Enhancement of Non-Enzymatic Antioxidants in Eutrema salsugineum Under Salt Stress Depends on Salicylate Depletion
Abstract
1. Introduction
2. Results
2.1. Salt Stress-Responsive Genes Identified by Two-Round SSH in A. thaliana and E. salsugineum
2.2. SA Doubles in A. thaliana but Not in E. salsugineum Under Salt Stress
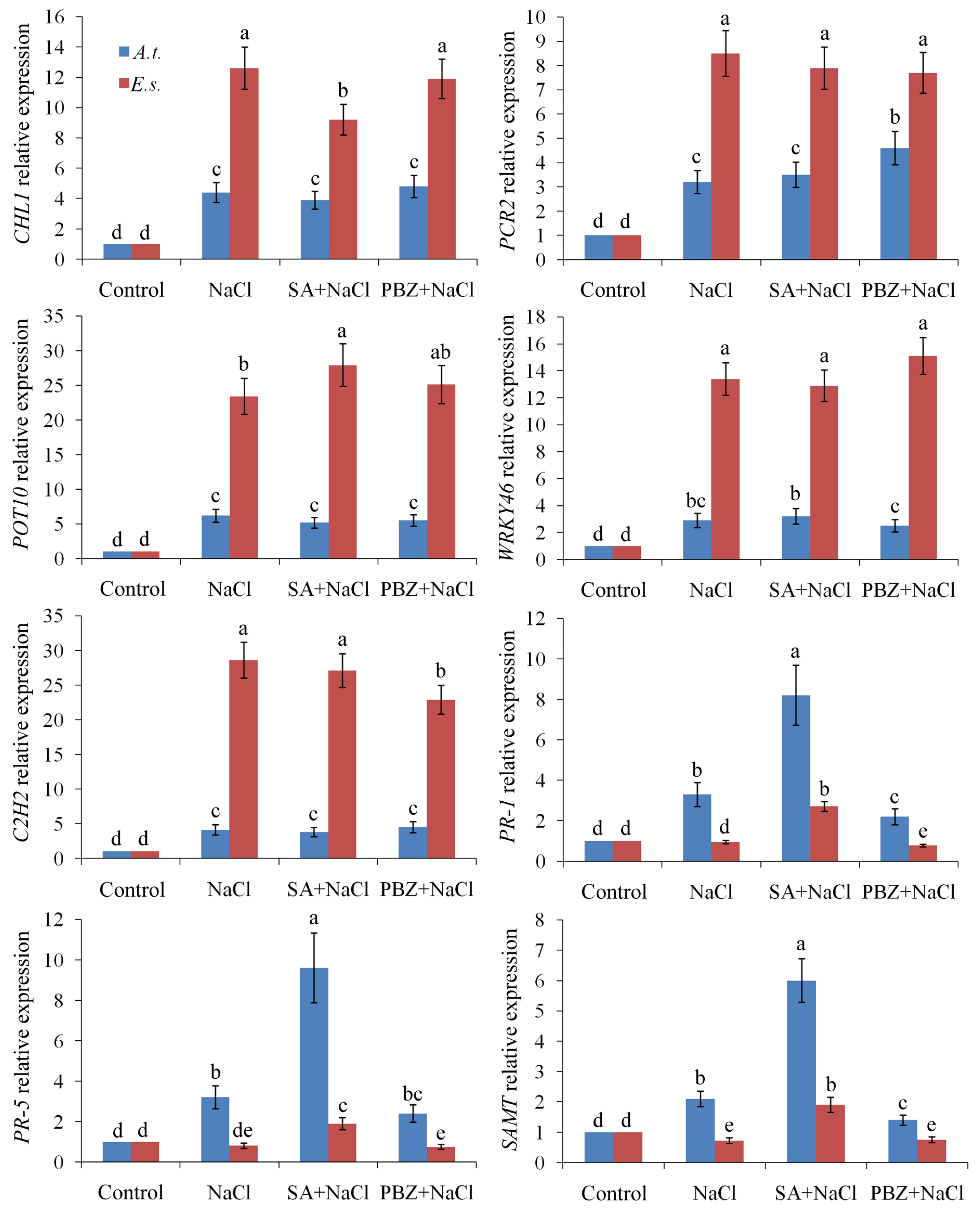
2.3. SA Does Not Affect Salt Stress-Responsive Genes Specific to Eutrema
2.4. SA-Depletion Alleviates Oxidative Damage Under Salt Stress
2.5. SA-Depletion Alleviates Oxidative Damage by Promoting Non-Enzymatic Antioxidants
3. Discussion
4. Materials and Methods
4.1. Plant Material and Growth Conditions
4.2. Two-Round Suppression Subtractive Hybridization (SSH)
4.3. Quantitative Real-Time PCR Analysis
4.4. Salicylate Determination
4.5. Sodium and PotassiumContent Determination
4.6. ROS Staining and Quantification of Oxidative Damages
4.7. Determination of Antioxidant Enzyme Activities
4.8. Determination of GSH, GSSG, ASA, and DHA
4.9. Data Analysis
Supplementary Materials
Author Contributions
Funding
Institutional Review Board Statement
Informed Consent Statement
Data Availability Statement
Conflicts of Interest
References
- Melino, V.; Tester, M. Salt-tolerant crops: Time to deliver. Annu. Rev. Plant Biol. 2023, 74, 671–696. [Google Scholar] [CrossRef] [PubMed]
- Raza, A.; Zaman, Q.U.; Shabala, S.; Tester, M.; Munns, R.; Hu, Z.; Varshney, R.K. Genomics-assisted breeding for designing salinity-smart future crops. Plant Biotechnol. J. 2025, 23, 3119–3151. [Google Scholar] [CrossRef] [PubMed]
- Garcia-Daga, S.; Roy, S.J.; Gilliham, M. Redefining the role of sodium exclusion within salt tolerance. Trends Plant Sci. 2025, 30, 137–146. [Google Scholar] [CrossRef] [PubMed]
- Tripathi, J.M.; Khan, B.R.; Gaur, R.; Yadav, D.; Verma, K.K.; Gupta, R. Gibberellic acid improves photosynthetic electron transport and stomatal function in crops that are adversely affected by salinity exposure. Plants 2025, 14, 3388. [Google Scholar] [CrossRef]
- Basu, S.; Kumar, G. Regulation of nitro-oxidative homeostasis: An effective approach to enhance salinity tolerance in plants. Plant Cell Rep. 2024, 43, 193. [Google Scholar] [CrossRef]
- Kazachkova, Y.; Eshel, G.; Pantha, P.; Cheeseman, J.M.; Dassanayake, M.; Barak, S. Halophytism: What have we learnt from Arabidopsis thaliana relative model systems? Plant Physiol. 2018, 178, 972–988. [Google Scholar] [CrossRef]
- Li, C.; Duan, C.; Zhang, H.; Zhao, Y.; Meng, Z.; Zhao, Y.; Zhang, Q. Adaptative mechanisms of halophytic Eutremasalsugineum encountering saline environment. Front. Plant Sci. 2022, 13, 909527. [Google Scholar]
- Gong, Q.; Li, P.; Ma, S.; Indu Rupassara, S.; Bohnert, H.J. Salinity stress adaptation competence in the extremophile Thellungiella halophila in comparison with its relative Arabidopsis thaliana. Plant J. 2005, 44, 826–839. [Google Scholar] [CrossRef]
