Environmental Impact of Fluoroquinolones and Their Photocatalytic Transformation Products: Degradation with Activated Sludge and in Surface Waters, Change in Antimicrobial Activity and Ecotoxicity
Abstract
1. Introduction
2. Results and Discussion
2.1. Kinetics of Photocatalytic Degradation
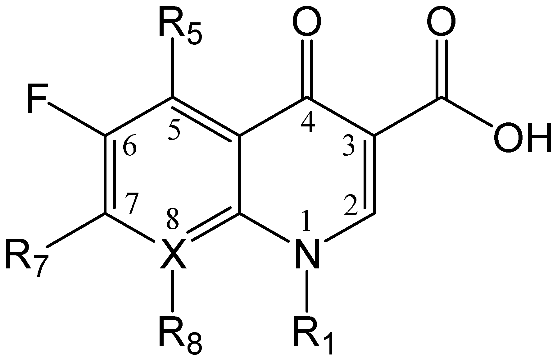
2.2. Photocatalytic Degradation Products
2.3. Fate of NOR, ENR, and ODPs in the Selected Aquatic Ecosystems
2.4. Changes in the Toxicity of Solutions to Test Microorganisms (MARA®)
2.5. In Silico Prediction of Products Toxicity
3. Materials and Methods
3.1. Reagents
3.2. Photocatalytic Process
3.3. Sample Conditioning (Biodegradation)
3.4. UPLC Analysis
3.5. Analysis of Microbial Ecotoxicity (MARA® Bioassay)
3.6. Analysis of Total Organic Carbon
3.7. Turbidity Determination
3.8. Electrochemical Measurements
3.9. Microorganisms Counts
3.10. In Silico Prediction of Toxicity
4. Conclusions
Supplementary Materials
Author Contributions
Funding
Institutional Review Board Statement
Informed Consent Statement
Data Availability Statement
Conflicts of Interest
Abbreviations
| FQ | Fluoroquinolone |
| WWTP | Wastewater Treatment Plant |
| NOR | Norfloxacin |
| ENR | Enrofloxacin |
| AS | Activated Sludge |
| ODP | Organic Degradation Product |
| TOC | Total Organic Carbon |
| TIC | Total Ion Current |
| MTC | Microbial Toxic Concentration |
| LOEC | Lowest Observed Effect Concentration |
| TZR | 2,3,5-Triphenyltetrazolium Chloride |
| p.a. | Pure Pro Analysis |
| LC-MS | Liquid Chromatography–Mass Spectrometry |
| UPLC | Ultra-Performance Liquid Chromatography |
| PDA | Photodiode Array Detector |
| QTOF | Quadrupole Time-of-Flight |
| ESI+ | Electrospray Ionisation in positive mode |
| US EPA | United States Environmental Protection Agency |
References
- Du, J.; Liu, Q.; Pan, Y.; Xu, S.; Li, H.; Tang, J. The Research Status, Potential Hazards and Toxicological Mechanisms of Fluoroquinolone Antibiotics in the Environment. Antibiotics 2023, 12, 1058. [Google Scholar] [CrossRef]
- Cycoń, M.; Mrozik, A.; Piotrowska-Seget, Z. Antibiotics in the Soil Environment—Degradation and Their Impact on Microbial Activity and Diversity. Front. Microbiol. 2019, 10, 338. [Google Scholar] [CrossRef]
- Adachi, F.; Yamamoto, A.; Takakura, K.-I.; Kawahara, R. Occurrence of Fluoroquinolones and Fluoroquinolone-Resistance Genes in the Aquatic Environment. Sci. Total Environ. 2013, 444, 508–514. [Google Scholar] [CrossRef]
- Riaz, L.; Mahmood, T.; Khalid, A.; Rashid, A.; Ahmed Siddique, M.B.; Kamal, A.; Coyne, M.S. Fluoroquinolones (FQs) in the Environment: A Review on Their Abundance, Sorption and Toxicity in Soil. Chemosphere 2018, 191, 704–720. [Google Scholar] [CrossRef]
- Yang, W.; Li, J.; Yao, Z.; Li, M. A Review on the Alternatives to Antibiotics and the Treatment of Antibiotic Pollution: Current Development and Future Prospects. Sci. Total Environ. 2024, 926, 171757. [Google Scholar] [CrossRef]
- Carvalho, I.T.; Santos, L. Antibiotics in the Aquatic Environments: A Review of the European Scenario. Environ. Int. 2016, 94, 736–757. [Google Scholar] [CrossRef] [PubMed]
- Larsson, D.G.J. Antibiotics in the Environment. Upsala J. Med. Sci. 2014, 119, 108–112. [Google Scholar] [CrossRef] [PubMed]
- Fengxian, C.; Reti, H. Analysis of Positions and Substituents on Genotoxicity of Fluoroquinolones with Quantitative Structure-Activity Relationship and 3D Pharmacophore Model. Ecotoxicol. Environ. Saf. 2017, 136, 111–118. [Google Scholar] [CrossRef] [PubMed]
