Current Research Advances and Future Prospects on Microbial Consortia for Sustainable PFAS Remediation
Abstract
1. Introduction
2. Soil Microbial Consortia and PFAS Degradation Potential
2.1. Natural Microbial Consortia and Adaptation to PFAS Stress in Contaminated Soils
2.2. Microbial Consortia and Enzymatic Mechanisms in PFAS Bioremediation
2.2.1. Major PFAS Classes and Occurrence in Soils
2.2.2. Soil Microbial Consortia Involved in PFAS Biotransformation
2.2.3. Factors Influencing PFAS Biodegradation
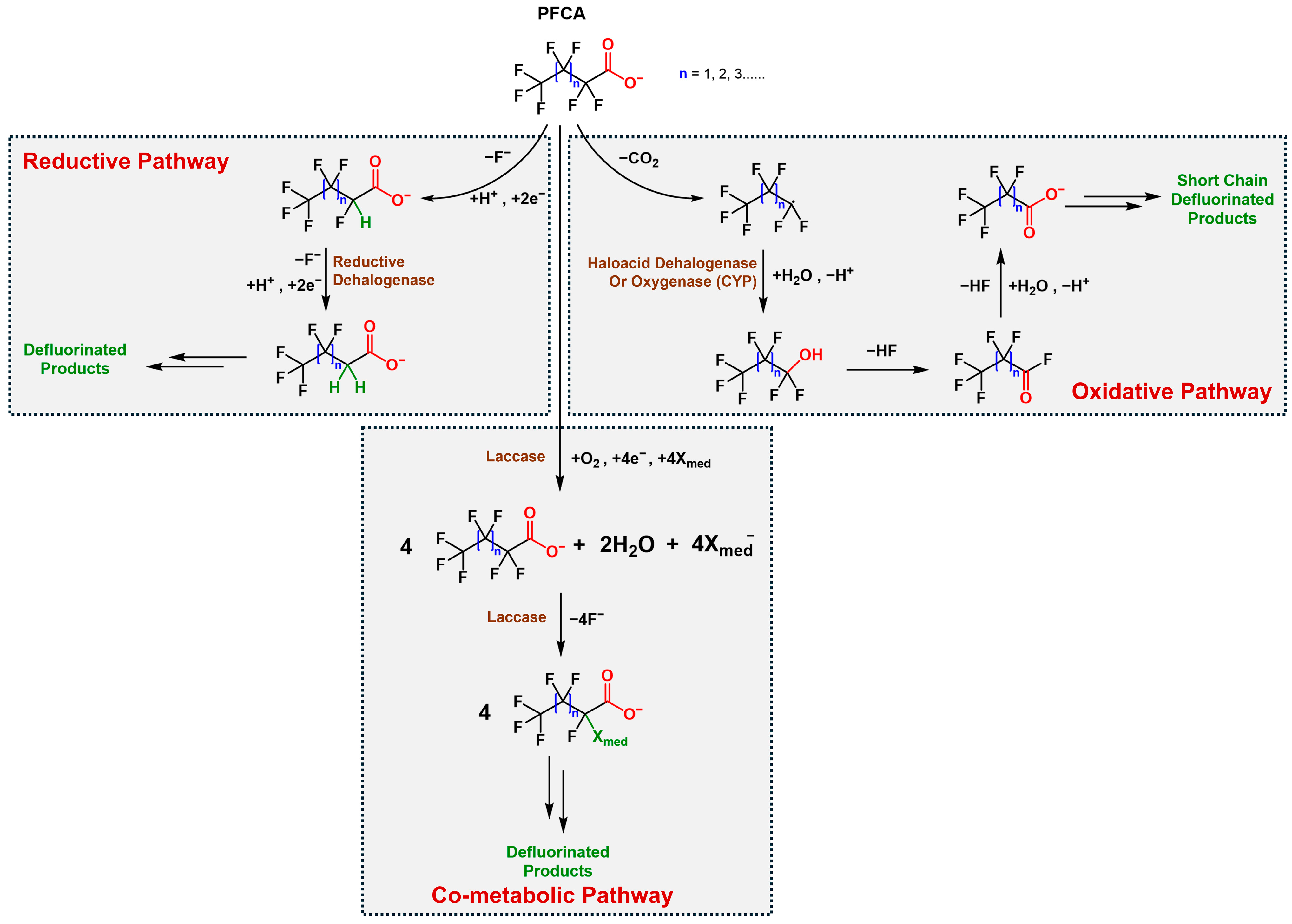
2.2.4. Enzymatic Mechanisms of PFAS Biodegradation
- Oxygenase- and Haloacid Dehalogenase-Mediated (Oxidative) Pathways
- Reductive Dehalogenase-Mediated (Anaerobic) Mechanisms
- Other Enzymes and Co-metabolic Processes
2.2.5. Transformation Pathways and Monitoring of PFAS Biodegradation
2.3. Synergistic Interactions in Consortia
2.3.1. Cross-Feeding of Intermediates
2.3.2. Biofilm-Mediated Protection and Stability in Soil Environments
2.4. Case Studies on PFAS Occurrence and Microbial Biodegradation in the Soil Environment
3. Recent Advances in PFAS Biodegradation Within Soil Ecosystems
3.1. Enrichment and Selection Approaches
3.1.1. Sequential Enrichment and Selection of PFAS-Degrading Consortia
3.1.2. Optimisation of Co-Metabolic Substrates for Enhanced Defluorination
3.2. Identifying Keystone Microbial Degraders Within Soil Consortia
3.2.1. Acidimicrobium sp. Strain A6: A Model Keystone Degrader
3.2.2. Pseudomonas Species as Versatile Degraders
3.2.3. Keystone Interactions and Functional Guilds in PFAS-Enriched Communities
4. Strategies to Enhance PFAS Biodegradation in Soils
4.1. Engineering and Systems Biology Tools
4.1.1. CRISPR-Based Genome Engineering
4.1.2. Synthetic Microbial Consortia Design
4.1.3. Genome-Scale Metabolic Modelling
4.2. Machine Learning for Predictive Modelling of PFAS-Degrading Microbial Communities
5. Prospects and Challenges
5.1. Soil Bioremediation Systems
5.1.1. Laboratory Microcosms with Soil Microbial Consortia
5.1.2. Integration with Soil Amendments
5.1.3. Coupling Microbial Consortia with Phytoremediation Strategies
5.2. Scientific Challenges
5.2.1. Limited Mechanistic Understanding of PFAS Transformation
5.2.2. Difficulties in Isolating, Culturing, and Maintaining Stable PFAS-Degrading Consortia
5.3. Practical and Regulatory Barriers
5.3.1. Stability of Microbial Consortia in Heterogeneous Soil Environments
5.3.2. Risks of Horizontal Gene Transfer and Unintended Ecological Impacts
6. Conclusions and Future Perspectives
Author Contributions
Funding
Data Availability Statement
Acknowledgments
Conflicts of Interest
References
- Glüge, J.; Scheringer, M.; Cousins, I.T.; DeWitt, J.C.; Goldenman, G.; Herzke, D.; Lohmann, R.; Ng, C.A.; Trier, X.; Wang, Z. An overview of the uses of per- and polyfluoroalkyl substances (PFAS). Environ. Sci. Process. Impacts 2020, 22, 2345–2373. [Google Scholar] [CrossRef] [PubMed]
- Briassoulis, G.; Ilia, S.; Briassouli, E. Exposure to Per- and Polyfluoroalkyl Substances (PFASs) in Healthcare: Environmental and Clinical Insights. Life 2025, 15, 1057. [Google Scholar] [CrossRef] [PubMed]
- Evich, M.G.; Davis, M.J.; McCord, J.P.; Acrey, B.; Awkerman, J.A.; Knappe, D.R.; Lindstrom, A.B.; Speth, T.F.; Tebes-Stevens, C.; Strynar, M.J.; et al. Per- and polyfluoroalkyl substances in the environment. Science 2022, 375, eabg9065. [Google Scholar] [CrossRef]
- Wang, Z.; Buser, A.M.; Cousins, I.T.; Demattio, S.; Drost, W.; Johansson, O.; Ohno, K.; Patlewicz, G.; Richard, A.M.; Walker, G.W.; et al. A new OECD definition for per- and polyfluoroalkyl substances. Environ. Sci. Technol. 2021, 55, 15575–15578. [Google Scholar] [CrossRef]
- Srivastava, R.K.; Srivastava, S. Mapping PFAS behavior via meta-analysis of soil dynamics, predictive modeling and policy integration. Sci. Total Environ. 2025, 1000, 180399. [Google Scholar] [CrossRef]
- Marchuk, S.; Tait, S.; Sinha, P.; Harris, P.; Antille, D.L.; McCabe, B.K. Biosolids-derived fertilisers: A review of challenges and opportunities. Sci. Total Environ. 2023, 875, 162555. [Google Scholar] [CrossRef]
- Khan, M.F. Recent progress and challenges in microbial defluorination and degradation for sustainable remediation of fluorinated xenobiotics. Processes 2025, 13, 2017. [Google Scholar] [CrossRef]
- Wackett, L.P. Nothing lasts forever: Understanding microbial biodegradation of polyfluorinated compounds and perfluorinated alkyl substances. Microb. Biotechnol. 2022, 15, 773–792. [Google Scholar] [CrossRef]
- Tang, Z.; Vogel, T.M.; Wang, Q.; Wei, C.; Ali, M.; Song, X. Microbial defluorination of TFA, PFOA, and HFPO-DA by a native microbial consortium under anoxic conditions. J. Hazard. Mater. 2024, 465, 133217. [Google Scholar] [CrossRef] [PubMed]
- Huang, S.; Jaffé, P.R. Defluorination of perfluorooctanoic acid (PFOA) and perfluorooctane sulfonate (PFOS) by Acidimicrobium sp. strain A6. Environ. Sci. Technol. 2019, 53, 11410–11419. [Google Scholar] [CrossRef]
- Ruiz-Urigüen, M.; Shuai, W.; Huang, S.; Jaffé, P.R. Biodegradation of PFOA in microbial electrolysis cells by Acidimicrobiaceae sp. strain A6. Chemosphere 2022, 292, 133506. [Google Scholar] [CrossRef]
- Berhanu, A.; Mutanda, I.; Taolin, J.; Qaria, M.A.; Yang, B.; Zhu, D. A review of microbial degradation of per- and polyfluoroalkyl substances (PFAS): Biotransformation routes and enzymes. Sci. Total Environ. 2023, 859, 160010. [Google Scholar] [CrossRef]