- Wong, C.E.; Li, Y.; Labbe, A.; Guevara, D.; Nuin, P.; Whitty, B.; Diaz, C.; Golding, G.B.; Gray, G.R.; Weretilnyk, E.A.; et al. Transcriptional profiling implicates novel interactions between abiotic stress and hormonal responses in Thellungiella, a close relative of Arabidopsis. Plant Physiol. 2006, 140, 1437–1450. [Google Scholar] [CrossRef]
- Lee, Y.P.; Giorgi, F.M.; Lohse, M.; Kvederaviciute, K.; Klages, S.; Usadel, B.; Meskiene, I.; Reinhardt, R.; Hincha, D.K. Transcriptome sequencing and microarray design for functional genomics in the extremophile Arabidopsis relative Thellungiellasalsuginea (Eutremasalsugineum). BMC Genom. 2013, 14, 793. [Google Scholar] [CrossRef]
- Li, C.; Qi, Y.; Zhao, C.; Wang, X.; Zhang, Q. Transcriptome profiling of the salt stress response in the leaves and roots of halophytic Eutremasalsugineum. Front. Genet. 2021, 12, 770742. [Google Scholar] [CrossRef] [PubMed]
- Pang, Q.; Chen, S.; Dai, S.; Chen, Y.; Wang, Y.; Yan, X. Comparative proteomics of salt tolerance in Arabidopsis thaliana and Thellungiella halophila. J. Proteome Res. 2010, 9, 2584–2599. [Google Scholar] [CrossRef] [PubMed]
- Arbona, V.; Argamasilla, R.; Gómez-Cadenas, A. Common and divergent physiological, hormonal and metabolic responses of Arabidopsis thaliana and Thellungiella halophila to water and salt stress. J. Plant Physiol. 2010, 167, 1342–1350. [Google Scholar] [CrossRef] [PubMed]
- Athar, H.U.; Zulfiqar, F.; Moosa, A.; Ashraf, M.; Zafar, Z.U.; Zhang, L.; Ahmed, N.; Kalaji, H.M.; Nafees, M.; Hossain, M.A.; et al. Salt stress proteins in plants: An overview. Front. Plant Sci. 2022, 13, 999058. [Google Scholar] [CrossRef]
- Pilarska, M.; Wiciarz, M.; Jajić, I.; Kozieradzka-Kiszkurno, M.; Dobrev, P.; Vanková, R.; Niewiadomska, E. A different pattern of production and scavenging of reactive oxygen species in halophytic Eutremasalsugineum (Thellungiellasalsuginea) plants in comparison to Arabidopsis thaliana and its relation to salt stress signaling. Front. Plant Sci. 2016, 7, 1179. [Google Scholar] [CrossRef]
- Wiciarz, M.; Niewiadomska, E.; Kruk, J. Effects of salt stress on low molecular antioxidants and redox state of plastoquinone and P700 in Arabidopsis thaliana (glycophyte) and Eutremasalsugineum (halophyte). Photosynthetica 2018, 56, 811–819. [Google Scholar] [CrossRef]
- Zhou, M.; Ghnaya, T.; Dailly, H.; Cui, G.; Vanpee, B.; Han, R.; Lutts, S. The cytokinin trans-zeatine riboside increased resistance to heavy metals in the halophyte plant species Kosteletzkyapentacarpos in the absence but not in the presence of NaCl. Chemosphere 2019, 233, 954–965. [Google Scholar] [CrossRef]
- Kreps, J.A.; Wu, Y.; Chang, H.S.; Zhu, T.; Wang, X.; Harper, J.F. Transcriptome changes for Arabidopsis in response to salt, osmotic, and cold stress. Plant Physiol. 2002, 130, 2129–2141. [Google Scholar] [CrossRef]
