NX210c Demonstrates Therapeutic Potential to Restore Blood–Brain Barrier in a QSP Model of Relapsing–Remitting Multiple Sclerosis
Abstract
1. Introduction
2. Results
2.1. Model Development and Validation
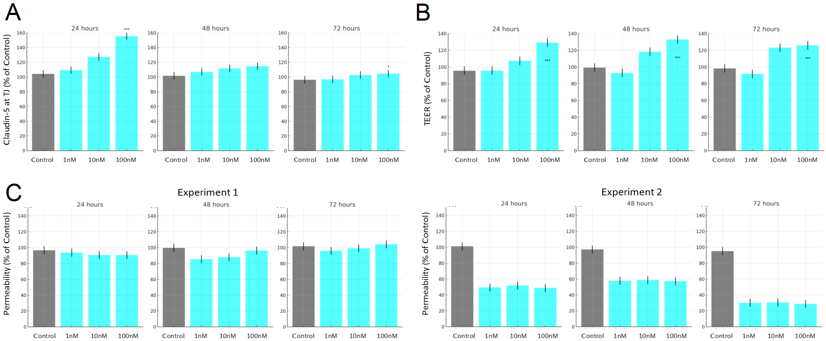
2.1.1. The Blood–Brain Barrier Model and NX210c Pharmacodynamic Effects
2.1.2. Validation of NX210c Mechanism of Action
2.1.3. Clinical Pharmacokinetic Predictions After NX210 and NX210c Injection
2.1.4. Integration with the MS TreatSim Platform
2.2. Model Simulations
2.2.1. NX210c Treatment Is Predicted to Slow BBB Decline or Disruption in Healthy Subjects and RRMS Patients
2.2.2. NX210c Single-Dose Administration Reduces Disease Activity in Virtual RRMS Patients
2.2.3. Repeated in Silico Treatment Cycles of NX210c Alleviate RRMS Long-Term Symptoms
2.2.4. Synergistic Potential of NX210c in Combination with Standard of Care
3. Discussion
4. Materials and Methods
4.1. Model Development
4.2. BBB Physiology
4.3. BBB Pathophysiology