- Sorn, S.; Hara-Yamamura, H.; Vet, S.; Xiao, M.; Hoek, E.M.; Honda, R. Biological treatment of perfluorooctanesulfonic acid (PFOS) using microbial capsules of a polysulfone membrane. Chemosphere 2023, 329, 138585. [Google Scholar] [CrossRef]
- Kim, J.; Leonard, S.W.; Van Meter, M.I.; Kim-Fu, M.L.; Cao, D.; Field, J.A.; Chu, K.H. Nexus of soil microbiomes, genes, classes of carbon substrates, and biotransformation of fluorotelomer-based precursors. Environ. Sci. Technol. 2024, 58, 20553–20565. [Google Scholar] [CrossRef]
- Lorah, M.M.; He, K.; Blaney, L.; Akob, D.M.; Harris, C.; Tokranov, A.; Hopkins, Z.; Shedd, B.P. Anaerobic biodegradation of perfluorooctane sulfonate (PFOS) and microbial community composition in soil amended with a dechlorinating culture and chlorinated solvents. Sci. Total Environ. 2024, 932, 172996. [Google Scholar] [CrossRef]
- Liu, T.; Hu, L.X.; Han, Y.; Xiao, S.; Dong, L.L.; Yang, Y.Y.; Ying, G.G. Non-target discovery and risk prediction of per- and polyfluoroalkyl substances (PFAS) and transformation products in wastewater treatment systems. J. Hazard. Mater. 2024, 476, 135081. [Google Scholar] [CrossRef] [PubMed]
- Mekureyaw, M.F.; Junker, A.L.; Bai, L.; Petersen, A.E.; Wei, Z.; Guo, Z. Biodegradation of perfluorooctanoic acid (PFOA) by laccase from Agaricus bisporus via oxidative decarboxylation. J. Hazard. Mater. Adv. 2025, 19, 100837. [Google Scholar] [CrossRef]
- Liang, Y.; Ma, A. Investigating the degradation potential of microbial consortia for perfluorooctane sulfonate through a functional “top-down” screening approach. PLoS ONE 2024, 19, e0303904. [Google Scholar] [CrossRef]
- Gao, P.; Xu, M.; Liu, Y.; da Silva, E.B.; Xiang, P.; Ma, L.Q. Emerging and legacy PAHs in urban soils of four small cities: Concentrations, distribution, and sources. Sci. Total Environ. 2019, 685, 463–470. [Google Scholar] [CrossRef] [PubMed]
- Lin, W.; Zhao, J.; Wu, X.; Jiang, J.; Zhou, C.; Zheng, J.; Zhang, C.; Guo, Y.; Wang, L.; Ng, H.Y.; et al. The effects of perfluoroalkyl substance pollution on microbial community and key metabolic pathways in the Pearl River Estuary. Ecotoxicol. Environ. Saf. 2025, 298, 118293. [Google Scholar] [CrossRef]
- Cai, Y.; Chen, H.; Yuan, R.; Wang, F.; Chen, Z.; Zhou, B. Metagenomic analysis of soil microbial community under PFOA and PFOS stress. Environ. Res. 2020, 188, 109838. [Google Scholar] [CrossRef]
- Wu, E.; Wang, K.; Liu, Z.; Wang, J.; Yan, H.; Zhu, X.; Zhu, X.; Chen, B. Metabolic and microbial profiling of soil microbial community under per- and polyfluoroalkyl substance (PFAS) stress. Environ. Sci. Technol. 2023, 57, 21855–21865. [Google Scholar] [CrossRef] [PubMed]
- Jiang, T.; Geisler, M.; Zhang, W.; Liang, Y. Fluoroalkylether compounds affect microbial community structures and abundance of nitrogen cycle-related genes in soil-microbe-plant systems. Ecotoxicol. Environ. Saf. 2021, 228, 113033. [Google Scholar] [CrossRef]
- Haluska, A.A.; Röhler, K.; Fabregat-Palau, J.; Alexandrino, D.A.; Abramov, S.; Thompson, K.J.; Straub, D.; Kleindienst, S.; Bugsel, B.; Zweigle, J.; et al. Complementary field and laboratory batch studies to quantify generation rates of perfluoroalkyl acids in a contaminated agricultural topsoil with unknown precursors. Groundw. Monit. Remediat. 2024, 44, 61–75. [Google Scholar] [CrossRef]
- Yang, S.H.; Shan, L.; Chu, K.H. Root exudates enhanced 6:2 FTOH defluorination, altered metabolite profiles and shifted soil microbiome dynamics. J. Hazard. Mater. 2024, 466, 133651. [Google Scholar] [CrossRef]
- Hu, M.; Scott, C. Toward the development of a molecular toolkit for the microbial remediation of per- and polyfluoroalkyl substances. Appl. Environ. Microbiol. 2024, 90, e00157-24. [Google Scholar] [CrossRef]
- Wu, E.; Wang, K.; Zhou, J.; Wang, J.; Liu, Z.; Yan, H.; Zhu, X.; Chen, B. Fatty acid metabolic impairment in soil microbes induced by PFAS: Dependence on the fluorocarbon chain length, headgroups, and ether attached. Environ. Sci. Technol. 2025, 59, 5452–5462. [Google Scholar] [CrossRef]
- Yang, M.; Ye, J.; Qin, H.; Long, Y.; Li, Y. Influence of perfluorooctanoic acid on proteomic expression and cell membrane fatty acid of Escherichia coli. Environ. Pollut. 2017, 220, 532–539. [Google Scholar] [CrossRef]
- Xie, Y.; May, A.L.; Chen, G.; Brown, L.P.; Powers, J.B.; Tague, E.D.; Campagna, S.R.; Löffler, F.E. Pseudomonas sp. strain 273 incorporates organofluorine into the lipid bilayer during growth with fluorinated alkanes. Environ. Sci. Technol. 2022, 56, 8155–8166. [Google Scholar] [CrossRef]
- Shahsavari, E.; Rouch, D.; Khudur, L.S.; Thomas, D.; Aburto-Medina, A.; Ball, A.S. Challenges and current status of the biological treatment of PFAS-contaminated soils. Front. Bioeng. Biotechnol. 2021, 8, 602040. [Google Scholar] [CrossRef]
- Shittu, A.R.; Iwaloye, O.F.; Ojewole, A.E.; Rabiu, A.G.; Amechi, M.O.; Herve, O.F. The effects of per- and polyfluoroalkyl substances on environmental and human microorganisms and their potential for bioremediation. Arch. Ind. Hyg. Toxicol. 2023, 74, 167–177. [Google Scholar] [CrossRef] [PubMed]
- Kognou, A.L.M.; Ngane, R.A.N.; Jiang, Z.H.; Xu, C.C.; Qin, W.; Inui, H. Harnessing the power of microbial consortia for the biodegradation of per- and polyfluoroalkyl substances: Challenges and opportunities. Chemosphere 2025, 374, 144221. [Google Scholar] [CrossRef]