- Yuan, S.; Zhang, Z.W.; Zheng, C.; Zhao, Z.Y.; Wang, Y.; Feng, L.Y.; Niu, G.; Wang, C.Q.; Wang, J.H.; Feng, H.; et al. Arabidopsis cryptochrome 1 functions in nitrogen regulation of flowering. Proc. Natl. Acad. Sci. USA 2016, 113, 7661–7666. [Google Scholar] [CrossRef]
- Zhang, Z.W.; Feng, L.Y.; Wang, J.H.; Fu, Y.F.; Cai, X.; Wang, C.Q.; Du, J.B.; Yuan, M.; Chen, Y.E.; Xu, P.Z.; et al. Two-factor ANOVA of SSH and RNA-seq analysis reveal development-associated Pi-starvation genes in oilseed rape. Planta 2019, 250, 1073–1088. [Google Scholar] [CrossRef]
- Xiang, Y.; Song, M.; Wei, Z.; Tong, J.; Zhang, L.; Xiao, L.; Ma, Z.; Wang, Y. A jacalin-related lectin-like gene in wheat is a component of the plant defence system. J. Exp. Bot. 2011, 62, 5471–5483. [Google Scholar] [CrossRef]
- Zhu, F.; Xi, D.H.; Yuan, S.; Xu, F.; Zhang, D.W.; Lin, H.H. Salicylic acid and jasmonic acid are essential for systemic resistance against tobacco mosaic virus in Nicotiana benthamiana. Mol. Plant Microbe Interact. 2014, 27, 567–577. [Google Scholar] [CrossRef] [PubMed]
- Gao, W.; Liu, Y.; Huang, J.; Chen, Y.; Chen, C.; Lu, L.; Zhao, H.; Men, S.; Zhang, X. MES7 modulates seed germination via regulating salicylic acid content in Arabidopsis. Plants 2021, 10, 903. [Google Scholar] [CrossRef] [PubMed]
- Yuan, S.; Lin, H.H. Role of salicylic acid in plant abiotic stress. Z. Naturforsch. C 2008, 63, 313–320. [Google Scholar] [CrossRef]
- Jayakannan, M.; Bose, J.; Babourina, O.; Shabala, S.; Massart, A.; Poschenrieder, C.; Rengel, Z. The NPR1-dependent salicylic acid signalling pathway is pivotal for enhanced salt and oxidative stress tolerance in Arabidopsis. J. Exp. Bot. 2015, 66, 1865–1875. [Google Scholar] [CrossRef] [PubMed]
- Seo, S.; Kim, Y.; Park, K. NPR1 translocation from chloroplast to nucleus activates plant tolerance to salt stress. Antioxidants 2023, 12, 1118. [Google Scholar] [CrossRef]
- Lu, Y.; Li, T.; Li, R.; Zhang, P.; Li, X.; Bai, Z.; Wu, J. Role of SbNRT1.1B in cadmium accumulation is attributed to nitrate uptake and glutathione-dependent phytochelatins biosynthesis. J. Hazard. Mater. 2024, 479, 135655. [Google Scholar] [CrossRef]
- Pan, W.; You, Y.; Weng, Y.N.; Shentu, J.L.; Lu, Q.; Xu, Q.R.; Liu, H.J.; Du, S.T. Zn stress facilitates nitrate transporter 1.1-mediated nitrate uptake aggravating Zn accumulation in Arabidopsis plants. Ecotoxicol. Environ. Saf. 2020, 190, 110104. [Google Scholar] [CrossRef]
- Reddy, C.S.; Cho, M.; Kaul, T.; Joeng, J.T.; Kim, K.M. Pseudomonas fluorescens imparts cadmium stress tolerance in Arabidopsis thaliana via induction of AtPCR2 gene expression. J. Genet. Eng. Biotechnol. 2023, 21, 8. [Google Scholar] [CrossRef]
