Phosphoproteomic Landscape of HDLBP: Insights into Function and Disease Associations
Abstract
1. Introduction
2. Results
2.1. Assembly and Analysis of Global Phosphoproteomic Data of HDLBP
2.2. Identification of Predominantly Detected Phosphosites of HDLBP
2.3. Sequence Coverage of HDLBP Protein
2.4. Analysis of Phosphoproteins and Phosphosites Co-Differentially Regulated with Predominant HDLBP Sites
2.5. Co-Occurrence Analysis of HDLBP Phosphosites
2.6. Analysis of Co-Regulated Phosphosites in Kinases and Phosphatases
2.7. Potential Upstream Kinases of Predominant HDLBP Phosphosites

2.8. Identification of Protein and Phosphosite-Specific Interactors of HDLBP
2.9. Inferring the Biological Process Associated with HDLBP-Predominant Sites
2.10. HDLBP Phospho-Network in Lipid Homeostasis
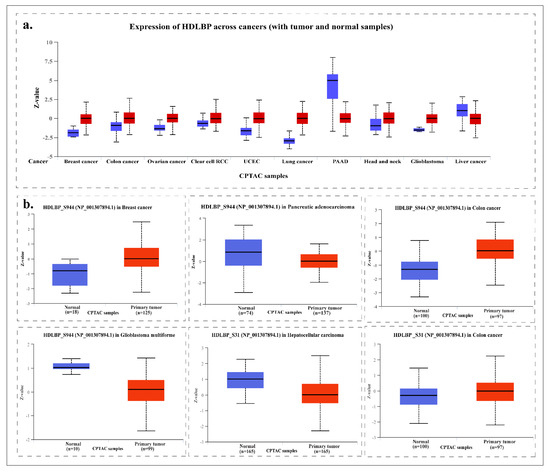
2.11. HDLBP in Different Cancers
3. Discussion
4. Materials and Methods
4.1. Assembly and Analysis of Global Phosphoproteomic Datasets with HDLBP Phosphosites
4.2. Identification of Predominant Phosphosites of HDLBP
4.3. Sequence Coverage and Peptide Map Analysis of HDLBP
4.4. Analysis of Phosphosites of Other Proteins That Are Co-Differentially Regulated with HDLBP Predominant Sites
4.5. Co-Occurrence Analysis of HDLBP-Predominant Sites
4.6. Analysis of Potential Upstream Kinases and Interactors of HDLBP
4.7. Pan-Cancer Analysis of HDLBP
4.8. Data Visualization Tools
5. Conclusions
Limitations and Future Directions
Supplementary Materials
Author Contributions
Funding
Institutional Review Board Statement
Informed Consent Statement
Data Availability Statement
Acknowledgments
Conflicts of Interest
References
- Pang, K.; Wang, W.; Qin, J.-X.; Shi, Z.-D.; Hao, L.; Ma, Y.-Y.; Xu, H.; Wu, Z.-X.; Pan, D.; Chen, Z.-S.; et al. Role of Protein Phosphorylation in Cell Signaling, Disease, and the Intervention Therapy. MedComm (2020) 2022, 3, e175. [Google Scholar] [CrossRef]
- Gerritsen, J.S.; White, F.M. Phosphoproteomics: A Valuable Tool for Uncovering Molecular Signaling in Cancer Cells. Expert Rev. Proteom. 2021, 18, 661–674. [Google Scholar] [CrossRef]
- Carter, A.M.; Tan, C.; Pozo, K.; Telange, R.; Molinaro, R.; Guo, A.; De Rosa, E.; Martinez, J.O.; Zhang, S.; Kumar, N.; et al. Phosphoprotein-Based Biomarkers as Predictors for Cancer Therapy. Proc. Natl. Acad. Sci. USA 2020, 117, 18401–18411. [Google Scholar] [CrossRef]
- Ficarro, S.B.; McCleland, M.L.; Stukenberg, P.T.; Burke, D.J.; Ross, M.M.; Shabanowitz, J.; Hunt, D.F.; White, F.M. Phosphoproteome Analysis by Mass Spectrometry and Its Application to Saccharomyces Cerevisiae. Nat. Biotechnol. 2002, 20, 301–305. [Google Scholar] [CrossRef] [PubMed]
- Shaji, V.; Rafi, A.; Ahmed, M.; Gopalakrishnan, A.P.; Soman, S.; Revikumar, A.; Prasad, G.; Jayanandan, A.; Raju, R. Analysis of Phosphomotifs Coupled to Phosphoproteome and Interactome Unveils Potential Human Kinase Substrate Proteins in SARS-CoV-2. Front. Cell Infect. Microbiol. 2025, 15, 1554760. [Google Scholar] [CrossRef] [PubMed]
- Wu, X.; Yang, Z.; Zou, J.; Gao, H.; Shao, Z.; Li, C.; Lei, P. Protein Kinases in Neurodegenerative Diseases: Current Understandings and Implications for Drug Discovery. Signal Transduct. Target. Ther. 2025, 10, 146. [Google Scholar] [CrossRef] [PubMed]
- Krug, K.; Mertins, P.; Zhang, B.; Hornbeck, P.; Raju, R.; Ahmad, R.; Szucs, M.; Mundt, F.; Forestier, D.; Jane-Valbuena, J.; et al. A Curated Resource for Phosphosite-Specific Signature Analysis. Mol. Cell Proteom. 2019, 18, 576–593. [Google Scholar] [CrossRef]
- Graham, D.L.; Oram, J.F. Identification and Characterization of a High Density Lipoprotein-Binding Protein in Cell Membranes by Ligand Blotting. J. Biol. Chem. 1987, 262, 7439–7442. [Google Scholar] [CrossRef]