- Pakeeraiah, K.; Mal, S.; Mahapatra, M.; Mekap, S.K.; Sahu, P.K.; Paidesetty, S.K. Schematic-Portfolio of Potent Anti-Microbial Scaffolds Targeting DNA Gyrase: Unlocking Ways to Overcome Resistance. Int. J. Biol. Macromol. 2024, 256, 128402. [Google Scholar] [CrossRef]
- Larsson, D.G.J.; de Pedro, C.; Paxeus, N. Effluent from Drug Manufactures Contains Extremely High Levels of Pharmaceuticals. J. Hazard. Mater. 2007, 148, 751–755. [Google Scholar] [CrossRef]
- Shen, M.; Hu, Y.; Zhao, K.; Li, C.; Liu, B.; Li, M.; Lyu, C.; Sun, L.; Zhong, S. Occurrence, Bioaccumulation, Metabolism and Ecotoxicity of Fluoroquinolones in the Aquatic Environment: A Review. Toxics 2023, 11, 966. [Google Scholar] [CrossRef] [PubMed]
- Oberoi, A.S.; Jia, Y.; Zhang, H.; Khanal, S.K.; Lu, H. Insights into the Fate and Removal of Antibiotics in Engineered Biological Treatment Systems: A Critical Review. Environ. Sci. Technol. 2019, 53, 7234–7264. [Google Scholar] [CrossRef]
- Sodhi, K.K.; Singh, D.K. Insight into the Fluoroquinolone Resistance, Sources, Ecotoxicity, and Degradation with Special Emphasis on Ciprofloxacin. JWPE 2021, 43, 102218. [Google Scholar] [CrossRef]
- Van Doorslaer, X.; Dewulf, J.; Van Langenhove, H.; Demeestere, K. Fluoroquinolone Antibiotics: An Emerging Class of Environmental Micropollutants. Sci. Total Environ. 2014, 500–501, 250–269. [Google Scholar] [CrossRef] [PubMed]
- Zhao, L.; Dong, Y.H.; Wang, H. Residues of Veterinary Antibiotics in Manures from Feedlot Livestock in Eight Provinces of China. Sci. Total Environ. 2010, 408, 1069–1075. [Google Scholar] [CrossRef]
- Le, T.X.; Munekage, Y. Residues of Selected Antibiotics in Water and Mud from Shrimp Ponds in Mangrove Areas in Viet Nam. Mar. Pollut. Bull. 2004, 49, 922–929. [Google Scholar] [CrossRef]
- Janecko, N.; Pokludova, L.; Blahova, J.; Svobodova, Z.; Literak, I. Implications of Fluoroquinolone Contamination for the Aquatic Environment—A Review. Environ. Toxicol. Chem. 2016, 35, 2647–2656. [Google Scholar] [CrossRef]
- Felis, E.; Kalka, J.; Sochacki, A.; Kowalska, K.; Bajkacz, S.; Harnisz, M.; Korzeniewska, E. Antimicrobial Pharmaceuticals in the Aquatic Environment—Occurrence and Environmental Implications. Eur. J. Pharmacol. 2020, 866, 172813. [Google Scholar] [CrossRef]
- Wang, L.; Qiang, Z.; Li, Y.; Ben, W. An Insight into the Removal of Fluoroquinolones in Activated Sludge Process: Sorption and Biodegradation Characteristics. J. Environ. Sci. 2017, 56, 263–271. [Google Scholar] [CrossRef]
- Andersson, D.I.; Hughes, D. Microbiological Effects of Sublethal Levels of Antibiotics. Nat. Rev. Microbiol. 2014, 12, 465–478. [Google Scholar] [CrossRef] [PubMed]
- Paul, T.; Miller, P.L.; Strathmann, T.J. Visible-Light-Mediated TiO2 Photocatalysis of Fluoroquinolone Antibacterial Agents. Environ. Sci. Technol. 2007, 41, 4720–4727. [Google Scholar] [CrossRef]
- Patel, M.; Kumar, R.; Kishor, K.; Mlsna, T.; Pittman, C.U.; Mohan, D. Pharmaceuticals of Emerging Concern in Aquatic Systems: Chemistry, Occurrence, Effects, and Removal Methods. Chem. Rev. 2019, 119, 3510–3673. [Google Scholar] [CrossRef]
- Pretali, L.; Fasani, E.; Sturini, M. Current Advances on the Photocatalytic Degradation of Fluoroquinolones: Photoreaction Mechanism and Environmental Application. Photochem. Photobiol. Sci. 2022, 21, 899–912. [Google Scholar] [CrossRef]