- Menhas, S.; Hayat, K.; Lin, D.; Shahid, M.; Bundschuh, J.; Zhu, S.; Hayat, S.; Liu, W. Citric acid-driven cadmium uptake and growth promotion mechanisms in Brassica napus. Chemosphere 2024, 368, 143716. [Google Scholar] [CrossRef]
- Sustr, M.; Soukup, A.; Tylova, E. Potassium in root growth and development. Plants 2019, 8, 435. [Google Scholar] [CrossRef]
- Templalexis, D.; Tsitsekian, D.; Daras, G.; Avgeri, F.; Kinoshita, T.; Gifford, M.L.; Hatzopoulos, P.; Rigas, S. Cellular pH homeostasis shapes root system architecture by modulating auxin-mediated developmental responses. Plant Physiol. 2025, 198, kiaf319. [Google Scholar] [CrossRef]
- Ding, Z.J.; Yan, J.Y.; Xu, X.Y.; Yu, D.Q.; Li, G.X.; Zhang, S.Q.; Zheng, S.J. Transcription factor WRKY46 regulates osmotic stress responses and stomatal movement independently in Arabidopsis. Plant J. 2014, 79, 13–27. [Google Scholar] [CrossRef] [PubMed]
- Ding, Z.J.; Yan, J.Y.; Li, C.X.; Li, G.X.; Wu, Y.R.; Zheng, S.J. Transcription factor WRKY46 modulates the development of Arabidopsis lateral roots in osmotic/salt stress conditions via regulation of ABA signaling and auxin homeostasis. Plant J. 2015, 84, 56–69. [Google Scholar] [CrossRef] [PubMed]
- Chang, L.; Liu, S.; Zhang, N.; Yang, D.; Liu, Z.; Yuan, H.; Yan, R.; Lan, X.; Yukawa, Y.; Wu, J. OsR126 IncRNA integrates AtWRKY46 and AtEM1 into ABA signaling in Arabidopsis. Plant Cell Rep. 2025, 44, 221. [Google Scholar] [CrossRef] [PubMed]
- Han, G.; Yuan, F.; Guo, J.; Zhang, Y.; Sui, N.; Wang, B. AtSIZ1 improves salt tolerance by maintaining ionic homeostasis and osmotic balance in Arabidopsis. Plant Sci. 2019, 285, 55–67. [Google Scholar] [CrossRef]
- Yu, Z.; Yan, H.; Liang, L.; Zhang, Y.; Yang, H.; Li, W.; Choi, J.; Huang, J.; Deng, S. A C2H2-type zinc-finger protein from Millettia pinnata, MpZFP1, enhances salt tolerance in transgenic Arabidopsis. Int. J. Mol. Sci. 2021, 22, 10832. [Google Scholar] [CrossRef]
- Wang, D.R.; Yang, K.; Wang, X.; You, C.X. A C2H2-type zinc finger transcription factor, MdZAT17, acts as a positive regulator in response to salt stress. J. Plant Physiol. 2022, 275, 153737. [Google Scholar] [CrossRef]
- Borsani, O.; Valpuesta, V.; Botella, M.A. Evidence for a role of salicylic acid in the oxidative damage generated by NaCl and osmotic stress in Arabidopsis seedlings. Plant Physiol. 2001, 126, 1024–1030. [Google Scholar] [CrossRef]
- Cao, Y.; Zhang, Z.W.; Xue, L.W.; Du, J.B.; Shang, J.; Xu, F.; Yuan, S.; Lin, H.H. Lack of salicylic acid in Arabidopsis protects plants against moderate salt stress. Z. Naturforsch. C 2009, 64, 231–238. [Google Scholar] [CrossRef]
- Ismail, A.; Seo, M.; Takebayashi, Y.; Kamiya, Y.; Eiche, E.; Nick, P. Salt adaptation requires efficient fine-tuning of jasmonatesignalling. Protoplasma 2014, 251, 881–898. [Google Scholar] [CrossRef]