4.4. NX210c Effects on BBB Function
4.4.1. NX210c Pharmacokinetics
4.4.2. NX210c Mechanism of Action
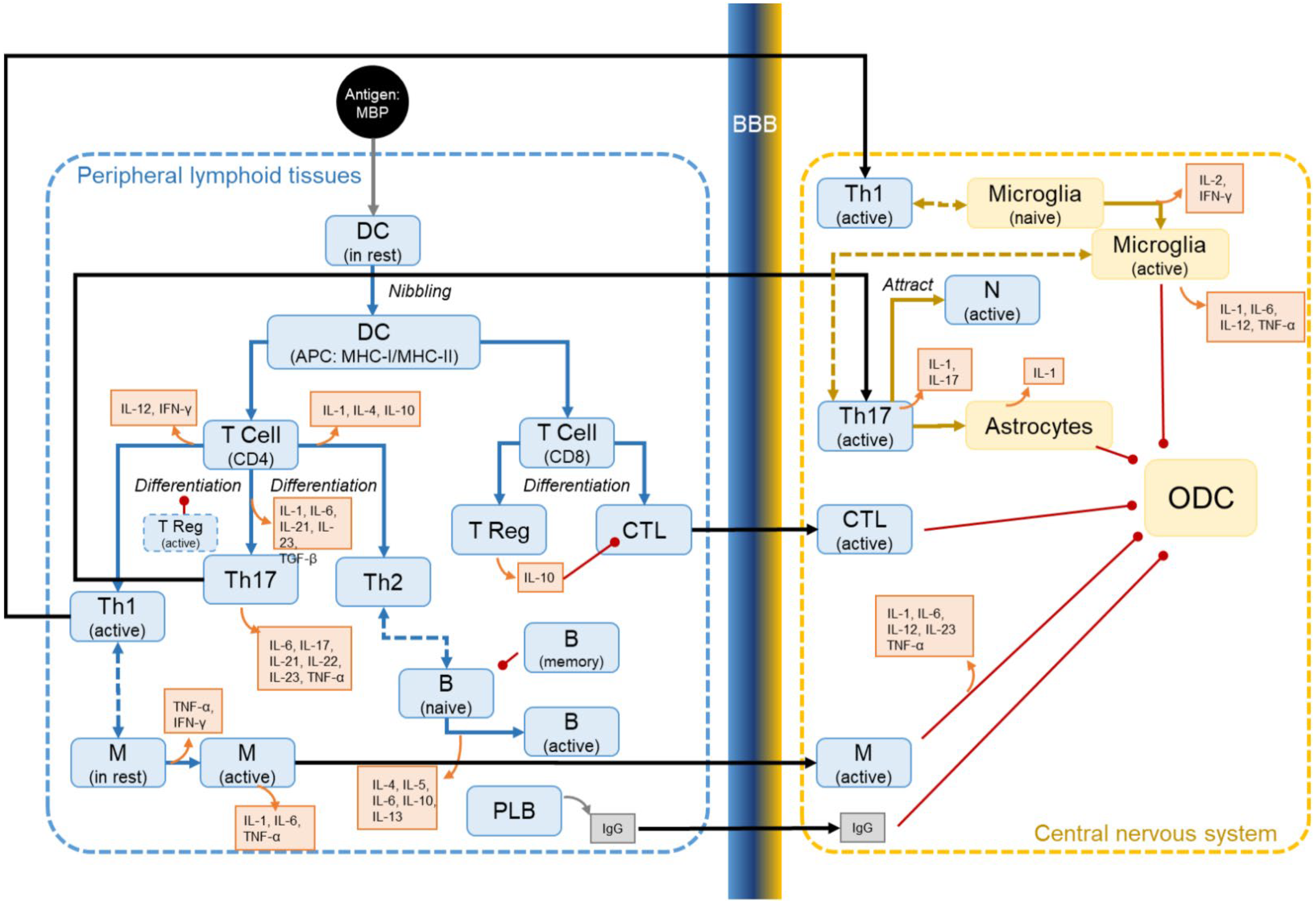
4.5. Integration of the BBB Model with Multiple Sclerosis Model
4.6. Simulation of Clinical Scenarios
4.6.1. The BBB in Aging Subjects Treated with NX210c
4.6.2. Effect of NX210c on Virtual RRMS Patients
- NX210c administration via intravenous infusion: 5 mg/kg or 10 mg/kg thrice-weekly over 4 weeks [14];
- Interferon β-1a administration via subcutaneous self-injection: 22 mcg three times a week [53];
- Teriflunomide administration via oral tablets: 14 mg once a day [28];
- Natalizumab administration via intravenous infusion: 300 mg, once every 4 weeks [28];
- Ocrelizumab administration via intravenous infusion: 600 mg, once every 6 months [54];
- Cladribine administration via oral tablets: 10 mg according to body weight (3.5 mg/kg) over 2 years [55]. The dose is administered by 16–20 tablets taken on the first 5 days of months 1, 2, 13, and 14 of treatment.