- Thul, P.J.; Lindskog, C. The Human Protein Atlas: A Spatial Map of the Human Proteome. Protein Sci. 2018, 27, 233–244. [Google Scholar] [CrossRef]
- Xia, Y.R.; Klisak, I.; Sparkes, R.S.; Oram, J.; Lusis, A.J. Localization of the Gene for High-Density Lipoprotein Binding Protein (HDLBP) to Human Chromosome 2q37. Genomics 1993, 16, 524–525. [Google Scholar] [CrossRef]
- Neu-Yilik, G.; Zorbas, H.; Gloe, T.R.; Raabe, H.M.; Hopp-Christensen, T.A.; Müller, P.K. Vigilin Is a Cytoplasmic Protein. A Study on Its Expression in Primary Cells and in Established Cell Lines of Different Species. Eur. J. Biochem. 1993, 213, 727–736. [Google Scholar] [CrossRef] [PubMed]
- UniProt Consortium UniProt: The Universal Protein Knowledgebase in 2025. Nucleic Acids Res 2025, 53, D609–D617. [CrossRef]
- Hornbeck, P.V.; Kornhauser, J.M.; Tkachev, S.; Zhang, B.; Skrzypek, E.; Murray, B.; Latham, V.; Sullivan, M. PhosphoSitePlus: A Comprehensive Resource for Investigating the Structure and Function of Experimentally Determined Post-Translational Modifications in Man and Mouse. Nucleic Acids Res. 2012, 40, D261–D270. [Google Scholar] [CrossRef] [PubMed]
- McKnight, G.L.; Reasoner, J.; Gilbert, T.; Sundquist, K.O.; Hokland, B.; McKernan, P.A.; Champagne, J.; Johnson, C.J.; Bailey, M.C.; Holly, R. Cloning and Expression of a Cellular High Density Lipoprotein-Binding Protein That Is up-Regulated by Cholesterol Loading of Cells. J. Biol. Chem. 1992, 267, 12131–12141. [Google Scholar] [CrossRef] [PubMed]
- Siomi, H.; Matunis, M.J.; Michael, W.M.; Dreyfuss, G. The Pre-mRNA Binding K Protein Contains a Novel Evolutionarily Conserved Motif. Nucleic Acids Res. 1993, 21, 1193–1198. [Google Scholar] [CrossRef]
- Schmidt, C.; Henkel, B.; Pöschl, E.; Zorbas, H.; Purschke, W.G.; Gloe, T.R.; Müller, P.K. Complete cDNA Sequence of Chicken Vigilin, a Novel Protein with Amplified and Evolutionary Conserved Domains. Eur. J. Biochem. 1992, 206, 625–634. [Google Scholar] [CrossRef]
- Musco, G.; Stier, G.; Joseph, C.; Castiglione Morelli, M.A.; Nilges, M.; Gibson, T.J.; Pastore, A. Three-Dimensional Structure and Stability of the KH Domain: Molecular Insights into the Fragile X Syndrome. Cell 1996, 85, 237–245. [Google Scholar] [CrossRef]
- Feicht, J.; Jansen, R.-P. The High-Density Lipoprotein Binding Protein HDLBP Is an Unusual RNA-Binding Protein with Multiple Roles in Cancer and Disease. RNA Biol. 2024, 21, 1–10. [Google Scholar] [CrossRef]
- Zinnall, U.; Milek, M.; Minia, I.; Vieira-Vieira, C.H.; Müller, S.; Mastrobuoni, G.; Hazapis, O.-G.; Del Giudice, S.; Schwefel, D.; Bley, N.; et al. HDLBP Binds ER-Targeted mRNAs by Multivalent Interactions to Promote Protein Synthesis of Transmembrane and Secreted Proteins. Nat. Commun. 2022, 13, 2727. [Google Scholar] [CrossRef]
- Mushtaq, A.; Mir, U.S.; Altaf, M. Multifaceted Functions of RNA-Binding Protein Vigilin in Gene Silencing, Genome Stability, and Autism-Related Disorders. J. Biol. Chem. 2023, 299, 102988. [Google Scholar] [CrossRef]
- Zhou, J.; Wang, Q.; Chen, L.-L.; Carmichael, G.G. On the Mechanism of Induction of Heterochromatin by the RNA-Binding Protein Vigilin. RNA 2008, 14, 1773–1781. [Google Scholar] [CrossRef] [PubMed]
- Xu, L.; Zhou, B.; Jin, K.; Ge, T.; Deng, M.; Ding, H.; Xu, X. HDLBP Promotes Glycolysis and CD8 T Cell Exhaustion in Lung Adenocarcinoma by Stabilizing GJB2 RNA. Am. J. Respir. Cell Mol. Biol. 2025, 73, 780–789. [Google Scholar] [CrossRef] [PubMed]
- Fidge, N.H. High Density Lipoprotein Receptors, Binding Proteins, and Ligands. J. Lipid Res. 1999, 40, 187–201. [Google Scholar] [CrossRef] [PubMed]