- Huang, J.C.; Chen, F. Simultaneous amplification of 5′ and 3′ cDNA ends based on template-switching effect and inverse PCR. BioTechniques 2006, 40, 187–189. [Google Scholar] [CrossRef]
- Diatchenko, L.; Lau, Y.F.; Campbell, A.P.; Chenchik, A.; Moqadam, F.; Huang, B.; Lukyanov, S.; Lukyanov, K.; Gurskaya, N.; Sverdlov, E.D.; et al. Suppression subtractive hybridization: A method for generating differentially regulated or tissue-specific cDNA probes and libraries. Proc. Natl. Acad. Sci. USA 1996, 93, 6025–6030. [Google Scholar] [CrossRef] [PubMed]
- Czechowski, T.; Stitt, M.; Altmann, T.; Udvardi, M.K.; Scheible, W.-R. Genome-wide identification and testing of superior reference genes for transcript normalization in Arabidopsis. Plant Physiol. 2005, 139, 5–17. [Google Scholar] [CrossRef] [PubMed]
- Dobrev, P.I.; Kamínek, M. Fast and efficient separation of cytokinins from auxin and abscisic acid and their purification using mixed-mode solid-phase extraction. J. Chromatogr. A 2002, 950, 21–29. [Google Scholar] [CrossRef] [PubMed]
- Dobrev, P.I.; Vankova, R. Quantification of abscisic acid, cytokinin, and auxin content in salt-stressed plant tissues. Methods Mol. Biol. 2012, 913, 251–261. [Google Scholar]
- Pan, X.Q.; Welti, R.; Wang, X.M. Quantitative analysis of major plant hormones in crude plant extracts by high-performance liquid chromatography–mass spectrometry. Nat. Protoc. 2010, 5, 986–992. [Google Scholar] [CrossRef]
- Rezaeinejad, R.; Khademi, H.; Ayoubi, S.; Mosaddeghi, M.R. Roots under water stress induce K release from phlogopite, bio-transforming to vermiculite. Rhizosphere 2021, 17, 100310. [Google Scholar] [CrossRef]
- Xiao, Y.; Zhang, Z.W.; Yang, X.Y.; Xie, L.B.; Chen, L.P.; Chen, Y.E.; Yuan, M.; Chen, G.D.; Yuan, S. Effect of singlet oxygen on the stomatal and cell wall of rice seedling under different stresses. Int. J. Mol. Sci. 2025, 26, 8382. [Google Scholar] [CrossRef]
- Chen, Y.-E.; Cui, J.-M.; Yang, J.-C.; Zhang, Z.-W.; Yuan, M.; Song, C.; Yang, H.; Liu, H.-M.; Wang, C.-Q.; Zhang, H.-Y. Biomonitoring heavy metal contaminations by moss visible parameters. J. Hazard. Mater. 2015, 296, 201–209. [Google Scholar] [CrossRef]
- Dionisio-Sese, M.L.; Tobita, S. Antioxidant responses of rice seedlings to salinity stress. Plant Sci. 1998, 135, 1–9. [Google Scholar] [CrossRef]
- Arndt, S.K.; Irawan, A.; Sanders, G.J. Apoplastic water fraction and rehydration techniques introduce significant errors in measurements of relative water content and osmotic potential in plant leaves. Physiol. Plant. 2015, 155, 355–368. [Google Scholar] [CrossRef]
- Liu, X.; Peng, K.; Wang, A.; Lian, C.; Shen, Z. Cadmium accumulation and distribution in populations of Phytolacca americana L. and the role of transpiration. Chemosphere 2010, 78, 1136–1141. [Google Scholar] [CrossRef]
- Verma, S.; Mishra, S.N. Putrescine alleviation of growth in salt stressed Brassica juncea by inducing antioxidative defense system. J. Plant Physiol. 2005, 162, 669–677. [Google Scholar] [CrossRef]