5. Conclusions
Supplementary Materials
Author Contributions
Funding
Institutional Review Board Statement
Informed Consent Statement
Data Availability Statement
Conflicts of Interest
Abbreviations
| BBB | Blood–brain barrier |
| BMEC | Brain microvascular endothelial cells |
| CNS | Central nervous system |
| MAD | Multiple ascending dose |
| MoA | Mechanism of action |
| MS | Multiple sclerosis |
| MS TreatSim | Multiple Sclerosis Treatment Simulator |
| QSP | Quantitative systems pharmacology |
| RRMS | Relapsing–remitting multiple sclerosis |
| SAD | Single ascending dose |
| SoC | Standard of care |
| TEER | Transendothelial electrical resistance |
| TJP | Tight junction protein |
References
- Argueti-Ostrovsky, S.; Alfahel, L.; Kahn, J.; Israelson, A. All Roads Lead to Rome: Different Molecular Players Converge to Common Toxic Pathways in Neurodegeneration. Cells 2021, 10, 2438. [Google Scholar] [CrossRef] [PubMed]
- Toader, C.; Tataru, C.P.; Munteanu, O.; Serban, M.; Covache-Busuioc, R.A.; Ciurea, A.V.; Enyedi, M. Decoding Neurodegeneration: A Review of Molecular Mechanisms and Therapeutic Advances in Alzheimer’s, Parkinson’s, and ALS. Int. J. Mol. Sci. 2024, 25, 12613. [Google Scholar] [CrossRef] [PubMed]
- Ali, N.; Sayeed, U.; Shahid, S.M.A.; Akhtar, S.; Khan, M.K.A. Molecular mechanisms and biomarkers in neurodegenerative disorders: A comprehensive review. Mol. Biol. Rep. 2025, 52, 337. [Google Scholar] [CrossRef] [PubMed]
- Liu, J.; Duan, W.; Deng, Y.; Zhang, Q.; Li, R.; Long, J.; Ahmed, W.; Gu, C.; Qiu, Y.; Cai, H.; et al. New Insights into Molecular Mechanisms Underlying Neurodegenerative Disorders. J. Integr. Neurosci. 2023, 22, 58. [Google Scholar] [CrossRef]
- Knox, E.G.; Aburto, M.R.; Clarke, G.; Cryan, J.F.; O’Driscoll, C.M. The blood-brain barrier in aging and neurodegeneration. Mol. Psychiatry 2022, 27, 2659–2673. [Google Scholar] [CrossRef]
- Zhao, Y.; Huang, Y.; Cao, Y.; Yang, J. Astrocyte-Mediated Neuroinflammation in Neurological Conditions. Biomolecules 2024, 14, 1204. [Google Scholar] [CrossRef]
- van Langelaar, J.; Rijvers, L.; Smolders, J.; van Luijn, M.M. B and T Cells Driving Multiple Sclerosis: Identity, Mechanisms and Potential Triggers. Front. Immunol. 2020, 11, 760. [Google Scholar] [CrossRef]
- Hemmer, B.; Kerschensteiner, M.; Korn, T. Role of the innate and adaptive immune responses in the course of multiple sclerosis. Lancet Neurol. 2015, 14, 406–419. [Google Scholar] [CrossRef]
- Lemarchant, S.; Engelhardt, B.; Cicchetti, F.; Bix, G.J.; Janus, A.; Godfrin, Y.; Blasco, H.; Campbell, M.; de Rus Jacquet, A. Restoring brain barriers: An innovative approach for treating neurological disorders. Fluids Barriers CNS 2025, 22, 72. [Google Scholar] [CrossRef]
- Tregub, P.P.; Bystrov, D.A.; Kushnir, I.A.; Korsakova, S.A.; Yurchenko, S.O.; Salmina, A.B. Blood-brain barriers and drug pharmacokinetics: Mechanisms and models. Eur. J. Pharmacol. 2025, 1003, 177872. [Google Scholar] [CrossRef]
- Balasa, R.; Barcutean, L.; Mosora, O.; Manu, D. Reviewing the Significance of Blood-Brain Barrier Disruption in Multiple Sclerosis Pathology and Treatment. Int. J. Mol. Sci. 2021, 22, 8370. [Google Scholar] [CrossRef] [PubMed]
- Zierfuss, B.; Larochelle, C.; Prat, A. Blood–brain barrier dysfunction in multiple sclerosis: Causes, consequences, and potential effects of therapies. Lancet Neurol. 2024, 23, 95–109. [Google Scholar] [CrossRef] [PubMed]