- Sturini, M.; Speltini, A.; Maraschi, F.; Pretali, L.; Ferri, E.N.; Profumo, A. Sunlight-Induced Degradation of Fluoroquinolones in Wastewater Effluent: Photoproducts Identification and Toxicity. Chemosphere 2015, 134, 313–318. [Google Scholar] [CrossRef]
- Ge, L.; Na, G.; Zhang, S.; Li, K.; Zhang, P.; Ren, H.; Yao, Z. New Insights into the Aquatic Photochemistry of Fluoroquinolone Antibiotics: Direct Photodegradation, Hydroxyl-Radical Oxidation, and Antibacterial Activity Changes. Sci. Total Environ. 2015, 527–528, 12–17. [Google Scholar] [CrossRef]
- Zhang, Z.; Xie, X.; Yu, Z.; Cheng, H. Influence of Chemical Speciation on Photochemical Transformation of Three Fluoroquinolones (FQs) in Water: Kinetics, Mechanism, and Toxicity of Photolysis Products. Water Res. 2019, 148, 19–29. [Google Scholar] [CrossRef] [PubMed]
- Zhang, Y.; He, K.; Chen, L.; Liu, W.; Yuan, J.; Gao, Y.; Qi, Y.; Liu, B. Photocatalytic Degradation of Enrofloxacin with CoAl-LDH Mediated Persulfate System: Efficiency Evaluations and Reaction Pathways. Emerg. Contam. 2024, 10, 100328. [Google Scholar] [CrossRef]
- Yang, H.; Mei, L.; Wang, P.; Genereux, J.; Wang, Y.; Yi, B.; Au, C.; Dang, L.; Feng, P. Photocatalytic Degradation of Norfloxacin on Different TiO2-X Polymorphs under Visible Light in Water. RSC Adv. 2017, 7, 45721–45732. [Google Scholar] [CrossRef]
- Stando, K.; Zogornik, P.; Kopiec, M.; Pieszczek, M.; Kowalska, K.; Felis, E.; Bajkacz, S. Degradation of Fluoroquinolones and Macrolides by Solar Light-Driven Heterogeneous Photocatalysis—Proposed Drug Transformation Pathways. J. Photochem. Photobiol. A Chem. 2024, 453, 115651. [Google Scholar] [CrossRef]
- Thai, V.-A.; Dang, V.D.; Thuy, N.T.; Pandit, B.; Vo, T.-K.-Q.; Khedulkar, A.P. Fluoroquinolones: Fate, Effects on the Environment and Selected Removal Methods. J. Clean. Prod. 2023, 418, 137762. [Google Scholar] [CrossRef]
- Wang, F.; Feng, Y.; Chen, P.; Wang, Y.; Su, Y.; Zhang, Q.; Zeng, Y.; Xie, Z.; Liu, H.; Liu, Y.; et al. Photocatalytic Degradation of Fluoroquinolone Antibiotics Using Ordered Mesoporous G-C3N4 under Simulated Sunlight Irradiation: Kinetics, Mechanism, and Antibacterial Activity Elimination. Appl. Catal. B Environ. 2018, 227, 114–122, Correction in Appl. Catal. B Environ. 2018, 238, 673. https://doi.org/10.1016/j.apcatb.2018.03.097. [Google Scholar] [CrossRef]
- Zhang, R.; Yu, Y.; Wang, H.; Du, J. Mesoporous TiO2/g-C3N4 Composites with O-Ti-N Bridge for Improved Visible-Light Photodegradation of Enrofloxacin. Sci. Total Environ. 2020, 724, 138280. [Google Scholar] [CrossRef]
- Li, S.; Huang, T.; Du, P.; Liu, W.; Hu, J. Photocatalytic Transformation Fate and Toxicity of Ciprofloxacin Related to Dissociation Species: Experimental and Theoretical Evidences. Water Res. 2020, 185, 116286. [Google Scholar] [CrossRef]
- Adamek, E.; Baran, W.; Ziemiańska, J.; Sobczak, A. Effect of FeCl3 on Sulfonamide Removal and Reduction of Antimicrobial Activity of Wastewater in a Photocatalytic Process with TiO2. Appl. Catal. B 2012, 126, 29–38. [Google Scholar] [CrossRef]
- Huang, S.; Cai, Y.; Xiong, J.; Fan, Y.; Huang, M.; Liang, Y.; Song, H. Enhanced Degradation of Ciprofloxacin through an Intimately Coupled Photocatalysis and Biodegradation System: Performance and Mechanistic Insights. Process Saf. Environ 2025, 107173, in press. [Google Scholar] [CrossRef]