- Esfandiari, E.; Shakiba, M.R.; Mahboob, S.A.; Alyari, H.; Toorchi, M. Water stress, antioxidant enzyme activity and lipid peroxidation in wheat seedling. J. Food Agric. Environ. 2007, 5, 149. [Google Scholar]
- Kampfenkel, K.; Van Montagu, M.; Inzé, D. Extraction and determination of ascorbate and dehydroascorbate from plant tissue. Anal. Biochem. 1995, 225, 165–167. [Google Scholar] [CrossRef] [PubMed]
- Zhang, Z.W.; Deng, Z.L.; Tao, Q.; Peng, H.Q.; Wu, F.; Fu, Y.F.; Yang, X.Y.; Xu, P.Z.; Li, Y.; Wang, C.Q.; et al. Salicylate and glutamate mediate different Cd accumulation and tolerance between Brassica napus and B. juncea. Chemosphere 2022, 292, 133466. [Google Scholar] [CrossRef] [PubMed]
- Zhang, Z.W.; Dang, T.T.; Yang, X.Y.; Xie, L.B.; Chen, Y.E.; Yuan, M.; Chen, G.D.; Zeng, J.; Yuan, S. γ-aminobutyric acid alleviates programmed cell death in two Brassica species under cadmium stress. Int. J. Mol. Sci. 2024, 26, 129. [Google Scholar] [CrossRef] [PubMed]







| Gene ID | Description | Frequency |
|---|---|---|
| At1g16030 | Heat shock protein 70b | 2/50 |
| At4g25200 | 23.6 kDa heat shock protein in mitochondria | 1/50 |
| At4g31500 | Cytochrome P450 94B1 | 2/50 |
| At5g52300 | Desiccation-responsive protein 29B | 1/50 |
| At4g36040 | Chaperone protein dnaJ 11 (DNAJ heat shock protein) | 3/50 |
| At5g11260 | Long Hypocotyl 5 (HY5; bZIP transcription factor 56) | 2/50 |
| At1g69010 | Basic helix-loop-helix protein 125 (bHLH125) | 4/50 |
| At3g62420 | Homeobox-leucine zipper protein ATHB-53 (bZIP53) | 1/50 |
| At5g51490 | pectinesterase/pectinesterase inhibitor | 3/50 |
| At5g53210 | Transcription factor SPEECHLESS | 1/50 |
| At5g05880 | UDP-glycosyltransferase 76C4 | 2/50 |
| At1g63700 | Mitogen-activated protein kinase kinasekinase YODA | 1/50 |
| At4g04950 | Monothiol glutaredoxin-S17 (GrxS17) | 2/50 |
| At1g80820 | Cinnamoyl-CoA reductase 2 | 4/50 |
| At5g38020 | Salicylate/benzoate carboxyl methyltransferase (SAMT) | 2/50 |
| At2g14610 | Pathogenesis-related protein PR-1 | 3/50 |
| At1g75040 | Pathogenesis-related protein PR-5 | 1/50 |
| At1g20450 | Dehydrin ERD10 (Low-temperature-induced protein LTI45) | 5/50 |
| At4g37990 | Cinnamyl alcohol dehydrogenase 8 (CAD8) | 2/50 |
| At2g44790 | Uclacyanin-2 (Blue copper-binding protein II) | 3/50 |
| At5g21040 | EIN3-binding F-box protein 2 (FBX2) | 2/50 |
| At2g36870 | xyloglucan endotransglucosylase/hydrolase protein 32 (XTH32) | 2/50 |
| At4g17490 | Ethylene-responsive transcription factor (ERF6) | 1/50 |
| Gene ID | Description | Frequency |
|---|---|---|
| At2g07707 | Plant mitochondrial ATPase, F0 complex | 2/50 |
| At1g12110 | NPK1-related protein kinase 2 chlorate/nitrate transporter (CHL1) | 6/50 |