- Lemarchant, S.; Sourioux, M.; Le Douce, J.; Henriques, A.; Callizot, N.; Hugues, S.; Farinelli, M.; Godfrin, Y. NX210c Peptide Promotes Glutamatergic Receptor-Mediated Synaptic Transmission and Signaling in the Mouse Central Nervous System. Int. J. Mol. Sci. 2022, 23, 8867. [Google Scholar] [CrossRef] [PubMed]
- Bourdès, V.; Dogterom, P.; Aleman, A.; Parmantier, P.; Colas, D.; Lemarchant, S.; Marie, S.; Chou, T.; Abd-Elaziz, K.; Godfrin, Y. Safety, Tolerability, Pharmacokinetics and Initial Pharmacodynamics of a Subcommissural Organ-Spondin-Derived Peptide: A Randomized, Placebo-Controlled, Double-Blind, Single Ascending Dose First-in-Human Study. Neurol. Ther. 2022, 11, 1353–1374. [Google Scholar] [CrossRef]
- Le Douce, J.; Delétage, N.; Bourdès, V.; Lemarchant, S.; Godfrin, Y. Subcommissural Organ-Spondin-Derived Peptide Restores Memory in a Mouse Model of Alzheimer’s Disease. Front. Neurosci. 2021, 15, 651094. [Google Scholar] [CrossRef]
- Sutherland, T.C.; Lemarchant, S.; Douthitt, A.J.; Lopez, A.H.; Kuhlman, L.; Horvat, D.; Sefiani, A.; Johnson, S.M.; Hassan, Z.; Bachir, N.; et al. SCO-Spondin-Derived Peptide NX210 Promotes Functional Recovery after Spinal Cord Injury in Mice. J. Neurotrauma 2025, 42, 2163–2177. [Google Scholar] [CrossRef]
- Janus, A.; Dumas, D.; Le Douce, J.; Marie, S.; Pasculli, G.; Bambury, P.; Lemarchant, S.; Kremer, P.; Godfrin, Y. Safety, Tolerability and Pharmacokinetic-Pharmacodynamic Relationship of NX210c Peptide in Healthy Elderly Volunteers: Randomized, Placebo-Controlled, Double-Blind, Multiple Ascending Dose Study. Neurol. Ther. 2024, 14, 357. [Google Scholar] [CrossRef]
- Ramanujan, S.; Gadkar, K.; Kadambi, A. Quantitative Systems Pharmacology: Applications and Adoption in Drug Development. In Systems Pharmacology and Pharmacodynamics; AAPS Advances in the Pharmaceutical Sciences Series; Springer: Cham, Switzerland, 2016; Volume 23, pp. 27–52. [Google Scholar] [CrossRef]
- Bai, J.P.F.; Schmidt, B.J.; Gadkar, K.G.; Damian, V.; Earp, J.C.; Friedrich, C.; van der Graaf, P.H.; Madabushi, R.; Musante, C.J.; Naik, K.; et al. FDA-Industry Scientific Exchange on assessing quantitative systems pharmacology models in clinical drug development: A meeting report, summary of challenges/gaps, and future perspective. AAPS J. 2021, 23, 60. [Google Scholar] [CrossRef]
- Bai, J.P.F.; Liu, G.; Zhao, M.; Wang, J.; Xiong, Y.; Truong, T.; Earp, J.C.; Yang, Y.; Liu, J.; Zhu, H.; et al. Landscape of regulatory quantitative systems pharmacology submissions to the U.S. Food and Drug Administration: An update report. CPT Pharmacomet. Syst. Pharmacol. 2024, 13, 2102–2110. [Google Scholar] [CrossRef]
- Cucurull-Sanchez, L. An industry perspective on current QSP trends in drug development. J. Pharmacokinet. Pharmacodyn. 2024, 51, 511–520. [Google Scholar] [CrossRef]
- Geerts, H.; Bergeler, S.; Lytton, W.W.; van der Graaf, P.H. Computational neurosciences and quantitative systems pharmacology: A powerful combination for supporting drug development in neurodegenerative diseases. J. Pharmacokinet. Pharmacodyn. 2023, 51, 563–573. [Google Scholar] [CrossRef]
- Geerts, H. Quantitative Systems Pharmacology Development and Application in Neuroscience. In Quantitative Systems Pharmacology; Springer: Cham, Switzerland, 2025; Volume 289, pp. 189–238. [Google Scholar] [CrossRef]