- Gao, D.; Zhao, H.; Wang, L.; Li, Y.; Tang, T.; Bai, Y.; Liang, H. Current and emerging trends in bioaugmentation of organic contaminated soils: A review. J. Environ. Manag. 2022, 320, 115799. [Google Scholar] [CrossRef] [PubMed]
- Khan, M.F.; Rama, M.; Murphy, C.D. Biodegradation of fluorinated β-triketone herbicide tembotrione by a bacterial–fungal consortium. Biocatal. Agric. Biotechnol. 2025, 15, 103828. [Google Scholar] [CrossRef]
- Khan, M.F. Recent advances in microbial enzyme applications for sustainable textile processing and waste management. Sci 2025, 7, 46. [Google Scholar] [CrossRef]
- Khan, M.F.; Murphy, C.D. Fluorotelomer alcohols are efficiently biotransformed by Cunninghamella elegans. Environ. Sci. Pollut. Res. 2023, 30, 23613–23623. [Google Scholar] [CrossRef]
- Khan, M.F.; Hof, C.; Niemcova, P.; Murphy, C.D. Biotransformation of fluorinated drugs and xenobiotics by the model fungus Cunninghamella elegans. In Methods in Enzymology; Academic Press: San Diego, CA, USA, 2024; Volume 696, pp. 251–285. [Google Scholar]
- Khan, M.F.; Hof, C.; Niemcová, P.; Murphy, C.D. Recent advances in fungal xenobiotic metabolism: Enzymes and applications. World J. Microbiol. Biotechnol. 2023, 39, 296. [Google Scholar] [CrossRef]
- Silva, A.R.; Duarte, M.S.; Alves, M.M.; Pereira, L. Bioremediation of perfluoroalkyl substances (PFAS) by anaerobic digestion: Effect of PFAS on different trophic groups and methane production accelerated by carbon materials. Molecules 2022, 27, 1895. [Google Scholar] [CrossRef]
- Khan, M.F.; Liao, J.; Liu, Z.; Chugh, G. Bacterial cytochrome P450 involvement in the biodegradation of fluorinated pyrethroids. J. Xenobiotics 2025, 15, 58. [Google Scholar] [CrossRef]
- Seong, H.J.; Kwon, S.W.; Seo, D.C.; Kim, J.H.; Jang, Y.S. Enzymatic defluorination of fluorinated compounds. Appl. Biol. Chem. 2019, 62, 62. [Google Scholar] [CrossRef]
- Khan, M.F.; Murphy, C.D. Bacterial degradation of the anti-depressant drug fluoxetine produces trifluoroacetic acid and fluoride ion. Appl. Microbiol. Biotechnol. 2021, 105, 9359–9369. [Google Scholar] [CrossRef]
- Khan, M.F.; Murphy, C.D. Nitroreduction of flutamide by Cunninghamella elegans NADPH: Cytochrome P450 reductase. Biochem. Biophys. Rep. 2022, 29, 101209. [Google Scholar] [CrossRef] [PubMed]
- Harris, B.A.; Zhou, J.; Clarke, B.O.; Leung, I.K. Enzymatic degradation of PFAS: Current status and ongoing challenges. ChemSusChem 2025, 18, e202401122. [Google Scholar] [CrossRef] [PubMed]
- Chan, P.W.Y.; Chakrabarti, N.; Ing, C.; Halgas, O.; To, T.K.W.; Wälti, M.; Petit, A.-P.; Tran, C.; Savchenko, A.; Yakunin, A.F.; et al. Defluorination capability of L-2-haloacid dehalogenases in the HAD-like hydrolase superfamily correlates with active site compactness. ChemBioChem 2022, 23, e202100414. [Google Scholar] [CrossRef]
- Lewis, M.; Kim, M.H.; Liu, E.J.; Wang, N.; Chu, K.H. Biotransformation of 6:2 polyfluoroalkyl phosphates (6:2 PAPs): Effects of degradative bacteria and co-substrates. J. Hazard. Mater. 2016, 320, 479–486. [Google Scholar] [CrossRef] [PubMed]
- Picott, K.J.; Flick, R.; Edwards, E.A. Heterologous expression of active Dehalobacter respiratory reductive dehalogenases in Escherichia coli. Appl. Environ. Microbiol. 2022, 88, e01993-21, Correction in Appl. Environ. Microbiol. 2022, 88, e0058122. [Google Scholar] [CrossRef]
- Jaffé, P.R.; Huang, S.; Park, J.; Ruiz-Urigüen, M.; Shuai, W.; Sima, M. Defluorination of PFAS by Acidimicrobium sp. strain A6 and potential applications for remediation. In Methods in Enzymology; Academic Press: San Diego, CA, USA, 2024; pp. 287–320. [Google Scholar]
- Ye, D.; Wang, Z.; Qian, X.; Ouyang, K.; Wu, D.; Tang, F.; Hrynsphan, D.; Savitskaya, T.; Chen, J. Biodegradation of per- and polyfluoroalkyl substances: Microbes, enzymes and their interactions. Rev. Environ. Sci. Biotechnol. 2025, 24, 43–62. [Google Scholar] [CrossRef]
- Khan, M.F.; Guin, J.P.; Thampi, R.K.; Sullivan, J.A.; Murphy, C.D. Enhanced removal of perfluorooctanoic acid with sequential photocatalysis and fungal treatment. Environ. Sci. Pollut. Res. 2023, 30, 91478–91486. [Google Scholar] [CrossRef]
- Khan, M.F. Fungi for sustainable pharmaceutical remediation: Enzymatic innovations, challenges, and applications—A review. Processes 2025, 13, 1034. [Google Scholar] [CrossRef]
- Che, S.; Men, Y. Synthetic microbial consortia for biosynthesis and biodegradation: Promises and challenges. J. Ind. Microbiol. Biotechnol. 2019, 46, 1343–1358. [Google Scholar] [CrossRef]
- Liu, J.; Avendaño, S.M. Microbial degradation of polyfluoroalkyl chemicals in the environment: A review. Environ. Int. 2013, 61, 98–114. [Google Scholar] [CrossRef]
- Mekureyaw, M.F.; Junker, A.L.; Bai, L.; Zhang, Y.; Wei, Z.; Guo, Z. Laccase based per- and polyfluoroalkyl substances degradation: Status and future perspectives. Water Res. 2025, 271, 122888. [Google Scholar] [CrossRef]
- Khan, M.F.; Murphy, C.D. Cytochrome P450 5208A3 is a promiscuous xenobiotic biotransforming enzyme in Cunninghamella elegans. Enzyme Microb. Technol. 2022, 161, 110102. [Google Scholar] [CrossRef] [PubMed]
- Kannan, U.; Ravichandran, M.K.; Monisha, M.; Krishnasamy, S.; Prabakar, P.; Darshini, D.; Sunantha, G. Short-chain PFAS: A global challenge—Environmental fate, health risks, and promising removal technologies. Results Chem. 2026, 103, 103000. [Google Scholar] [CrossRef]