- Mobin, M.B.; Gerstberger, S.; Teupser, D.; Campana, B.; Charisse, K.; Heim, M.H.; Manoharan, M.; Tuschl, T.; Stoffel, M. The RNA-Binding Protein Vigilin Regulates VLDL Secretion through Modulation of Apob mRNA Translation. Nat. Commun. 2016, 7, 12848. [Google Scholar] [CrossRef]
- Yang, W.L.; Wei, L.; Huang, W.Q.; Li, R.; Shen, W.Y.; Liu, J.Y.; Xu, J.M.; Li, B.; Qin, Y. Vigilin Is Overexpressed in Hepatocellular Carcinoma and Is Required for HCC Cell Proliferation and Tumor Growth. Oncol. Rep. 2014, 31, 2328–2334. [Google Scholar] [CrossRef]
- Woo, H.-H.; Yi, X.; Lamb, T.; Menzl, I.; Baker, T.; Shapiro, D.J.; Chambers, S.K. Posttranscriptional Suppression of Proto-Oncogene c-Fms Expression by Vigilin in Breast Cancer. Mol. Cell Biol. 2011, 31, 215–225. [Google Scholar] [CrossRef]
- Yuan, J.; Lv, T.; Yang, J.; Wu, Z.; Yan, L.; Yang, J.; Shi, Y.; Jiang, L. HDLBP Promotes Hepatocellular Carcinoma Proliferation and Sorafenib Resistance by Suppressing Trim71-Dependent RAF1 Degradation. Cell Mol. Gastroenterol. Hepatol. 2023, 15, 307–325. [Google Scholar] [CrossRef]
- Yuan, J.; Lv, T.; Yang, J.; Wu, Z.; Yan, L.; Yang, J.; Shi, Y.; Jiang, L. The Lipid Transporter HDLBP Promotes Hepatocellular Carcinoma Metastasis through BRAF-Dependent Epithelial-Mesenchymal Transition. Cancer Lett. 2022, 549, 215921. [Google Scholar] [CrossRef]
- Chiu, D.S.; Oram, J.F.; LeBoeuf, R.C.; Alpers, C.E.; O’Brien, K.D. High-Density Lipoprotein-Binding Protein (HBP)/vigilin Is Expressed in Human Atherosclerotic Lesions and Colocalizes with Apolipoprotein E. Arterioscler. Thromb. Vasc. Biol. 1997, 17, 2350–2358. [Google Scholar] [CrossRef]
- Felder, B.; Radlwimmer, B.; Benner, A.; Mincheva, A.; Tödt, G.; Beyer, K.S.; Schuster, C.; Bölte, S.; Schmötzer, G.; Klauck, S.M.; et al. FARP2, HDLBP and PASK Are Downregulated in a Patient with Autism and 2q37.3 Deletion Syndrome. Am. J. Med. Genet. A 2009, 149A, 952–959. [Google Scholar] [CrossRef]
- Brugier, A.; Hafirrassou, M.L.; Pourcelot, M.; Baldaccini, M.; Kril, V.; Couture, L.; Kümmerer, B.M.; Gallois-Montbrun, S.; Bonnet-Madin, L.; Vidalain, P.-O.; et al. RACK1 Associates with RNA-Binding Proteins Vigilin and SERBP1 to Facilitate Dengue Virus Replication. J. Virol. 2022, 96, e0196221. [Google Scholar] [CrossRef] [PubMed]
- Lee, S.; Lee, Y.-S.; Choi, Y.; Son, A.; Park, Y.; Lee, K.-M.; Kim, J.; Kim, J.-S.; Kim, V.N. The SARS-CoV-2 RNA Interactome. Mol. Cell 2021, 81, 2838–2850.e6. [Google Scholar] [CrossRef] [PubMed]
- Ooi, Y.S.; Majzoub, K.; Flynn, R.A.; Mata, M.A.; Diep, J.; Li, J.K.; van Buuren, N.; Rumachik, N.; Johnson, A.G.; Puschnik, A.S.; et al. An RNA-Centric Dissection of Host Complexes Controlling Flavivirus Infection. Nat. Microbiol. 2019, 4, 2369–2382. [Google Scholar] [CrossRef] [PubMed]
- Vashist, S.; Urena, L.; Chaudhry, Y.; Goodfellow, I. Identification of RNA-Protein Interaction Networks Involved in the Norovirus Life Cycle. J. Virol. 2012, 86, 11977–11990. [Google Scholar] [CrossRef]
- Wang, G.; Hussain, M.; Qi, Z.; Asgari, S. Role of Vigilin and RACK1 in Dengue Virus- Interactions. mSphere 2025, 10, e0048224. [Google Scholar] [CrossRef]
- Shao, X.; Grams, C.; Gao, Y. Sequence Coverage Visualizer: A Web Application for Protein Sequence Coverage 3D Visualization. J. Proteome Res. 2023, 22, 343–349. [Google Scholar] [CrossRef]
- Meyer, B.; Papasotiriou, D.G.; Karas, M. 100% Protein Sequence Coverage: A Modern Form of Surrealism in Proteomics. Amino Acids 2011, 41, 291–310. [Google Scholar] [CrossRef]
- Li, Y.; Zhou, X.; Zhai, Z.; Li, T. Co-Occurring Protein Phosphorylation Are Functionally Associated. PLoS Comput. Biol. 2017, 13, e1005502. [Google Scholar] [CrossRef]