- Lacroix, C.; Soeiro, T.; Le Marois, M.; Guilhaumou, R.; Cassé-Perrot, C.; Jouve, E.; Röhl, C.; Belzeaux, R.; Micallef, J.; Blin, O. Innovative approaches in CNS clinical drug development: Quantitative systems pharmacology. Therapies 2021, 76, 111–119. [Google Scholar] [CrossRef] [PubMed]
- Weatherley, G.; Araujo, R.P.; Dando, S.J.; Jenner, A.L. Could Mathematics be the Key to Unlocking the Mysteries of Multiple Sclerosis? Bull. Math. Biol. 2023, 85, 75. [Google Scholar] [CrossRef] [PubMed]
- de Paula, M.A.M.; de Melo Quintela, B.; Lobosco, M. On the use of a coupled mathematical model for understanding the dynamics of multiple sclerosis. J. Comput. Appl. Math. 2023, 428, 115163. [Google Scholar] [CrossRef]
- Pappalardo, F.; Russo, G.; Pennisi, M.; Palumbo, G.A.P.; Sgroi, G.; Motta, S.; Maimone, D.; Alessandro, G.; Palumbo, P.; Sgroi, G.; et al. The Potential of Computational Modeling to Predict Disease Course and Treatment Response in Patients with Relapsing Multiple Sclerosis. Cells 2020, 9, 586. [Google Scholar] [CrossRef]
- Sips, F.L.P.; Pappalardo, F.; Russo, G.; Bursi, R. In silico clinical trials for relapsing-remitting multiple sclerosis with MS TreatSim. BMC Med. Inform. Decis. Mak. 2022, 22, 294. [Google Scholar] [CrossRef]
- Maleki, A.; Crispino, E.; Italia, S.A.; Di Salvatore, V.; Chiacchio, M.A.; Sips, F.; Bursi, R.; Russo, G.; Maimone, D.; Pappalardo, F. Moving forward through the in silico modeling of multiple sclerosis: Treatment layer implementation and validation. Comput. Struct. Biotechnol. J. 2023, 21, 3081. [Google Scholar] [CrossRef]
- Greene, C.; Rebergue, N.; Fewell, G.; Janigro, D.; Godfrin, Y.; Campbell, M.; Lemarchant, S. NX210c drug candidate peptide strengthens mouse and human blood-brain barriers. Fluids Barriers CNS 2024, 21, 76. [Google Scholar] [CrossRef]
- Viceconti, M.; Emili, L. (Eds.) Toward Good Simulation Practice; Springer Nature: Cham, Switzerland, 2024. [Google Scholar] [CrossRef]
- Musuamba, F.T.; Skottheim Rusten, I.; Lesage, R.; Russo, G.; Bursi, R.; Emili, L.; Wangorsch, G.; Manolis, E.; Karlsson, K.E.; Kulesza, A.; et al. Scientific and regulatory evaluation of mechanistic in silico drug and disease models in drug development: Building model credibility. CPT Pharmacomet. Syst. Pharmacol. 2021, 10, 804–825. [Google Scholar] [CrossRef]
- Bai, J.P.; Wang, J.; Zhang, Y.; Wang, L.; Jiang, X. Quantitative Systems Pharmacology for Rare Disease Drug Development. J. Pharm. Sci. 2023, 112, 2313–2320. [Google Scholar] [CrossRef]
- Azer, K.; Kaddi, C.D.; Barrett, J.S.; Bai, J.P.F.; McQuade, S.T.; Merrill, N.J.; Piccoli, B.; Neves-Zaph, S.; Marchetti, L.; Lombardo, R.; et al. History and Future Perspectives on the Discipline of Quantitative Systems Pharmacology Modeling and Its Applications. Front. Physiol. 2021, 12, 637999. [Google Scholar] [CrossRef]
- Polman, C.H.; O’connor, P.W.; Havrdova, E.; Hutchinson, M.; Kappos, L.; Miller, D.H.; Phillips, J.T.; Lublin, F.D.; Giovannoni, G.; Wajgt, A.; et al. Placebo-Controlled Trial of Natalizumab for Relapsing Multiple Sclerosis. N. Engl. J. Med. 2006, 354, 899–910. [Google Scholar] [CrossRef] [PubMed]
- Delétage, N.; Le Douce, J.; Callizot, N.; Godfrin, Y.; Lemarchant, S. SCO-spondin-derived Peptide Protects Neurons from Glutamate-induced Excitotoxicity. Neuroscience 2021, 463, 317–336. [Google Scholar] [CrossRef] [PubMed]