- Thakur, A.K.; Kumar, R.; Kumar, A.; Shankar, R.; Khan, N.A.; Gupta, K.N.; Ram, M.; Arya, R.K. Pharmaceutical Waste-Water Treatment via Advanced Oxidation Based Integrated Processes: An Engineering and Economic Perspective. JWPE 2023, 54, 103977. [Google Scholar] [CrossRef]
- Sun, S.; Wang, Z.; Pu, Q.; Li, X.; Cui, Y.; Yang, H.; Li, Y. Identification and Mechanistic Analysis of Toxic Degradation Products in the Advanced Oxidation Pathways of Fluoroquinolone Antibiotics. Toxics 2024, 12, 203. [Google Scholar] [CrossRef]
- Wang, Z.; Du, Y.; Jiang, Y.; Li, J.; He, C.; Liu, Y.; Xiong, Z.; Lai, B. Fe(V) Dominates the Toxicity Increase Pathway during Ferrate(VI) Degradation of Fluoroquinolone Antibiotics. ACS EST Eng. 2023, 3, 883–893. [Google Scholar] [CrossRef]
- Wang, D.; Ning, Q.; Dong, J.; Brooks, B.W.; You, J. Predicting Mixture Toxicity and Antibiotic Resistance of Fluoroquinolones and Their Photodegradation Products in Escherichia Coli. Environ. Pollut. 2020, 262, 114275. [Google Scholar] [CrossRef] [PubMed]
- Baran, W.; Cholewiński, M.; Sobczak, A.; Adamek, E. A New Mechanism of the Selective Photodegradation of Antibiotics in the Catalytic System Containing TiO2 and the Inorganic Cations. Int. J. Mol. Sci. 2021, 22, 8696. [Google Scholar] [CrossRef] [PubMed]
- Kar, P.; Shukla, K.; Jain, P.; Sathiyan, G.; Gupta, R.K. Semiconductor Based Photocatalysts for Detoxification of Emerging Pharmaceutical Pollutants from Aquatic Systems: A Critical Review. Nano Mater. Sci. 2021, 3, 25–46. [Google Scholar] [CrossRef]
- Valenzuela, M.A.; Albiter, E.; Ríos-Bernÿ, O.; Córdova, I.; Flores, S.O. Photocatalytic Reduction of Organic Compounds. J. Adv. Oxid. Technol. 2010, 13, 321–340. [Google Scholar] [CrossRef]
- Madej-Knysak, D.; Baran, W. Assessment of the Applicability of Commercial Pigments for Photocatalytic Degradation of Pharmaceuticals: Comparison of Kinetics and Products of the Processes. Catalysts 2024, 15, 20. [Google Scholar] [CrossRef]
- Sharma, P.C.; Jain, A.; Jain, S. Fluoroquinolone Antibacterials: A Review on Chemistry, Microbiology and Therapeutic Prospects. Acta Pol. Pharm. 2009, 66, 587–604. [Google Scholar] [PubMed]
- Li, W.; Guo, C.; Su, B.; Xu, J. Photodegradation of Four Fluoroquinolone Compounds by Titanium Dioxide under Simulated Solar Light Irradiation. Chem. Technol. Biotechnol. 2012, 87, 643–650. [Google Scholar] [CrossRef]
- Wadhia, K.; Dando, T.; Clive Thompson, K. Intra-Laboratory Evaluation of Microbial Assay for Risk Assessment (MARA) for Potential Application in the Implementation of the Water Framework Directive (WFD). J. Environ. Monit. 2007, 9, 953. [Google Scholar] [CrossRef]
- Wadhia, K. ISTA13-International Interlaboratory Comparative Evaluation of Microbial Assay for Risk Assessment (MARA). Environ. Toxicol. 2008, 23, 626–633. [Google Scholar] [CrossRef] [PubMed]
- Nałȩcz-Jawecki, G.; Wadhia, K.; Adomas, B.; Piotrowicz-Cieślak, A.I.; Sawicki, J. Application of Microbial Assay for Risk Assessment Biotest in Evaluation of Toxicity of Human and Veterinary Antibiotics. Environ. Toxicol. 2010, 25, 487–494. [Google Scholar] [CrossRef]
- Fai, P.B.; Grant, A. An Assessment of the Potential of the Microbial Assay for Risk Assessment (MARA) for Ecotoxicological Testing. Ecotoxicology 2010, 19, 1626–1633. [Google Scholar] [CrossRef]