- Sheela, A.; Mahin, A.; Ummar, S.; Vattoth, N.N.; Dcunha, L.; Gopalakrishnan, A.P.; Raju, R. Phosphoproteomic Analysis of CARMIL1 Reveals Novel Regulatory Mechanisms and Upstream Kinases Involved in Actin Dynamics and Cell Migration. Cytoskeleton 2025. [Google Scholar] [CrossRef]
- Ardito, F.; Giuliani, M.; Perrone, D.; Troiano, G.; Lo Muzio, L. The Crucial Role of Protein Phosphorylation in Cell Signaling and Its Use as Targeted Therapy (Review). Int. J. Mol. Med. 2017, 40, 271–280. [Google Scholar] [CrossRef]
- Blasius, M.; Forment, J.V.; Thakkar, N.; Wagner, S.A.; Choudhary, C.; Jackson, S.P. A Phospho-Proteomic Screen Identifies Substrates of the Checkpoint Kinase Chk1. Genome Biol. 2011, 12, R78. [Google Scholar] [CrossRef]
- Johnson, J.L.; Yaron, T.M.; Huntsman, E.M.; Kerelsky, A.; Song, J.; Regev, A.; Lin, T.-Y.; Liberatore, K.; Cizin, D.M.; Cohen, B.M.; et al. An Atlas of Substrate Specificities for the Human Serine/threonine Kinome. Nature 2023, 613, 759–766. [Google Scholar] [CrossRef]
- Sanjeev, D.; George, M.; John, L.; Gopalakrishnan, A.P.; Priyanka, P.; Mendon, S.; Yandigeri, T.; Nisar, M.; Nisar, M.; Kanekar, S.; et al. Tyr352 as a Predominant Phosphosite in the Understudied Kinase and Molecular Target, HIPK1: Implications for Cancer Therapy. OMICS 2024, 28, 111–124. [Google Scholar] [CrossRef]
- Kramer, K.; Sachsenberg, T.; Beckmann, B.M.; Qamar, S.; Boon, K.-L.; Hentze, M.W.; Kohlbacher, O.; Urlaub, H. Photo-Cross-Linking and High-Resolution Mass Spectrometry for Assignment of RNA-Binding Sites in RNA-Binding Proteins. Nat. Methods 2014, 11, 1064–1070. [Google Scholar] [CrossRef] [PubMed]
- Hirschmann, W.D.; Westendorf, H.; Mayer, A.; Cannarozzi, G.; Cramer, P.; Jansen, R.-P. Scp160p Is Required for Translational Efficiency of Codon-Optimized mRNAs in Yeast. Nucleic Acids Res. 2014, 42, 4043–4055. [Google Scholar] [CrossRef] [PubMed]
- Brykailo, M.A.; McLane, L.M.; Fridovich-Keil, J.; Corbett, A.H. Analysis of a Predicted Nuclear Localization Signal: Implications for the Intracellular Localization and Function of the Saccharomyces Cerevisiae RNA-Binding Protein Scp160. Nucleic Acids Res. 2007, 35, 6862–6869. [Google Scholar] [CrossRef] [PubMed]
- Weber, V.; Wernitznig, A.; Hager, G.; Harata, M.; Frank, P.; Wintersberger, U. Purification and Nucleic-Acid-Binding Properties of a Saccharomyces Cerevisiae Protein Involved in the Control of Ploidy. Eur. J. Biochem. 1997, 249, 309–317. [Google Scholar] [CrossRef]
- Fathima, I.; Mahin, A.; Priyanka, P.; Naurah Vattoth, N.; Nishana, A.; Perunelly Gopalakrishnan, A.; Soman, S.; Raju, R. Cellular Phospho-Signaling Map of the Enigmatic Serine/threonine Kinase MAST2. Biochem. Biophys. Rep. 2025, 44, 102277. [Google Scholar] [CrossRef]
- Priyanka, P.; Gopalakrishnan, A.P.; Nisar, M.; Shivamurthy, P.B.; George, M.; John, L.; Sanjeev, D.; Yandigeri, T.; Thomas, S.D.; Rafi, A.; et al. A Global Phosphosite-Correlated Network Map of Thousand and One Kinase 1 (TAOK1). Int. J. Biochem. Cell Biol. 2024, 170, 106558. [Google Scholar] [CrossRef]
- Takagi, M.; Sueishi, M.; Saiwaki, T.; Kametaka, A.; Yoneda, Y. A Novel Nucleolar Protein, NIFK, Interacts with the Forkhead Associated Domain of Ki-67 Antigen in Mitosis. J. Biol. Chem. 2001, 276, 25386–25391. [Google Scholar] [CrossRef]
- Jia, W.; Wang, G.; Sun, S.; Chen, X.; Xiang, S.; Zhang, B.; Huang, Z. PA2G4 in Health and Disease: An Underestimated Multifunctional Regulator. J. Adv. Res. 2025, 78, 307–323. [Google Scholar] [CrossRef]
- Dong, S.; Han, J.; Chen, H.; Liu, T.; Huen, M.S.Y.; Yang, Y.; Guo, C.; Huang, J. The Human SRCAP Chromatin Remodeling Complex Promotes DNA-End Resection. Curr. Biol. 2014, 24, 2097–2110. [Google Scholar] [CrossRef] [PubMed]
