |
| Gene | Forward | Reverse |
|---|---|---|
| Nrf2 | AACAGAACGGCCCTAAAGCA | CCTTGAGCTGGTGACAGAGG |
| NF-κB | ATGTAGTTGCCACGCACAGA | GGGGACAGCGACACCTTTTA |
| Hmox1 | GTCAGGTGTCCAGAGAAGGC | TGTTTGAACTTGGTGGGGCT |
| NQO-1 | CGAGGATGGGAAAAGGAGTAAGT | TGCCCTGAGGCTCCTAATCT |
| β-actin | TGGTGGGAATGGGTCAGAAG | TGTAGAAGGTGTGGTGCCAG |
Disclaimer/Publisher’s Note: The statements, opinions and data contained in all publications are solely those of the individual author(s) and contributor(s) and not of MDPI and/or the editor(s). MDPI and/or the editor(s) disclaim responsibility for any injury to people or property resulting from any ideas, methods, instructions or products referred to in the content. |
© 2026 by the authors. Licensee MDPI, Basel, Switzerland. This article is an open access article distributed under the terms and conditions of the Creative Commons Attribution (CC BY) license.
Share and Cite
Eltamany, E.E.; Badawy, A.M.; Hussien, R.M.; El-Ayouty, M.M.; Sallam, A.S.; Mehanna, E.T.; Elhady, S.S.; Ahmed, S.A.; Mosalam, E.M. Molecular Insights of Neuroprotective Effect of Cornulaca monacantha Extract Against LPS-Induced Neuroinflammation Supported by Metabolic Profiling and Protein Interaction Analysis. Int. J. Mol. Sci. 2026, 27, 2263. https://doi.org/10.3390/ijms27052263
Eltamany EE, Badawy AM, Hussien RM, El-Ayouty MM, Sallam AS, Mehanna ET, Elhady SS, Ahmed SA, Mosalam EM. Molecular Insights of Neuroprotective Effect of Cornulaca monacantha Extract Against LPS-Induced Neuroinflammation Supported by Metabolic Profiling and Protein Interaction Analysis. International Journal of Molecular Sciences. 2026; 27(5):2263. https://doi.org/10.3390/ijms27052263
Chicago/Turabian StyleEltamany, Enas E., Ahmed M. Badawy, Rodina M. Hussien, Mayada M. El-Ayouty, Amany Said Sallam, Eman T. Mehanna, Sameh S. Elhady, Safwat A. Ahmed, and Esraa M. Mosalam. 2026. "Molecular Insights of Neuroprotective Effect of Cornulaca monacantha Extract Against LPS-Induced Neuroinflammation Supported by Metabolic Profiling and Protein Interaction Analysis" International Journal of Molecular Sciences 27, no. 5: 2263. https://doi.org/10.3390/ijms27052263
APA StyleEltamany, E. E., Badawy, A. M., Hussien, R. M., El-Ayouty, M. M., Sallam, A. S., Mehanna, E. T., Elhady, S. S., Ahmed, S. A., & Mosalam, E. M. (2026). Molecular Insights of Neuroprotective Effect of Cornulaca monacantha Extract Against LPS-Induced Neuroinflammation Supported by Metabolic Profiling and Protein Interaction Analysis. International Journal of Molecular Sciences, 27(5), 2263. https://doi.org/10.3390/ijms27052263