- Daneman, R.; Zhou, L.; Kebede, A.A.; Barres, B.A. Pericytes are required for blood-brain barrier integrity during embryogenesis. Nature 2010, 468, 562–566. [Google Scholar] [CrossRef] [PubMed]
- Alvarez, J.I.; Katayama, T.; Prat, A. Glial influence on the blood brain barrier. GLIA 2013, 61, 1939–1958. [Google Scholar] [CrossRef]
- Engelhardt, B.; Sorokin, L. The blood-brain and the blood-cerebrospinal fluid barriers: Function and dysfunction. Semin. Immunopathol. 2009, 31, 497–511. [Google Scholar] [CrossRef]
- Schreibelt, G.; Kooij, G.; Reijerkerk, A.; Doorn, R.; Gringhuis, S.I.; Pol, S.; Weksler, B.B.; Romero, I.A.; Couraud, P.; Piontek, J.; et al. Reactive oxygen species alter brain endothelial tight junction dynamics via RhoA, PI3 kinase, and PKB signaling. FASEB J. 2007, 21, 3666–3676. [Google Scholar] [CrossRef]
- Abbott, N.J.; Patabendige, A.A.K.; Dolman, D.E.M.; Yusof, S.R.; Begley, D.J. Structure and function of the blood-brain barrier. Neurobiol. Dis. 2010, 37, 13–25. [Google Scholar] [CrossRef]
- Iadecola, C.; Nedergaard, M. Glial regulation of the cerebral microvasculature. Nat. Neurosci. 2007, 10, 1369–1376. [Google Scholar] [CrossRef]
- Furuse, M.; Hirase, T.; Itoh, M.; Nagafuchi, A.; Yonemura, S.; Tsukita, S.; Tsukita, S. Occludin: A novel integral membrane protein localizing at tight junctions. J. Cell Biol. 1993, 123, 1777–1788. [Google Scholar] [CrossRef]
- Nitta, T.; Hata, M.; Gotoh, S.; Seo, Y.; Sasaki, H.; Hashimoto, N.; Furuse, M.; Tsukita, S. Size-selective loosening of the blood-brain barrier in claudin-5-deficient mice. J. Cell Biol. 2003, 161, 653–660. [Google Scholar] [CrossRef]
- Kooij, G.; Van Horssen, J.; De Vries, E. Tight junctions of the blood-brain barrier. In The Blood-Brain Barrier and Its Microenvironment: Basic Physiology to Neurological Disease; CRC Press: Boca Raton, FL, USA, 2005; Volume 38, pp. 47–69. [Google Scholar] [CrossRef]
- Abbott, N.J. Astrocyte-endothelial interactions and blood-brain barrier permeability. J. Anat. 2002, 200, 629–638. [Google Scholar] [CrossRef]
- Martìn-Padura, I.; Lostaglio, S.; Schneemann, M.; Williams, L.; Romano, M.; Fruscella, P.; Panzeri, C.; Stoppacciaro, A.; Ruco, L.; Villa, A.; et al. Junctional adhesion molecule, a novel member of the immunoglobulin superfamily that distributes at intercellular junctions and modulates monocyte transmigration. J. Cell Biol. 1998, 142, 117–127. [Google Scholar] [CrossRef]
- Matter, K.; Balda, M.S. Signalling to and from tight junctions. Nat. Rev. Mol. Cell Biol. 2003, 4, 225–237. [Google Scholar] [CrossRef]
- Marques, F.; Sousa, J.C.; Sousa, N.; Palha, J.A. Blood-brain-barriers in aging and in Alzheimer’s disease. Mol. Neurodegener. 2013, 8, 38. [Google Scholar] [CrossRef]
- Farrall, A.J.; Wardlaw, J.M. Blood–brain barrier: Ageing and microvascular disease—Systematic review and meta-analysis. Neurobiol. Aging 2009, 30, 337–352. [Google Scholar] [CrossRef]
- Dublin, T.C. Study Report: Effect of Axoltis Test Compound NX210c (NX218) on the Expression of Tight Junction Proteins and BBB Integrity In Vitro (TCD-21-001); AXOLTIS Pharma: Lyon, France, 2022. [Google Scholar]
- InSilicoTrials Technologies SpA. Multiple Sclerosis Treatment Simulator. 2021. Available online: https://mstreat.insiliconeuro.com (accessed on 10 February 2022).