- Zhang, S.; Cai, Z.; Li, H. AHNAKs Roles in Physiology and Malignant Tumors. Front. Oncol. 2023, 13, 1258951. [Google Scholar] [CrossRef] [PubMed]
- Tellier, M.; Zaborowska, J.; Neve, J.; Nojima, T.; Hester, S.; Fournier, M.; Furger, A.; Murphy, S. CDK9 and PP2A Regulate RNA Polymerase II Transcription Termination and Coupled RNA Maturation. EMBO Rep. 2022, 23, e54520. [Google Scholar] [CrossRef] [PubMed]
- Greifenberg, A.K.; Hönig, D.; Pilarova, K.; Düster, R.; Bartholomeeusen, K.; Bösken, C.A.; Anand, K.; Blazek, D.; Geyer, M. Structural and Functional Analysis of the Cdk13/Cyclin K Complex. Cell Rep. 2016, 14, 320–331. [Google Scholar] [CrossRef]
- Liang, K.; Gao, X.; Gilmore, J.M.; Florens, L.; Washburn, M.P.; Smith, E.; Shilatifard, A. Characterization of Human Cyclin-Dependent Kinase 12 (CDK12) and CDK13 Complexes in C-Terminal Domain Phosphorylation, Gene Transcription, and RNA Processing. Mol. Cell Biol. 2015, 35, 928–938. [Google Scholar] [CrossRef]
- Wang, X.; Liu, R.; Li, S.; Xia, W.; Guo, H.; Yao, W.; Liang, X.; Lu, Y.; Zhang, H. The Roles, Molecular Interactions, and Therapeutic Value of CDK16 in Human Cancers. Biomed. Pharmacother. 2023, 164, 114929. [Google Scholar] [CrossRef]
- Seger, R. Special Issue: MAPK Signaling Cascades in Human Health and Diseases. Int. J. Mol. Sci. 2024, 25. [Google Scholar] [CrossRef]
- Takekawa, M.; Kubota, Y.; Nakamura, T.; Ichikawa, K. Regulation of Stress-Activated MAP Kinase Pathways during Cell Fate Decisions. Nagoya J. Med. Sci. 2011, 73, 1–14. [Google Scholar]
- Kügler, S.; Grünweller, A.; Probst, C.; Klinger, M.; Müller, P.K.; Kruse, C. Vigilin Contains a Functional Nuclear Localisation Sequence and Is Present in Both the Cytoplasm and the Nucleus. FEBS Lett. 1996, 382, 330–334. [Google Scholar] [CrossRef]
- Kosmas, K.; Filippakis, H.; Khabibullin, D.; Turkiewicz, M.; Lam, H.C.; Yu, J.; Kedersha, N.L.; Anderson, P.J.; Henske, E.P. TSC2 Interacts with HDLBP/Vigilin and Regulates Stress Granule Formation. Mol. Cancer Res. 2021, 19, 1389–1397. [Google Scholar] [CrossRef]
- Sekhar, P.S.; Fahma, A.; Subair, S.; Gopalakrishnan, A.P.; Shivamurthy, P.B.; Chakraborty, S.; Raju, R. A Bird’s-Eye View of the Wings Apart-Like Protein in Cell Biology and Implications for Disease and Therapeutics. OMICS 2025, 29, 476–485. [Google Scholar] [CrossRef]
- Carretero, M.; Ruiz-Torres, M.; Rodríguez-Corsino, M.; Barthelemy, I.; Losada, A. Pds5B Is Required for Cohesion Establishment and Aurora B Accumulation at Centromeres. EMBO J. 2013, 32, 2938–2949. [Google Scholar] [CrossRef]
- Kumeta, M. Molecular Crowing in Nuclear Pore. Subcell. Biochem. 2025, 109, 257–272. [Google Scholar] [CrossRef] [PubMed]
- Li, Y.; Zhu, J.; Zhai, F.; Kong, L.; Li, H.; Jin, X. Advances in the Understanding of Nuclear Pore Complexes in Human Diseases. J. Cancer Res. Clin. Oncol. 2024, 150, 374. [Google Scholar] [CrossRef] [PubMed]
- Wang, J.; Sun, D.; Wang, M.; Cheng, A.; Zhu, Y.; Mao, S.; Ou, X.; Zhao, X.; Huang, J.; Gao, Q.; et al. Multiple Functions of Heterogeneous Nuclear Ribonucleoproteins in the Positive Single-Stranded RNA Virus Life Cycle. Front. Immunol. 2022, 13, 989298. [Google Scholar] [CrossRef] [PubMed]
- RBM15 in Diseases: Molecular Mechanisms and Clinical Opportunities from RNA m6A Methylation. Genes Dis. 2025, 101901. [CrossRef]
- Chen, L.; Fu, Y.; Hu, Z.; Deng, K.; Song, Z.; Liu, S.; Li, M.; Ou, X.; Wu, R.; Liu, M.; et al. Nuclear M A Reader YTHDC1 Suppresses Proximal Alternative Polyadenylation Sites by Interfering with the 3’ Processing Machinery. EMBO Rep. 2022, 23, e54686. [Google Scholar] [CrossRef]
