Transcriptomic Responses of Sclerodermus alternatusi Yang to Ultraviolet (UV) Stress of Different Wavelengths
Abstract
1. Introduction
2. Results
2.1. Quality Assessment of Transcriptome Sequencing Data Under Different UV Treatments
2.2. Global Transcriptomic Structure Analysis
2.3. Comparison of Differentially Expressed Genes in UV Treatment
2.4. GO and KEGG Enrichment Analyses of Differentially Expressed Genes
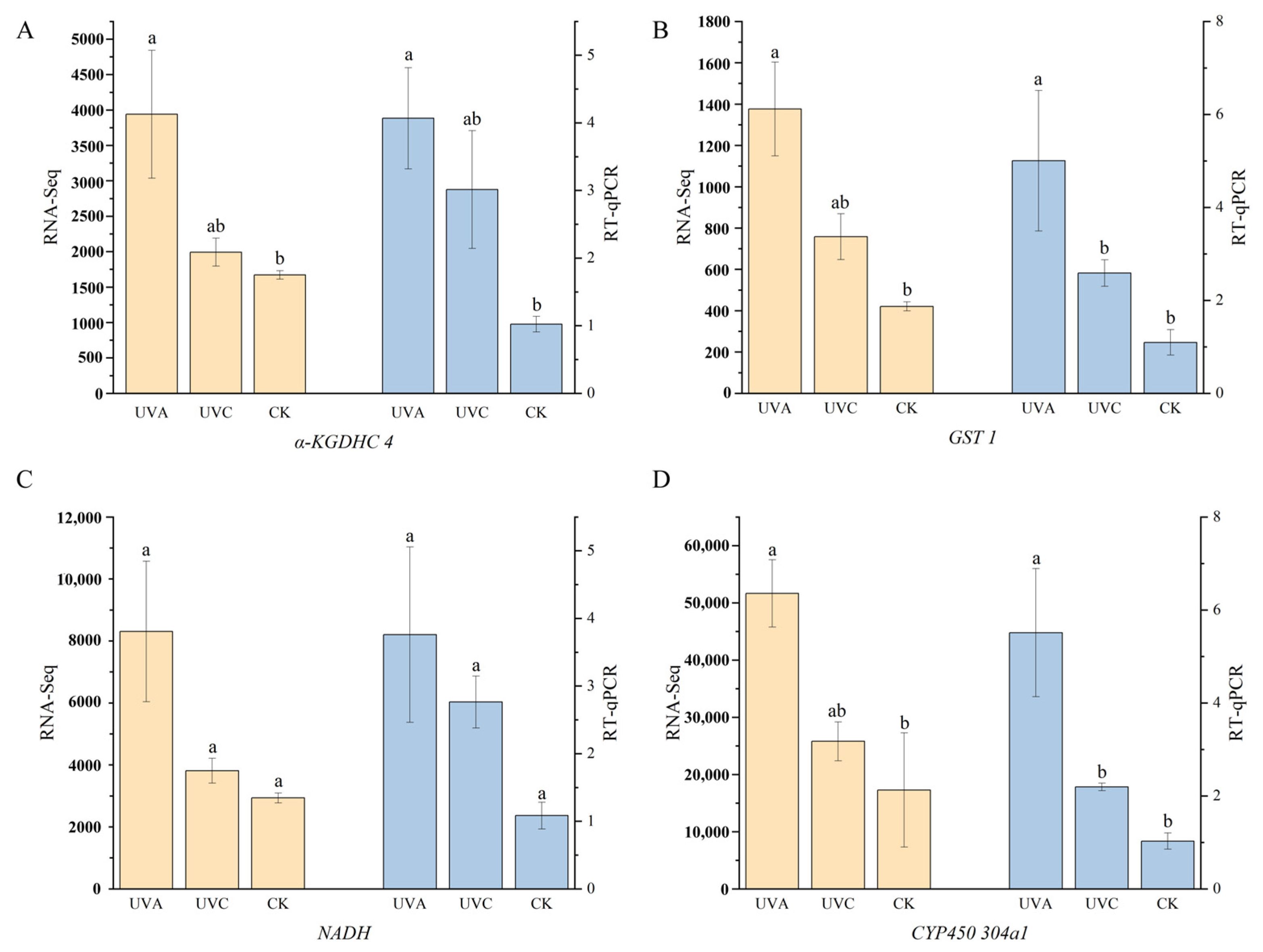
2.5. Validation of RNA-Seq Results by RT-qPCR
3. Discussion
4. Materials and Methods
4.1. Insect Source and Rearing Conditions
4.2. Ultraviolet Radiation Treatments
4.3. RNA Sequencing, Library Construction, Read Alignment and Assembly
4.4. Differentially Expressed Genes (DEGs) Analysis
4.5. RT-qPCR Validation
Supplementary Materials
Author Contributions
Funding
Institutional Review Board Statement
Informed Consent Statement
Data Availability Statement
Conflicts of Interest
References
- Paul, N.D.; Gwynn-Jones, D. Ecological roles of solar UV radiation: Towards an integrated approach. Trends Ecol. Evol. 2003, 18, 48–55. [Google Scholar] [CrossRef]
- Zhang, C.-Y.; Meng, J.-Y.; Wang, X.-P.; Zhu, F.; Lei, C.-L. Effects of UV-A exposures on longevity and reproduction in Helicoverpa armigera, and on the development of its F1 generation. Insect Sci. 2011, 18, 697–702. [Google Scholar] [CrossRef]
- Sang, W.; Yu, L.; He, L.; Ma, W.H.; Zhu, Z.H.; Zhu, F.; Wang, X.P.; Lei, C.L. UVB Radiation Delays Tribolium castaneum Metamorphosis by Influencing Ecdysteroid Metabolism. PLoS ONE 2016, 11, e0151831. [Google Scholar] [CrossRef]
- de Gruijl, F.R.; van der Leun, J.C. Environment and health: 3. Ozone depletion and ultraviolet radiation. Can. Med. Assoc. J. 2000, 163, 851–855. [Google Scholar]
- Lotfy, M.; Khattab, A.; Shata, M.; Alhasbani, A.; Almesmari, A.; Alsaeedi, S.; Alyassi, S.; Kundu, B. Destructive effects of UVC radiation on Drosophila melanogaster: Mortality, fertility, mutations, and molecular mechanisms. PLoS ONE 2024, 19, e0303115. [Google Scholar] [CrossRef]
- Perez, A.S.; Inada, N.M.; Mezzacappo, N.F.; Vollet-Filho, J.D.; Bagnato, V.S. Ultraviolet radiation inhibits mitochondrial bioenergetics activity. Photochem. Photobiol. 2025, 101, 697–708. [Google Scholar] [CrossRef]
- Takahashi, M.; Lee, J.M.; Mon, H.; Kawaguchi, Y.; Koga, K.; Kusakabe, T. Cell cycle arrest induced by radiation in cultured silkworm cells. J. Insect Biotechnol. Sericology 2006, 75, 23–30. [Google Scholar]