- Newton, S.R.; Bowden, J.A.; Charest, N.; Jackson, S.R.; Koelmel, J.P.; Liberatore, H.K.; Lin, A.M.; Lowe, C.N.; Nieto, S.; Godri Pollitt, K.J.; et al. Filling the gaps in PFAS detection: Integrating GC-MS non-targeted analysis for comprehensive environmental monitoring and exposure assessment. Environ. Sci. Technol. Lett. 2025, 12, 104–112. [Google Scholar] [CrossRef] [PubMed]
- Khan, M.F.; Murphy, C.D. Application of microbial biofilms in biocatalysis and biodegradation. In Enzymes for Pollutant Degradation; Mulla, S.I., Bharagava, R.N., Eds.; Springer: Singapore, 2022; pp. 85–109. [Google Scholar]
- Yang, H.; Liu, J. Recent advances in microbial and bioelectrochemical strategies for degradation of per- and polyfluoroalkyl substances: Mechanisms, limitations, and research opportunities. Biotechnol. Lett. 2025, 47, 48. [Google Scholar] [CrossRef]
- Kim, M.H.; Wang, N.; McDonald, T.; Chu, K.H. Biodefluorination and biotransformation of fluorotelomer alcohols by two alkane-degrading Pseudomonas strains. Biotechnol. Bioeng. 2012, 109, 3041–3048. [Google Scholar] [CrossRef]
- Kim, M.H.; Wang, N.; Chu, K.H. 6:2 Fluorotelomer alcohol (6:2 FTOH) biodegradation by multiple microbial species under different physiological conditions. Appl. Microbiol. Biotechnol. 2014, 98, 1831–1840. [Google Scholar] [CrossRef]
- Presentato, A.; Lampis, S.; Vantini, A.; Manea, F.; Dapra, F.; Zuccoli, S.; Vallini, G. On the ability of perfluorohexane sulfonate (PFHxS) bioaccumulation by two Pseudomonas sp. strains isolated from PFAS-contaminated environmental matrices. Microorganisms 2020, 8, 92. [Google Scholar] [CrossRef]
- Yi, L.B.; Chai, L.Y.; Xie, Y.; Peng, Q.J.; Peng, Q.Z. Isolation, identification, and degradation performance of a PFOA-degrading strain. Genet. Mol. Res. 2016, 15, 235–246. [Google Scholar] [CrossRef]
- Merino, N.; Wang, M.; Ambrocio, R.; Mak, K.; O’Connor, E.; Gao, A.; Hawley, E.L.; Deeb, R.A.; Tseng, L.Y.; Mahendra, S. Fungal biotransformation of 6:2 fluorotelomer alcohol. Remediation 2018, 28, 59–70. [Google Scholar] [CrossRef]
- Chetverikov, S.P.; Sharipov, D.A.; Korshunova, T.Y.; Loginov, O.N. Degradation of perfluorooctanyl sulfonate by strain Pseudomonas plecoglossicida 2.4-D. Appl. Biochem. Microbiol. 2017, 53, 533–538. [Google Scholar] [CrossRef]
- Yang, S.H.; Shi, Y.; Strynar, M.; Chu, K.H. Desulfonation and defluorination of 6:2 fluorotelomer sulfonic acid (6:2 FTSA) by Rhodococcus jostii RHA1: Carbon and sulfur sources, enzymes, and pathways. J. Hazard. Mater. 2022, 423, 127052. [Google Scholar] [CrossRef]
- Furtado, R.X.D.S.; Sabatini, C.A.; Sakamoto, I.K.; Zaiat, M.; Azevedo, E.B. Biodegradation mechanism of perfluorooctane sulfonic acid (PFOS) in domestic sewage: Specific methanogenic activity, molecular biology, and ecotoxicological aspects. J. Water Process Eng. 2023, 51, 103453. [Google Scholar] [CrossRef]
- Fang, B.; Zhang, Y.; Chen, H.; Qiao, B.; Yu, H.; Zhao, M.; Gao, M.; Li, X.; Yao, Y.; Sun, H. Stability and biotransformation of 6:2 fluorotelomer sulfonic acid, sulfonamide amine oxide, and sulfonamide alkylbetaine in aerobic sludge. Environ. Sci. Technol. 2024, 58, 2446–2457. [Google Scholar] [CrossRef]
- Tahir, K.; Ali, A.S.; Kim, J.; Park, J.; Lee, S.; Kim, B.; Lim, Y.; Kim, G.; Lee, D.S. Enhanced biodegradation of perfluorooctanoic acid in a dual biocatalyzed microbial electrosynthesis system. Chemosphere 2023, 328, 138584. [Google Scholar] [CrossRef]
- Ochoa-Herrera, V.; Field, J.A.; Luna-Velasco, A.; Sierra-Alvarez, R. Microbial toxicity and biodegradability of perfluorooctane sulfonate (PFOS) and shorter chain perfluoroalkyl and polyfluoroalkyl substances (PFASs). Environ. Sci. Process. Impacts 2016, 18, 1236–1246. [Google Scholar] [CrossRef] [PubMed]
- Mojiri, A.; Nazari Vishkaei, M.; Ansari, H.K.; Vakili, M.; Farraji, H.; Kasmuri, N. Toxicity effects of perfluorooctanoic acid (PFOA) and perfluorooctane sulfonate (PFOS) on two green microalgae species. Int. J. Mol. Sci. 2023, 24, 2446. [Google Scholar] [CrossRef] [PubMed]
- Shaw, D.M.J.; Munoz, G.; Bottos, E.M.; Duy, S.V.; Sauvé, S.; Liu, J.; Van Hamme, J.D. Degradation and defluorination of 6:2 fluorotelomer sulfonamidoalkyl betaine and 6:2 fluorotelomer sulfonate by Gordonia sp. strain NB4-1Y under sulfur-limiting conditions. Sci. Total Environ. 2019, 647, 690–698. [Google Scholar] [CrossRef] [PubMed]
- Ding, R.; Wu, Y.; Yang, F.; Xiao, X.; Li, Y.; Tian, X.; Zhao, F. Degradation of low-concentration perfluorooctanoic acid via a microbial-based synergistic method: Assessment of the feasibility and functional microorganisms. J. Hazard. Mater. 2021, 416, 125857. [Google Scholar] [CrossRef]
- Wu, J.Y.; Gu, L.; Hua, Z.L.; Wang, D.W.; Xu, R.Y.; Ge, X.Y.; Chu, K.J. Removal of per-, poly-fluoroalkyl substances (PFAS) and multi-biosphere community dynamics in a bacteria-algae symbiotic aquatic ecosystem. Environ. Pollut. 2022, 314, 120266. [Google Scholar] [CrossRef]
- Mao, W.; Li, M.; Xue, X.; Cao, W.; Wang, X.; Xu, F.; Jiang, W. Bioaccumulation and toxicity of perfluorooctanoic acid and perfluorooctane sulfonate in marine algae Chlorella sp. Sci. Total Environ. 2023, 870, 161882. [Google Scholar] [CrossRef] [PubMed]
- Wang, P.; Zhang, M.; Lu, Y.; Meng, J.; Li, Q.; Lu, X. Removal of perfluoroalkyl acids (PFAAs) through fluorochemical industrial and domestic wastewater treatment plants and bioaccumulation in aquatic plants in river and artificial wetland. Environ. Int. 2019, 129, 76–85. [Google Scholar] [CrossRef]