- Kuczyńska, A.; Wolska, L.; Namieśnik, J. Application of Biotests in Environmental Research. Crit. Rev. Anal. Chem. 2005, 35, 135–154. [Google Scholar] [CrossRef]
- Reuschenbach, P.; Silvani, M.; Dammann, M.; Warnecke, D.; Knacker, T. ECOSAR Model Performance with a Large Test Set of Industrial Chemicals. Chemosphere 2008, 71, 1986–1995. [Google Scholar] [CrossRef]
- Adamek, E.; Baran, W.; Sobczak, A. Photocatalytic Degradation of Veterinary Antibiotics: Biodegradability and Antimicrobial Activity of Intermediates. Process Saf. Environ. 2016, 103, 1–9. [Google Scholar] [CrossRef]
- Masternak, E.; Baran, W.; Adamek, E. Photocatalytic Degradation of Lincosamides in the Presence of Commercial Pigments: Kinetics, Intermediates, and Predicted Ecotoxicity. Int. J. Mol. Sci. 2024, 25, 13370. [Google Scholar] [CrossRef] [PubMed]
- Baran, W.; Adamek, E.; Sobczak, A.; Makowski, A. Photocatalytic Degradation of Sulfa Drugs with TiO2, Fe Salts and TiO2/FeCl3 in Aquatic Environment—Kinetics and Degradation Pathway. Appl. Catal. B Environ. 2009, 90, 516–525. [Google Scholar] [CrossRef]
- HACH User Manual LCK 385. Available online: https://cdn.hach.com/7FYZVWYB/at/9xk8ffp63n78jjfgxswkm2n/DOC3125394058.pdf (accessed on 14 September 2025).
- CompactDry. User Manual CompactDry. Available online: https://food.r-biopharm.com/wp-content/uploads/Compact-Dry-AQ_instructions_SDE-IFU-0AQ-2024-V02.pdf (accessed on 14 September 2025).










Disclaimer/Publisher’s Note: The statements, opinions and data contained in all publications are solely those of the individual author(s) and contributor(s) and not of MDPI and/or the editor(s). MDPI and/or the editor(s) disclaim responsibility for any injury to people or property resulting from any ideas, methods, instructions or products referred to in the content. |
© 2026 by the authors. Licensee MDPI, Basel, Switzerland. This article is an open access article distributed under the terms and conditions of the Creative Commons Attribution (CC BY) license.
Share and Cite
Baran, W.; Madej-Knysak, D.; Klink, O.; Adamek, E. Environmental Impact of Fluoroquinolones and Their Photocatalytic Transformation Products: Degradation with Activated Sludge and in Surface Waters, Change in Antimicrobial Activity and Ecotoxicity. Int. J. Mol. Sci. 2026, 27, 2099. https://doi.org/10.3390/ijms27052099
Baran W, Madej-Knysak D, Klink O, Adamek E. Environmental Impact of Fluoroquinolones and Their Photocatalytic Transformation Products: Degradation with Activated Sludge and in Surface Waters, Change in Antimicrobial Activity and Ecotoxicity. International Journal of Molecular Sciences. 2026; 27(5):2099. https://doi.org/10.3390/ijms27052099
Chicago/Turabian StyleBaran, Wojciech, Daria Madej-Knysak, Oliver Klink, and Ewa Adamek. 2026. "Environmental Impact of Fluoroquinolones and Their Photocatalytic Transformation Products: Degradation with Activated Sludge and in Surface Waters, Change in Antimicrobial Activity and Ecotoxicity" International Journal of Molecular Sciences 27, no. 5: 2099. https://doi.org/10.3390/ijms27052099
APA StyleBaran, W., Madej-Knysak, D., Klink, O., & Adamek, E. (2026). Environmental Impact of Fluoroquinolones and Their Photocatalytic Transformation Products: Degradation with Activated Sludge and in Surface Waters, Change in Antimicrobial Activity and Ecotoxicity. International Journal of Molecular Sciences, 27(5), 2099. https://doi.org/10.3390/ijms27052099