- Ferrari, A.; Tontonoz, P. Nonvesicular Cholesterol Transport in Physiology. J. Clin. Invest. 2025, 135. [Google Scholar] [CrossRef]
- Yabe, D.; Brown, M.S.; Goldstein, J.L. Insig-2, a Second Endoplasmic Reticulum Protein That Binds SCAP and Blocks Export of Sterol Regulatory Element-Binding Proteins. Proc. Natl. Acad. Sci. USA 2002, 99, 12753–12758. [Google Scholar] [CrossRef]
- Zhou, C.; Li, J.; Du, J.; Jiang, X.; Xu, X.; Liu, Y.; He, Q.; Liang, H.; Fang, P.; Zhan, H.; et al. HMGCS1 Drives Drug-Resistance in Acute Myeloid Leukemia through Endoplasmic Reticulum-UPR-Mitochondria Axis. Biomed. Pharmacother. 2021, 137, 111378. [Google Scholar] [CrossRef]
- Daemen, S.; Kutmon, M.; Evelo, C.T. A Pathway Approach to Investigate the Function and Regulation of SREBPs. Genes. Nutr. 2013, 8, 289–300. [Google Scholar] [CrossRef]
- Carroll, R.G.; Zasłona, Z.; Galván-Peña, S.; Koppe, E.L.; Sévin, D.C.; Angiari, S.; Triantafilou, M.; Triantafilou, K.; Modis, L.K.; O’Neill, L.A. An Unexpected Link between Fatty Acid Synthase and Cholesterol Synthesis in Proinflammatory Macrophage Activation. J. Biol. Chem. 2018, 293, 5509–5521. [Google Scholar] [CrossRef] [PubMed]
- Xiaoping, Z.; Fajun, Y. Regulation of SREBP-Mediated Gene Expression. Sheng Wu Wu Li Hsueh Bao 2012, 28, 287–294. [Google Scholar] [CrossRef] [PubMed]
- Zheng, H.-Y.; Wang, Y.-X.; Zhou, K.; Xie, H.-L.; Ren, Z.; Liu, H.-T.; Ou, Y.-S.; Zhou, Z.-X.; Jiang, Z.-S. Biological Functions of CRTC2 and Its Role in Metabolism-Related Diseases. J. Cell Commun. Signal 2023, 17, 495–506. [Google Scholar] [CrossRef] [PubMed]
- Martínez-Pinteño, A.; Gassó, P.; Prohens, L.; Segura, A.G.; Parellada, M.; Saiz-Ruiz, J.; Cuesta, M.J.; Bernardo, M.; Lafuente, A.; Mas, S.; et al. Identification of as a Key Gene Involved in Antipsychotic-Induced Metabolic Dysregulation Based on Integrative Bioinformatics Analysis of Multi-Tissue Gene Expression Data. Front. Pharmacol. 2021, 12, 729474. [Google Scholar] [CrossRef]
- Lemberger, T.; Parkitna, J.R.; Chai, M.; Schütz, G.; Engblom, D. CREB Has a Context-Dependent Role in Activity-Regulated Transcription and Maintains Neuronal Cholesterol Homeostasis. FASEB J. 2008, 22, 2872–2879. [Google Scholar] [CrossRef]
- Montag, K.; Ivanov, R.; Bauer, P. Role of SEC14-like Phosphatidylinositol Transfer Proteins in Membrane Identity and Dynamics. Front. Plant Sci. 2023, 14, 1181031. [Google Scholar] [CrossRef]
- Hermansson, M.; Hänninen, S.; Hokynar, K.; Somerharju, P. The PNPLA-Family Phospholipases Involved in Glycerophospholipid Homeostasis of HeLa Cells. Biochim. Biophys. Acta 2016, 1861, 1058–1065. [Google Scholar] [CrossRef]
- Yan, D.; Olkkonen, V.M. Characteristics of Oxysterol Binding Proteins. Int. Rev. Cytol. 2008, 265, 253–285. [Google Scholar] [CrossRef]
- Olkkonen, V.M.; Johansson, M.; Suchanek, M.; Yan, D.; Hynynen, R.; Ehnholm, C.; Jauhiainen, M.; Thiele, C.; Lehto, M. The OSBP-Related Proteins (ORPs): Global Sterol Sensors for Co-Ordination of Cellular Lipid Metabolism, Membrane Trafficking and Signalling Processes? Biochem. Soc. Trans. 2006, 34, 389–391. [Google Scholar] [CrossRef]
- Liu, Y.; Ye, Q.; Ma, D.K.; Rothermel, B.A.; Lin, W. Bltp1 Is Required for Survival and Normal Development and Function of the Neuromuscular Junction in Mice. J. Neurosci. 2025, 45. [Google Scholar] [CrossRef] [PubMed]
- Carosi, J.M.; Denton, D.; Kumar, S.; Sargeant, T.J. Receptor Recycling by Retromer. Mol. Cell Biol. 2023, 43, 317–334. [Google Scholar] [CrossRef] [PubMed]
- Lu, Y.; He, P.; Zhang, Y.; Ren, Y.; Zhang, L. The Emerging Roles of Retromer and Sorting Nexins in the Life Cycle of Viruses. Virol. Sin. 2022, 37, 321–330. [Google Scholar] [CrossRef] [PubMed]