- Rebif® (Interferon Beta-1a)|3 Injection Options, 2 Strengths, Dosing Information. Available online: https://www.rebif.com/hcp/home/dosing.html (accessed on 26 August 2025).
- OCREVUS® (Ocrelizumab)|Multiple Sclerosis (MS) Treatment. Available online: https://www.ocrevus.com/ (accessed on 26 August 2025).
- MAVENCLAD® (Cladribine) Tablets Dosing & Monitoring|HCP. Available online: https://www.mavenclad.com/en/hcp/dosing.html (accessed on 29 June 2022).








Disclaimer/Publisher’s Note: The statements, opinions and data contained in all publications are solely those of the individual author(s) and contributor(s) and not of MDPI and/or the editor(s). MDPI and/or the editor(s) disclaim responsibility for any injury to people or property resulting from any ideas, methods, instructions or products referred to in the content. |
© 2026 by the authors. Licensee MDPI, Basel, Switzerland. This article is an open access article distributed under the terms and conditions of the Creative Commons Attribution (CC BY) license.
Share and Cite
Russo, G.; Sips, F.; Catozzi, S.; Bambury, P.; Janus, A.; Torchia, M.; Di Salvatore, V.; Emili, L.; Röshammar, D.; Pappalardo, F.; et al. NX210c Demonstrates Therapeutic Potential to Restore Blood–Brain Barrier in a QSP Model of Relapsing–Remitting Multiple Sclerosis. Int. J. Mol. Sci. 2026, 27, 1349. https://doi.org/10.3390/ijms27031349
Russo G, Sips F, Catozzi S, Bambury P, Janus A, Torchia M, Di Salvatore V, Emili L, Röshammar D, Pappalardo F, et al. NX210c Demonstrates Therapeutic Potential to Restore Blood–Brain Barrier in a QSP Model of Relapsing–Remitting Multiple Sclerosis. International Journal of Molecular Sciences. 2026; 27(3):1349. https://doi.org/10.3390/ijms27031349
Chicago/Turabian StyleRusso, Giulia, Fianne Sips, Simona Catozzi, Pauline Bambury, Annette Janus, Mario Torchia, Valentina Di Salvatore, Luca Emili, Daniel Röshammar, Francesco Pappalardo, and et al. 2026. "NX210c Demonstrates Therapeutic Potential to Restore Blood–Brain Barrier in a QSP Model of Relapsing–Remitting Multiple Sclerosis" International Journal of Molecular Sciences 27, no. 3: 1349. https://doi.org/10.3390/ijms27031349
APA StyleRusso, G., Sips, F., Catozzi, S., Bambury, P., Janus, A., Torchia, M., Di Salvatore, V., Emili, L., Röshammar, D., Pappalardo, F., & Godfrin, Y. (2026). NX210c Demonstrates Therapeutic Potential to Restore Blood–Brain Barrier in a QSP Model of Relapsing–Remitting Multiple Sclerosis. International Journal of Molecular Sciences, 27(3), 1349. https://doi.org/10.3390/ijms27031349