- Smorada, C.M.; Sima, M.W.; Jaffé, P.R. Bacterial degradation of perfluoroalkyl acids. Curr. Opin. Biotechnol. 2024, 88, 103170. [Google Scholar] [CrossRef]
- D’Souza, G.; Shitut, S.; Preussger, D.; Yousif, G.; Waschina, S.; Kost, C. Ecology and evolution of metabolic cross-feeding interactions in bacteria. Nat. Prod. Rep. 2018, 35, 455–488. [Google Scholar] [CrossRef]
- Fritts, R.K.; McCully, A.L.; McKinlay, J.B. Extracellular metabolism sets the table for microbial cross-feeding. Microbiol. Mol. Biol. Rev. 2021, 85, e00187-20. [Google Scholar] [CrossRef]
- Park, J.; Huang, S.; Koel, B.E.; Jaffé, P.R. Enhanced Feammox activity and perfluorooctanoic acid (PFOA) degradation by Acidimicrobium sp. strain A6 using PAA-coated ferrihydrite as an electron acceptor. J. Hazard. Mater. 2023, 459, 132039. [Google Scholar] [CrossRef] [PubMed]
- Lee, J.; Jo, S.; Rahul, K.; Lee, B.; Kim, T.; Park, J. Application of electric potential and Fe(III) to stimulate perfluorooctanoic acid (PFOA) degradation using mixed culture anammox granules. Process Saf. Environ. Prot. 2024, 186, 850–860. [Google Scholar] [CrossRef]
- Bhagwat, G.; Tran, T.K.A.; Lamb, D.; Senathirajah, K.; Grainge, I.; O’Connor, W.; Juhasz, A.; Palanisami, T. Biofilms enhance the adsorption of toxic contaminants on plastic microfibers under environmentally relevant conditions. Environ. Sci. Technol. 2021, 55, 8877–8887. [Google Scholar] [CrossRef]
- Khan, M.F.; Murphy, C.D. Cunninghamella spp. produce mammalian-equivalent metabolites from fluorinated pyrethroid pesticides. AMB Express 2021, 11, 101. [Google Scholar] [CrossRef] [PubMed]
- Khan, M.F. Microbial remediation of agrochemical-contaminated soils: Enzymatic mechanisms, quorum sensing, and emerging opportunities. Integr. Environ. Assess. Manag. 2025, vjaf167. [Google Scholar] [CrossRef]
- Edwards, S.J.; Kjellerup, B.V. Applications of biofilms in bioremediation and biotransformation of persistent organic pollutants, pharmaceuticals/personal care products, and heavy metals. Appl. Microbiol. Biotechnol. 2013, 97, 9909–9921. [Google Scholar] [CrossRef]
- Skinner, J.P.; Raderstorf, A.; Rittmann, B.E.; Delgado, A.G. Biotransforming the “forever chemicals”: Trends and insights from microbiological studies on PFAS. Environ. Sci. Technol. 2025, 59, 5417–5430. [Google Scholar] [CrossRef]
- Dong, S.; Yan, P.F.; Mezzari, M.P.; Abriola, L.M.; Pennell, K.D.; Capiro, N.L. Using network analysis and predictive functional analysis to explore the fluorotelomer biotransformation potential of soil microbial communities. Environ. Sci. Technol. 2024, 58, 7480–7492. [Google Scholar] [CrossRef]
- Chester, A.L.H.; Gallagher, N.; Huang, S.; Jaffé, P.R.; Novak, P.J. Stormwater applications of zeolite-coated biofilm carriers for ammonium removal with possible applications to PFAS biotransformation. Environ. Sci. Water Res. Technol. 2023, 9, 3227–3242. [Google Scholar] [CrossRef]
- Lyu, Y.; Wang, B.; Du, X.; Guo, B.; Brusseau, M.L. Air-water interfacial adsorption of C4–C10 perfluorocarboxylic acids during transport in unsaturated porous media. Sci. Total Environ. 2022, 831, 154905. [Google Scholar] [CrossRef]
- Xu, S.; Zhu, P.; Wang, C.; Zhang, D.; Zhang, M.; Pan, X. Nanoscale exopolymer reassembly-trap mechanism determines contrasting PFOS exposure patterns in aquatic animals with different feeding habitats: A nano-visualization study. J. Hazard. Mater. 2024, 478, 135515. [Google Scholar] [CrossRef]
- Ruiz-Urigüen, M.; Shuai, W.; Jaffé, P.R. Electrode Colonization by the Feammox Bacterium Acidimicrobiaceae sp. Strain A6. Appl. Environ. Microbiol. 2018, 84, e02029-18. [Google Scholar] [CrossRef] [PubMed]
- Sima, M.W.; Huang, S.; Jaffé, P.R. Modeling the kinetics of perfluorooctanoic and perfluorooctane sulfonic acid biodegradation by Acidimicrobium sp. strain A6 during the Feammox process. J. Hazard. Mater. 2023, 448, 130903. [Google Scholar] [CrossRef] [PubMed]
- Osadebe, A.U.; Nwankwo, C.C. Hydrocarbon-utilising microorganisms for in vitro degradation of perfluorohexane sulphonate (PFHxS). J. Biochem. Microbiol. Biotechnol. 2025, 13, 58–63. [Google Scholar] [CrossRef]
- Yi, L.; Peng, Q.; Liu, D.; Zhou, L.; Tang, C.; Zhou, Y.; Chai, L. Enhanced degradation of perfluorooctanoic acid by a genome shuffling-modified Pseudomonas parafulva YAB-1. Environ. Technol. 2019, 40, 3354–3363. [Google Scholar] [CrossRef]
- Chetverikov, S.; Hkudaygulov, G.; Sharipov, D.; Starikov, S.; Chetverikova, D. Biodegradation potential of C7–C10 perfluorocarboxylic acids and data from the genome of a new strain of Pseudomonas mosselii 5(3). Toxics 2023, 11, 1001. [Google Scholar] [CrossRef] [PubMed]
- Khusnutdinova, A.N.; Batyrova, K.A.; Brown, G.; Fedorchuk, T.; Chai, Y.S.; Skarina, T.; Flick, R.; Petit, A.P.; Savchenko, A.; Stogios, P.; et al. Structural insights into hydrolytic defluorination of difluoroacetate by microbial fluoroacetate dehalogenases. FEBS J. 2023, 290, 4966–4983. [Google Scholar] [CrossRef]
- Demin, K.A.; Prazdnova, E.V.; Minkina, T.M.; Gorovtsov, A.V. Sulfate-reducing bacteria unearthed: Ecological functions of the diverse prokaryotic group in terrestrial environments. Appl. Environ. Microbiol. 2024, 90, e01390-23. [Google Scholar] [CrossRef]
- Huang, S.; Pilloni, G.; Key, T.A.; Jaffé, P.R. Defluorination of various perfluoroalkyl acids and selected PFOA and PFOS monomers by Acidimicrobium sp. strain A6 enrichment cultures. J. Hazard. Mater. 2024, 480, 136426. [Google Scholar] [CrossRef]