- Strong, A.; Patel, K.; Rader, D.J. Sortilin and Lipoprotein Metabolism: Making Sense out of Complexity. Curr. Opin. Lipidol. 2014, 25, 350–357. [Google Scholar] [CrossRef]
- Jiao, X.; Wood, L.D.; Lindman, M.; Jones, S.; Buckhaults, P.; Polyak, K.; Sukumar, S.; Carter, H.; Kim, D.; Karchin, R.; et al. Somatic Mutations in the Notch, NF-KB, PIK3CA, and Hedgehog Pathways in Human Breast Cancers. Genes. Chromosomes Cancer 2012, 51, 480–489. [Google Scholar] [CrossRef]
- Liang, Z.; Liu, T.; Li, Q.; Zhang, G.; Zhang, B.; Du, X.; Liu, J.; Chen, Z.; Ding, H.; Hu, G.; et al. Deciphering the Functional Landscape of Phosphosites with Deep Neural Network. Cell Rep. 2023, 42, 113048. [Google Scholar] [CrossRef]
- UniProt Consortium UniProt: The Universal Protein Knowledgebase in 2023. Nucleic Acids Res 2023, 51, D523–D531. [CrossRef]
- Mahin, A.; Gopalakrishnan, A.P.; Ahmed, M.; Nisar, M.; John, L.; Shivamurthy, P.B.; Ummar, S.; Varghese, S.; Modi, P.K.; Pai, V.R.; et al. Orchestrating Intracellular Calcium Signaling Cascades by Phosphosite-Centric Regulatory Network: A Comprehensive Analysis on Kinases CAMKK1 and CAMKK2. OMICS 2025, 29, 139–153. [Google Scholar] [CrossRef]
- Lalu, A.C.; Lubaba, F.; Gopalakrishnan, A.P.; Mahin, A.; Subair, S.; Shivamurthy, P.B.; Rajeev, A.C.; Raju, R. Mapping Cophosphoregulation Networks Linked to Transcriptional Regulator Bromodomain-Containing Protein 4. DNA Cell Biol. 2025, 44, 445–462. [Google Scholar] [CrossRef]
- Han, S.; Kwak, I.-Y. Mastering Data Visualization with Python: Practical Tips for Researchers. J. Minim. Invasive Surg. 2023, 26, 167–175. [Google Scholar] [CrossRef] [PubMed]
- Linding, R.; Jensen, L.J.; Pasculescu, A.; Olhovsky, M.; Colwill, K.; Bork, P.; Yaffe, M.B.; Pawson, T. NetworKIN: A Resource for Exploring Cellular Phosphorylation Networks. Nucleic Acids Res. 2008, 36, D695–D699. [Google Scholar] [CrossRef] [PubMed]
- Parca, L.; Ariano, B.; Cabibbo, A.; Paoletti, M.; Tamburrini, A.; Palmeri, A.; Ausiello, G.; Helmer-Citterich, M. Kinome-Wide Identification of Phosphorylation Networks in Eukaryotic Proteomes. Bioinformatics 2019, 35, 372–379. [Google Scholar] [CrossRef] [PubMed]
- Seal, R.L.; Braschi, B.; Gray, K.; Jones, T.E.M.; Tweedie, S.; Haim-Vilmovsky, L.; Bruford, E.A. Genenames.org: The HGNC Resources in 2023. Nucleic Acids Res 2023, 51, D1003–D1009. [Google Scholar] [CrossRef]
- Ayati, M.; Wiredja, D.; Schlatzer, D.; Maxwell, S.; Li, M.; Koyutürk, M.; Chance, M.R. CoPhosK: A Method for Comprehensive Kinase Substrate Annotation Using Co-Phosphorylation Analysis. PLoS Comput. Biol. 2019, 15, e1006678. [Google Scholar] [CrossRef]
- Keshava Prasad, T.S.; Goel, R.; Kandasamy, K.; Keerthikumar, S.; Kumar, S.; Mathivanan, S.; Telikicherla, D.; Raju, R.; Shafreen, B.; Venugopal, A.; et al. Human Protein Reference Database--2009 Update. Nucleic Acids Res. 2009, 37, D767–D772. [Google Scholar] [CrossRef]
- Bader, G.D.; Betel, D.; Hogue, C.W.V. BIND: The Biomolecular Interaction Network Database. Nucleic Acids Res. 2003, 31, 248–250. [Google Scholar] [CrossRef]
- Oughtred, R.; Rust, J.; Chang, C.; Breitkreutz, B.-J.; Stark, C.; Willems, A.; Boucher, L.; Leung, G.; Kolas, N.; Zhang, F.; et al. The BioGRID Database: A Comprehensive Biomedical Resource of Curated Protein, Genetic, and Chemical Interactions. Protein Sci. 2021, 30, 187–200. [Google Scholar] [CrossRef]
- Kamburov, A.; Herwig, R. ConsensusPathDB 2022: Molecular Interactions Update as a Resource for Network Biology. Nucleic Acids Res 2022, 50, D587–D595. [Google Scholar] [CrossRef]
- Tsitsiridis, G.; Steinkamp, R.; Giurgiu, M.; Brauner, B.; Fobo, G.; Frishman, G.; Montrone, C.; Ruepp, A. CORUM: The Comprehensive Resource of Mammalian Protein Complexes-2022. Nucleic Acids Res. 2023, 51, D539–D545. [Google Scholar] [CrossRef]