| At4g38460 | Geranyl pyrophosphate synthase-related protein (GGR) | 2/50 |
| At2g36390 | Starch branching enzyme class II (SBE2-1) | 3/50 |
| At2g46400 | WRKY transcription factor 46 | 1/50 |
| At1g01160 | GRF1-interacting factor 2 (GIF2) | 3/50 |
| At5g09660 | Microbody NAD-dependent malate dehydrogenase | 2/50 |
| At4g17810 | C2H2 zinc fingers superfamily protein | 2/50 |
| At3g59970 | Methylenetetrahydrofolate reductase MTHFR1 | 2/50 |
| At3g15190 | F4B12_10 mRNA, chloroplast 30S ribosomal protein S20 | 4/50 |
| At4g38740 | Peptidylprolyl isomerase ROC1 | 5/50 |
| At1g50940 | U50582 putative electron transport flavoprotein | 3/50 |
| At5g11520 | Aspartate aminotransferase ASP3 | 3/50 |
| At4g38970 | Fructose-bisphosphate aldolase-like protein | 2/50 |
| At5g11060 | Putative homeobox protein knotted-1 Like 4 (KNat4) | 2/50 |
| At4g11570 | Haloacid dehalogenase-like hydrolase (HAD) superfamily protein | 3/50 |
| At1g14870 | A membrane protein involved in zinc transport and detoxification (Plant Cadmium Resistance 2; PCR2) | 2/50 |
| At3g57010 | Strictosidine synthase | 1/50 |
| At1g31120 | K+ uptake permease 10 (Potassium transporter 10; POT10) | 2/50 |
Disclaimer/Publisher’s Note: The statements, opinions and data contained in all publications are solely those of the individual author(s) and contributor(s) and not of MDPI and/or the editor(s). MDPI and/or the editor(s) disclaim responsibility for any injury to people or property resulting from any ideas, methods, instructions or products referred to in the content. |
© 2026 by the authors. Licensee MDPI, Basel, Switzerland. This article is an open access article distributed under the terms and conditions of the Creative Commons Attribution (CC BY) license.
Share and Cite
Fang, Y.-J.; Yang, X.-Y.; Xie, L.-B.; Zhang, Z.-W.; Yuan, S. Enhancement of Non-Enzymatic Antioxidants in Eutrema salsugineum Under Salt Stress Depends on Salicylate Depletion. Int. J. Mol. Sci. 2026, 27, 1168. https://doi.org/10.3390/ijms27031168
Fang Y-J, Yang X-Y, Xie L-B, Zhang Z-W, Yuan S. Enhancement of Non-Enzymatic Antioxidants in Eutrema salsugineum Under Salt Stress Depends on Salicylate Depletion. International Journal of Molecular Sciences. 2026; 27(3):1168. https://doi.org/10.3390/ijms27031168
Chicago/Turabian StyleFang, Ya-Jian, Xin-Yue Yang, Lin-Bei Xie, Zhong-Wei Zhang, and Shu Yuan. 2026. "Enhancement of Non-Enzymatic Antioxidants in Eutrema salsugineum Under Salt Stress Depends on Salicylate Depletion" International Journal of Molecular Sciences 27, no. 3: 1168. https://doi.org/10.3390/ijms27031168
APA StyleFang, Y.-J., Yang, X.-Y., Xie, L.-B., Zhang, Z.-W., & Yuan, S. (2026). Enhancement of Non-Enzymatic Antioxidants in Eutrema salsugineum Under Salt Stress Depends on Salicylate Depletion. International Journal of Molecular Sciences, 27(3), 1168. https://doi.org/10.3390/ijms27031168