- Khan, M.F. Enhancing stability of enzymes for industrial applications: Molecular insights and emerging approaches. World J. Microbiol. Biotechnol. 2025, 41, 362. [Google Scholar] [CrossRef]
- Gao, Z.; Tan, J.; Khan, M.F.; Chugh, G.; Schmidt, O.; Ma, L.; Bu, D. Emerging microbial and enzymatic approaches for sustainable antibiotic biodegradation in livestock manure to mitigate water pollution risks. Water 2025, 17, 2960. [Google Scholar] [CrossRef]
- Eş, I.; Gavahian, M.; Marti-Quijal, F.J.; Lorenzo, J.M.; Khaneghah, A.M.; Tsatsanis, C.; Kampranis, S.C.; Barba, F.J. The application of CRISPR-Cas9 genome editing machinery in food and agricultural science: Current status, future perspectives, and associated challenges. Biotechnol. Adv. 2019, 37, 410–421. [Google Scholar] [CrossRef] [PubMed]
- Olawade, D.B.; Oladipo, P.; Ajisafe, O.; Egbon, E.; Fapohunda, O.; Kade, A. Genetically engineered microorganisms: A promising frontier for PFAS bioremediation. Process Saf. Environ. Prot. 2025, 202, 107699. [Google Scholar] [CrossRef]
- Lamarre, T.; Leyendecker, A.C.; Moran, E.M.; Replogle, C.J.; Suder, K.C.; Replogle, J.B. Modeling dehalogenase PceA to evaluate pollutant organohalide biodegradation. FASEB J. 2022, 36, R4536. [Google Scholar] [CrossRef]
- Stockbridge, R.B.; Wackett, L.P. The link between ancient microbial fluoride resistance mechanisms and bioengineering organofluorine degradation or synthesis. Nat. Commun. 2024, 15, 4593. [Google Scholar] [CrossRef]
- Cho, S.; Shin, J.; Cho, B.K. Applications of CRISPR/Cas system to bacterial metabolic engineering. Int. J. Mol. Sci. 2018, 19, 1089. [Google Scholar] [CrossRef]
- Olawade, D.B.; Ijiwade, J.O.; Fapohunda, O.; Ige, A.O.; Olajoyetan, D.O.; Wada, O.Z. Predictive modeling of PFAS behavior and degradation in novel treatment scenarios: A review. Process Saf. Environ. Prot. 2025, 196, 106869. [Google Scholar] [CrossRef]
- Lensch, A.; Lindfors, H.A.; Duwenig, E.; Fleischmann, T.; Hjort, C.; Kärenlampi, S.O.; McMurtry, L.; Melton, E.D.; Andersen, M.R.; Skinner, R.; et al. Safety aspects of microorganisms deliberately released into the environment. EFB Bioecon. J. 2024, 4, 100061. [Google Scholar] [CrossRef]
- Mariam, I.; Rova, U.; Christakopoulos, P.; Matsakas, L.; Patel, A. Data-driven synthetic microbes for sustainable future. Syst. Biol. Appl. 2025, 11, 74. [Google Scholar] [CrossRef]
- Hari, A.; Balik-Meisner, M.R.; Mav, D.; Phadke, D.P.; Scholl, E.H.; Shah, R.R.; Casey, W.; Auerbach, S.S.; Wallqvist, A.; Pannala, V.R. Genome-scale metabolic modeling predicts PFAS-mediated early perturbations in liver metabolism. Toxics 2025, 13, 684. [Google Scholar] [CrossRef]
- Tarzi, C.; Zampieri, G.; Sullivan, N.; Angione, C. Emerging methods for genome-scale metabolic modeling of microbial communities. Trends Endocrinol. Metab. 2024, 35, 533–548. [Google Scholar] [CrossRef]
- Gu, C.; Kim, G.B.; Kim, W.J.; Kim, H.U.; Lee, S.Y. Current status and applications of genome-scale metabolic models. Genome Biol. 2019, 20, 121. [Google Scholar] [CrossRef] [PubMed]
- Hosseinzadeh, A.; Altaee, A.; Li, X.; Zhou, J.L. Machine learning-based modeling and analysis of PFAS-controlling systems in protecting water resources. Curr. Opin. Chem. Eng. 2023, 42, 100983. [Google Scholar] [CrossRef]
- Khan, M.F.; Khan, M.T. AI-driven enzyme engineering: Emerging models and next-generation biotechnological applications. Molecules 2026, 31, 45. [Google Scholar] [CrossRef] [PubMed]
- Yang, Y.; Yang, Z.; Pang, X.; Cao, H.; Sun, Y.; Wang, L.; Zhou, Z.; Wang, P.; Liang, Y.; Wang, Y. Molecular designing of environmentally friendly PFAS based on deep learning and generative models. Sci. Total Environ. 2024, 953, 176095. [Google Scholar] [CrossRef] [PubMed]
- Song, H.S.; Cannon, W.R.; Beliaev, A.S.; Konopka, A. Mathematical modeling of microbial community dynamics: A methodological review. Processes 2014, 2, 711–752, Correction in Processes 2015, 3, 699–700. [Google Scholar] [CrossRef]
- Sorn, S.; Matsuura, N.; Honda, R. Metagenome-assembled genomes and metatranscriptome analysis of PFOS-reducing bacteria enriched from activated sludge. Environ. Microbiol. 2025, 27, e70087. [Google Scholar] [CrossRef]
- Orozco-Mosqueda, M.D.C.; Kumar, A.; Babalola, O.O.; Santoyo, G. Rhizobiome transplantation: A novel strategy beyond single-strain/consortium inoculation for crop improvement. Plants 2023, 12, 3226. [Google Scholar] [CrossRef]
- Zheng, X.; Li, J.; Ouyang, Y.; Wu, G.; He, X.; Wang, D.; Zhang, X.X. Ecological linkages between top-down designed benzothiazole-degrading consortia and selection strength. Water Res. 2024, 267, 122491. [Google Scholar] [CrossRef]
- Kumar, A.; Shaikh, W.A.; Maqsood, H.M.; Parikh, S.J.; Biswas, J.K. Harnessing sustainable biochar-based composites for PFAS removal from wastewater. Curr. Opin. Environ. Sci. Health 2025, 43, 100594. [Google Scholar] [CrossRef]
- Askeland, M.; Clarke, B.O.; Cheema, S.A.; Mendez, A.; Gasco, G.; Paz-Ferreiro, J. Biochar sorption of PFOS, PFOA, PFHxS and PFHxA in two soils with contrasting texture. Chemosphere 2020, 249, 126072. [Google Scholar] [CrossRef]
- Sørmo, E.; Silvani, L.; Bjerkli, N.; Hagemann, N.; Zimmerman, A.R.; Hale, S.E.; Hansen, C.B.; Hartnik, T.; Cornelissen, G. Stabilization of PFAS-contaminated soil with activated biochar. Sci. Total Environ. 2021, 763, 144034. [Google Scholar] [CrossRef]