- Huang, K.-Y.; Wu, H.-Y.; Chen, Y.-J.; Lu, C.-T.; Su, M.-G.; Hsieh, Y.-C.; Tsai, C.-M.; Lin, K.-I.; Huang, H.-D.; Lee, T.-Y.; et al. RegPhos 2.0: An Updated Resource to Explore Protein Kinase-Substrate Phosphorylation Networks in Mammals. Database 2014, 2014, bau034. [Google Scholar] [CrossRef]
- Edwards, N.J.; Oberti, M.; Thangudu, R.R.; Cai, S.; McGarvey, P.B.; Jacob, S.; Madhavan, S.; Ketchum, K.A. The CPTAC Data Portal: A Resource for Cancer Proteomics Research. J. Proteome Res. 2015, 14, 2707–2713. [Google Scholar] [CrossRef]
- Chandrashekar, D.S.; Karthikeyan, S.K.; Korla, P.K.; Patel, H.; Shovon, A.R.; Athar, M.; Netto, G.J.; Qin, Z.S.; Kumar, S.; Manne, U.; et al. UALCAN: An Update to the Integrated Cancer Data Analysis Platform. Neoplasia 2022, 25, 18–27. [Google Scholar] [CrossRef]
- Ge, S.X.; Jung, D.; Yao, R. ShinyGO: A Graphical Gene-Set Enrichment Tool for Animals and Plants. Bioinformatics 2020, 36, 2628–2629. [Google Scholar] [CrossRef]
- Shannon, P.; Markiel, A.; Ozier, O.; Baliga, N.S.; Wang, J.T.; Ramage, D.; Amin, N.; Schwikowski, B.; Ideker, T. Cytoscape: A Software Environment for Integrated Models of Biomolecular Interaction Networks. Genome Res. 2003, 13, 2498–2504. [Google Scholar] [CrossRef]
- Fried, J.Y.; van Iersel, M.P.; Aladjem, M.I.; Kohn, K.W.; Luna, A. PathVisio-Faceted Search: An Exploration Tool for Multi-Dimensional Navigation of Large Pathways. Bioinformatics 2013, 29, 1465–1466. [Google Scholar] [CrossRef][Green Version]









| Cancer Type | Phosphosites | p-Value |
|---|---|---|
| Breast cancer | S944 | 5.25 × 10−5 |
| Colon cancer | S31 | 3.09 × 10−2 |
| Colon cancer | S944 | 2.55 × 10−19 |
| Pancreatic cancer | S944 | 5.30 × −5 |
| Glioblastoma | S944 | 1.49 × 10−16 |
| Hepatocellular carcinoma | S31 | 3.31 × 10−12 |
Disclaimer/Publisher’s Note: The statements, opinions and data contained in all publications are solely those of the individual author(s) and contributor(s) and not of MDPI and/or the editor(s). MDPI and/or the editor(s) disclaim responsibility for any injury to people or property resulting from any ideas, methods, instructions or products referred to in the content. |
© 2026 by the authors. Licensee MDPI, Basel, Switzerland. This article is an open access article distributed under the terms and conditions of the Creative Commons Attribution (CC BY) license.
Share and Cite
Sekhar, P.S.; Fahma, A.; Subair, S.; Dcunha, L.; Mahin, A.; Gopalakrishnan, A.P.; Raju, R.; Soman, S. Phosphoproteomic Landscape of HDLBP: Insights into Function and Disease Associations. Int. J. Mol. Sci. 2026, 27, 2147. https://doi.org/10.3390/ijms27052147
Sekhar PS, Fahma A, Subair S, Dcunha L, Mahin A, Gopalakrishnan AP, Raju R, Soman S. Phosphoproteomic Landscape of HDLBP: Insights into Function and Disease Associations. International Journal of Molecular Sciences. 2026; 27(5):2147. https://doi.org/10.3390/ijms27052147
Chicago/Turabian StyleSekhar, Pathiyil Sajini, Amal Fahma, Suhail Subair, Leona Dcunha, Althaf Mahin, Athira Perunally Gopalakrishnan, Rajesh Raju, and Sowmya Soman. 2026. "Phosphoproteomic Landscape of HDLBP: Insights into Function and Disease Associations" International Journal of Molecular Sciences 27, no. 5: 2147. https://doi.org/10.3390/ijms27052147
APA StyleSekhar, P. S., Fahma, A., Subair, S., Dcunha, L., Mahin, A., Gopalakrishnan, A. P., Raju, R., & Soman, S. (2026). Phosphoproteomic Landscape of HDLBP: Insights into Function and Disease Associations. International Journal of Molecular Sciences, 27(5), 2147. https://doi.org/10.3390/ijms27052147