- Ravanat, J.-L.; Douki, T.; Cadet, J. Direct and indirect effects of UV radiation on DNA and its components. J. Photochem. Photobiol. B Biol. 2001, 63, 88–102. [Google Scholar] [CrossRef]
- Atta, K.J.V.; Potter, K.A.; Woods, H.A. Effects of UV-B on environmental preference and egg parasitization by Trichogramma wasps (Hymenoptera: Trichogrammatidae). J. Entomol. Sci. 2015, 50, 318–325. [Google Scholar]
- Wen, S.; Ma, W.-H.; Qiu, L.; Zhu, Z.-H.; Lei, C.-L. The involvement of heat shock protein and cytochrome P450 genes in response to UV-A exposure in the beetle Tribolium castaneum. J. Insect Physiol. 2012, 58, 830–836. [Google Scholar] [CrossRef]
- Meng, J.-Y.; Zhang, C.-Y.; Lei, C.-L. A proteomic analysis of Helicoverpa armigera adults after exposure to UV light irradiation. J. Insect Physiol. 2010, 56, 405–411. [Google Scholar] [CrossRef]
- Wang, Z.; Liu, Y.; Wang, H.; Roy, A.; Liu, H.; Han, F.; Zhang, X.; Lu, Q. Genome and Transcriptome of Ips nitidus Provide Insights into High-Altitude Hypoxia Adaptation and Symbiosis. iScience 2023, 26, 107793. [Google Scholar] [CrossRef]
- Gaudreau, M.; Brodeur, J.; Abram, P.K. Adult female exposure to mild ultraviolet radiation reduces longevity but not egg load in two parasitoid wasps. Entomol. Exp. Appl. 2022, 170, 965–972. [Google Scholar] [CrossRef]
- Wang, L.; Tang, Y.; Kang, K.; Cheng, T.; Wei, K.; Zhang, T.; Zhou, X. Parasitic effects of Sclerodermus alternatus (Hymenoptera:Bethylidae) on pre-pupae and pupae of Monochamus alternatus (Coleoptera: Cerambycidae). For. Sci. 2024, 37, 128–135. [Google Scholar]
- Yang, Z.-Q.; Wang, X.-Y.; Duan, Z.-Y.; Zhang, Y.-L.; Zhang, Y.-N.; Cao, L.-M.; Wei, K. Sclerodermus alternatusi (Hymenoptera: Bethylidae), a new species from China, parasitizing Monochamus alternatus (Coleoptera: Cerambycidae). Zool. Syst. 2024, 49, 258–266. [Google Scholar]
- Zhang, Y.-L.; Yang, Z.-Q.; Wang, X.-Y.; Zhang, Y.-N.; Wu, C.-J.; Ma, S.-F.; Lu, Z.-G. Functional response of the parasitoid Sclerodermus sp. ( Hymenoptera: Bethylidae) to the third instar larvae of host Monochamus alternatus (Coleoptera: Cerambycidae). Acta Entomol. Sin. 2012, 55, 426–434. [Google Scholar]
- An, H.L.; Lan, J.; Xiong, H.; Wan, F.; Xu, H.; Li, C.R. Controlling effect of the parasitoid Sclerodermus sp. (Hymenoptera: Bethylidae) on longhorn beetles attacking plane tree. Environ. Entomol. 2018, 40, 657–661. [Google Scholar]