- Zhang, W.; Liang, Y. Performance of different sorbents toward stabilizing per- and polyfluoroalkyl substances (PFAS) in soil. Environ. Adv. 2022, 8, 100217. [Google Scholar] [CrossRef]
- Liang, D.; Li, C.; Chen, H.; Sørmo, E.; Cornelissen, G.; Gao, Y.; Reguyal, F.; Sarmah, A.; Ippolito, J.; Kammann, C.; et al. A critical review of biochar for the remediation of PFAS-contaminated soil and water. Sci. Total Environ. 2024, 951, 174962. [Google Scholar] [CrossRef]
- LaFond, J.A.; Hatzinger, P.B.; Guelfo, J.L.; Millerick, K.; Jackson, W.A. Bacterial transformation of per- and polyfluoroalkyl substances: A review. Environ. Sci. Adv. 2023, 2, 1019–1041. [Google Scholar] [CrossRef]
- Sun, T.; Wang, F.; Xie, Y.; Liu, X.; Yu, H.; Lv, M.; Zhang, Y.; Xu, Y. Biochar remediation of PFOA-contaminated soil decreased the microbial network complexity. J. Environ. Chem. Eng. 2023, 11, 109239. [Google Scholar] [CrossRef]
- Liu, H.; Hu, W.; Li, X.; Hu, F.; Liu, Y.; Xie, T.; Liu, B.; Xi, Y.; Su, Z.; Zhang, C. Effects of PFAS on root and rhizosphere bacteria: Phytotoxicity, phyto-microbial remediation, risk assessment. Chemosphere 2022, 289, 133137. [Google Scholar] [CrossRef] [PubMed]
- Wanzek, T.; Hawley, E.; Merrill, J.; Deeb, R.; Sedlak, D.; Field, J.; Higgins, C. Multiple lines of evidence approach to demonstrate effectiveness of PFAS remediation technologies. Groundw. Monit. Remediat. 2024, 44, 30–38. [Google Scholar] [CrossRef]
- Gao, T.; Li, Y.; Yang, N.; Xiong, W.; Liang, X.; Wang, Y. Plant-rhizosphere microbe interactions and their roles in nitrogen cycles under periodic flooding: From cooperation mechanisms to ecological responses. Crit. Rev. Environ. Sci. Technol. 2025, 55, 1358–1382. [Google Scholar] [CrossRef]
- Wang, Y.; Yang, Z.; Xiu, H.; Fan, F.; An, P.; Cui, Y.; Wang, Y.; Yao, W. Recent progress in advanced catalytic strategies for C–F bond cleavage in waste refrigerants: A review. Adv. Funct. Mater. 2025, 35, 2420883. [Google Scholar] [CrossRef]
- Toda, M.J.; Ghosh, A.P.; Parmar, S.; Kozlowski, P.M. Computational investigations of B12-dependent enzymatic reactions. In Methods in Enzymology; Academic Press: Cambridge, MA, USA, 2022; pp. 119–150. [Google Scholar]
- Borresen, M.; Breedveld, G.D.; Rike, A.G. Assessment of the biodegradation potential of hydrocarbons in contaminated soil from a permafrost site. Cold Reg. Sci. Technol. 2003, 37, 137–149. [Google Scholar] [CrossRef]
- Clagnan, E.; Costanzo, M.; Visca, A.; Di Gregorio, L.; Tabacchioni, S.; Colantoni, E.; Sevi, F.; Sbarra, F.; Bindo, A.; Nolfi, L.; et al. Culturomics- and metagenomics-based insights into the soil microbiome preservation and application for sustainable agriculture. Front. Microbiol. 2024, 15, 1473666. [Google Scholar] [CrossRef]
- Campos-Pereira, H.; Kleja, D.B.; Ahrens, L.; Enell, A.; Kikuchi, J.; Pettersson, M.; Gustafsson, J.P. Effect of pH, surface charge, and soil properties on the solid–solution partitioning of PFASs in temperate soils. Chemosphere 2023, 321, 138133. [Google Scholar] [CrossRef]
- Zhang, S.; Cao, Z.; Liu, S.; Hao, Z.; Zhang, X.; Sun, G.; Ge, Y.; Zhang, L.; Chen, B. Soil fungal diversity, community structure, and network stability in the southwestern Tibetan Plateau. J. Fungi 2025, 11, 389. [Google Scholar] [CrossRef]
- Khan, M.F.; Murphy, C.D. Environmental remediation by novel nanomaterials and fungi with high-degradation capacity of hazardous contaminants. In Bio and Nanoremediation of Hazardous Environmental Pollutants; CRC Press: Boca Raton, FL, USA, 2023; pp. 283–310. [Google Scholar]
- Mukherjee, A.; Chouhan, G.K.; Gaurav, A.K.; Jaiswal, D.K.; Verma, J.P. Development of indigenous microbial consortium for biocontrol management. In New and Future Developments in Microbial Biotechnology and Bioengineering; Elsevier: Amsterdam, The Netherlands, 2021; pp. 91–104. [Google Scholar]
- Liu, C.; Zhu, X.; You, L.; Gin, K.Y.H.; Chen, H.; Chen, B. Per/polyfluoroalkyl substances modulate plasmid transfer of antibiotic resistance genes: A balance between oxidative stress and energy support. Water Res. 2023, 240, 120086. [Google Scholar] [CrossRef]
- Katiyar, P.; Pandey, N.; Sahu, K.K. Biological approaches of fluoride remediation: Potential for environmental clean-up. Environ. Sci. Pollut. Res. 2020, 27, 13044–13055. [Google Scholar] [CrossRef] [PubMed]
- Jeong, S.; Kim, D.; Yoon, H.O. Stabilization of fluorine in soil using calcium hydroxide and its potential human health risk. Environ. Eng. Res. 2019, 24, 654–661. [Google Scholar] [CrossRef]
- Lee, J.C.; Smaoui, S.; Duffill, J.; Marandi, B.; Varzakas, T. Forever chemicals PFAS: Global impact and cascading consequences of systems failure. J. Environ. Manag. 2025; in press. [Google Scholar] [CrossRef]






| PFAS Type | Consortium/Strain | Source of Consortium/Strain | Experimental Conditions | Degradation Products | Degradation Efficiency (%) | Reference |
|---|---|---|---|---|---|---|
| Single Strains | ||||||
| 8:2 FTOH | Pseudomonas strains: Pseudomonas butanovora (butane oxidizer) and Pseudomonas oleovorans (octane oxidizer) | Environmental bacterial isolates (octane-contaminated and 1-butanol-contaminated sites) | 30 °C, aerobic, 40 mg/L, 28 d | 8:2 FTUCA, 7:2 ketone, 7:2 sFTOH, PFOA, PFHxA | 78% | [60] |