- Tang, Y.L.; Wang, L.N.; Jia, J.L.; Kang, K.; Zeng, B.P.; Wei, K. Parasitism rate and progeny development of Sclerodermus alternatusi (Hymenoptera: Bethylidae) on different stage of Thyestilla gebleri (Coleoptera: Cerambycidae). For. Res. 2022, 35, 83–88. [Google Scholar]
- Zhou, C.-X.; Min, S.-F.; Tang, Y.-L.; Wang, M.-Q. Analysis of antennal transcriptome and odorant binding protein expression profiles of the recently identified parasitoid wasp, Sclerodermus sp. Comp. Biochem. Physiol. Part D Genom. Proteom. 2015, 16, 10–19. [Google Scholar] [CrossRef]
- Wan, Y.; Wu, H.-J.; Yang, J.-P.; Zhang, J.-L.; Shen, Z.-C.; Xu, H.-J.; Ye, Y.-X. Chromosome-level genome assembly of the bethylid ectoparasitoid wasp Sclerodermus sp. ‘alternatusi’. Sci. Data 2024, 11, 438. [Google Scholar] [CrossRef] [PubMed]
- Zhou, J.-H.; Luo, W.-F.; He, W.; Huang, X.; Song, S.-Q.; Mao, L.; Peng, H.; Xu, J.-J. Impact of ultraviolet radiation on growth, development and antioxidant enzymes of Tuta absoluta (Meyrick). Insects 2025, 16, 109. [Google Scholar] [CrossRef] [PubMed]
- Tungjitwitayakul, J.; Suwannakhon, N.; Tatun, N. The impact of UV-C radiation on the sugar metabolism of the red flour beetle Tribolium castaneum Herbst (Coleoptera; Tenebrionidae). Int. J. Radiat. Biol. 2023, 100, 289–295. [Google Scholar] [CrossRef]
- Dong, W.-B.; Hou, D.-L.; Hou, Q.-F.; Jin, H.-F.; Li, F.; Wu, S.-Y. Effects of ultraviolet light stress on protective and detoxification enzymes in insects. Trop. Plants 2024, 3, e007. [Google Scholar] [CrossRef]
- Meng, J.-Y.; Zhang, C.-Y.; Zhu, F.; Wang, X.-P.; Lei, C.-L. Ultraviolet light-induced oxidative stress: Effects on antioxidant response of Helicoverpa armigera adults. J. Insect Physiol. 2009, 55, 588–592. [Google Scholar] [CrossRef]
- Djavaheri-Mergny, M.; Marsac, C.; Mazière, C.; Santus, R.; Michel, L.; Dubertret, L.; Mazière, J.C. UV-A irradiation induces a decrease in the mitochondrial respiratory activity of human NCTC 2544 keratinocytes. Free Radic. Res. 2001, 34, 583–594. [Google Scholar] [CrossRef]
- Li, Q.; Wang, D.; Bai, D.; Cai, C.; Li, J.; Yan, C.; Zhang, S.; Wu, Z.; Hao, J.; Yu, G. Photoprotective effect of Astragalus membranaceus polysaccharide on UVA-induced damage in HaCaT cells. PLoS ONE 2020, 15, e0235515. [Google Scholar] [CrossRef]