| 6:2 FTOH | Three alkane-degrader (Mycobacterium vaccae JOB5, Pseudomonas oleovorans, and Pseudomonas butanovora) and one fluoroacetate-degrader (Pseudomonas fluorescens DSM 8341) | Soil isolate | pH 7, aerobic, 4.125–100 mg/L, 28–90 d | 5:3 FTCA, PFHxA, PFBA, 4:3 FTCA, PFPeA | 88% | [61] |
| PFHxS | Pseudomonas strains PS27, PDMF10 | PFAS-contaminated environmental matrices | 27 °C, aerobic, 20 mg/L, 5 d | PFHxS | 40% | [62] |
| PFOA | Acidimicrobium sp. A6 | Acidic wetland soil isolate | pH 4.5–5, anaerobic, 25–30 °C, 18–150 d; electrochemical & enrichment setups | HFBA, PFPeA, PFHxA, PFHpA, PFBA, F− | 50–77% | [10,11] |
| PFOA | Pseudomonas parafulva YAB1 | Soil near a perfluorinated compound production plant | pH 7, 30 °C, inorganic salts + 1 g/L glucose, aerobic, 4 d | F− | 48% | [63] |
| 6:2 FTOH | Gloeophyllum trabeum | White-rot fungi | 30 °C, aerobic, 3 mg/L, 28 d | PFCAs and 6:2 FTOH metabolites | 12% and 51% | [64] |
| PFOS | Pseudomonas plecoglossicida 2,4-D | waste from petrochemical production | pH 7, 28 °C, mineral medium, 6 d | PFOS | 75% | [65] |
| 6:2 FTSA | Rhodococcus jostii RHA1 | Lindane-contaminated soil in Japan | pH 7, 30 °C, sulfur-free mineral salt medium, aerobic, 7 d | 6:2 FTUSA, 6:2 FTOH and 6:2 FTSA | 99% | [66] |
| 6:2 FTOH, PFOA | Cunninghamella elegans | Soil fungi used for xenobiotic degradation | 28–30 °C, 150 rpm, 72 h incubation; 0.1 mg/L of 6:2 FTOH, PFOA | 5:3 FTCA is the major product, with another 10 more short-chain products | 100% biotransformation of 6:2 FTOH; 90% biotransformation of PFOA | [36,50,55] |
| Microbial Consortia | ||||||
| PFOS | Bacterial consortium: Paracoccus (72%), Hyphomicrobium (24%), and Micromonosporaceae (4%) | Activated sludge | Encapsulated activated sludge consortium; initial PFAS 2 mg/L. | PFOS, PFBS, 3,3,3-trifluoropropionic acid | 52–74% | [13] |
| PFOS | Microbial consortium (Archaea and Bacteria Domains) | Domestic sewage | PFOS (100 μg L−1) incubated for 10 days at 35 °C and pH 6 | PFOS: C4F9CHO (2,2,3,3,4,4,5,5,5-nonafluoropentanal) | 24% | [67] |
| 6:2 FTNO, 6:2 FTSA, 6:2 FTAA | Aerobic sludge microcosms | Activated sludge | 25 °C, 100 d, 10 μg/L | Multiple products from FTSA (7 products) and FTNO (15 products) | 100% | [68] |
| PFOA | Microbial electrosynthesis system (MES) | Mixed microbial biofilm | 35 °C, 5 d, 1.5–10 ppm | PFOA: C6HF13, C3F3H4COOH, C6F3COOH, C6F9H4COOH | 91% within 120 h | [69] |
| PFOS, PFBS, TFA, 6:2 FTSA | Anaerobic microbial consortium | Mixed anaerobic wastewater sludge | up to 500 mg L−1 PFOS; 110 weeks of incubation | Anaerobic (≤500 mg/L PFAS, FTSA; 3.4-year incubation for PFOS) or aerobic (32-week incubation for short-chain PFASs: PFBS and TFA). | No detectable microbial degradation | [70] |
| PFOA, PFOS | Chlorella vulgaris and Scenedesmus obliquus | Algal consortium | pH 7, 25 °C, 16:8 h light/dark, 90 μmol photons/m2s; 10 mg/L; 7 d | PFOA, PFOS | 11–16% | [71] |
| AFFFs, 6:2 FTSA, and 6:2 FTAB | Gordonia sp. strain NB4-1Y | Aerobic soil | 7-day, 34.2 mg/L | FTAB, FTSA, and AFFFs | 99.9% of 60 μM 6:2 FTSA, 70.4% of 60 μM 6:2 FTAB | [72] |
| PFOA | Aerobic microbial community | Stenotrophomonas. Bacillus, Pseudomonas, and Brevundimonas | 500 µg/L, 96 h | PFOA, TOC, | 79.7 ± 9.4%, 57.4 ± 3.4%, and 57.6 ± 12.9% | [73] |
| PFASs, PFBA | Mixed algal solution (Chlorophyta + Bacillariophyta) | Bacteria-algae symbiotic aquatic ecosystem | PFAS 2–200 μg/L, 90 d | PFBA, PFTeDA | PFPeA (13.21–13.99%), (10.04–10.50%), PFBA (10.38–14.68%), and PFTeDA (10.33–15.96%) | [74] |
| PFOA, PFOS | Chlorella sp. (algal consortium) | Algal culture | 23 °C, 12:12 h light/dark (5000 l×); 320 mg/L PFOA, 160 mg/L PFOS; 7 d | PFOA and PFOS uptake | PFOA uptake: 0.89–0.66%, PFOS uptake: 1.21–0.95% | [75] |
| PFAAs, PFBA, PFBS, PFOA | Ulothrix + Potamogeton crispus (phytoremediation) | Submerged aquatic plants | PFAS 21.5 mg/L | Higher BAF of PFBA and PFBS, while lower BAF of PFOA and PFOS | 40% and 81% | [76] |
Disclaimer/Publisher’s Note: The statements, opinions and data contained in all publications are solely those of the individual author(s) and contributor(s) and not of MDPI and/or the editor(s). MDPI and/or the editor(s) disclaim responsibility for any injury to people or property resulting from any ideas, methods, instructions or products referred to in the content. |
© 2026 by the authors. Licensee MDPI, Basel, Switzerland. This article is an open access article distributed under the terms and conditions of the Creative Commons Attribution (CC BY) license.
Share and Cite
Kareem, H.A.; Khan, M.F. Current Research Advances and Future Prospects on Microbial Consortia for Sustainable PFAS Remediation. Int. J. Mol. Sci. 2026, 27, 2084. https://doi.org/10.3390/ijms27042084
Kareem HA, Khan MF. Current Research Advances and Future Prospects on Microbial Consortia for Sustainable PFAS Remediation. International Journal of Molecular Sciences. 2026; 27(4):2084. https://doi.org/10.3390/ijms27042084
Chicago/Turabian StyleKareem, Hafiz Abdul, and Mohd Faheem Khan. 2026. "Current Research Advances and Future Prospects on Microbial Consortia for Sustainable PFAS Remediation" International Journal of Molecular Sciences 27, no. 4: 2084. https://doi.org/10.3390/ijms27042084
APA StyleKareem, H. A., & Khan, M. F. (2026). Current Research Advances and Future Prospects on Microbial Consortia for Sustainable PFAS Remediation. International Journal of Molecular Sciences, 27(4), 2084. https://doi.org/10.3390/ijms27042084