- Li, S.; Yang, C.L.; Meng, J.Y.; Zhou, L.; Zhang, C.Y. Comparative transcriptome and metabolome analysis of Ostrinia furnacalis female adults under UV-A exposure. Sci. Rep. 2021, 11, 6797. [Google Scholar] [CrossRef]
- Yao, M.-S.; Du, X.-Q.; Zhang, Y.-T.; Li, H.-J.; Wang, S.; Liu, J.-H.; Yang, M.-Q. Molecular characterization and elucidation of the function of Hap38 MAPK in the response of Helicoverpa armigera (Hübner) to UV-A stress. Sci. Rep. 2022, 12, 18489. [Google Scholar] [CrossRef] [PubMed]
- Lopez-Martinez, G.; Elnitsky, M.A.; Benoit, J.B.; Lee, R.E., Jr.; Denlinger, D.L. High resistance to oxidative damage in the Antarctic midge Belgica antarctica, and developmentally linked expression of genes encoding superoxide dismutase, catalase and heat shock proteins. Insect Biochem. Mol. Biol. 2008, 38, 796–804. [Google Scholar] [CrossRef]
- Ahmad, S.; Duval, D.L.; Weinhold, L.C.; Pardini, R.S. Cabbage looper antioxidant enzymes: Tissue specificity. Insect Biochem. Mol. Biol. 1991, 21, 563–572. [Google Scholar] [CrossRef]
- Zorov, D.B.; Filburn, C.R.; Klotz, L.O.; Zweier, J.L.; Sollott, S.J. Reactive oxygen species (ROS)-induced ROS release: A new phenomenon accompanying induction of the mitochondrial permeability transition in cardiac myocytes. J. Exp. Med. 2000, 192, 1001–1014. [Google Scholar] [CrossRef]
- Zorov, D.B.; Juhaszova, M.; Sollott, S.J. Mitochondrial reactive oxygen species (ROS) and ROS-induced ROS release. Physiol. Rev. 2014, 94, 909–950. [Google Scholar] [CrossRef] [PubMed]
- Li, F.; Liu, X.-N.; Zhu, Y.; Ma, J.; Liu, N.; Yang, J.-H. Identification of the 2-tridecanone responsive region in the promoter of cytochrome P450 CYP6B6 of the cotton bollworm, Helicoverpa armigera (Lepidoptera: Noctuidae). Bull. Entomol. Res. 2014, 104, 801–808. [Google Scholar] [CrossRef] [PubMed]
- Omura, T. Structural diversity of cytochrome P450 enzyme system. J. Biochem. 2010, 147, 297–306. [Google Scholar] [CrossRef] [PubMed]
- Reed, J.R.; Backes, W.L. Formation of P450·P450 complexes and their effect on P450 function. Pharmacol. Ther. 2012, 133, 299–310. [Google Scholar] [CrossRef]
- Pang, R.; Chen, M.; Liang, Z.-K.; Yue, X.-Z.; Ge, H.; Zhang, W.-Q. Functional analysis of CYP6ER1, a P450 gene associated with imidacloprid resistance in Nilaparvata lugens. Sci. Rep. 2016, 6, 34992. [Google Scholar] [CrossRef]
- Du, H.; Ji, Y.; Yang, J.; Hu, J.-Y.; Zhang, R.; Zhang, Y.-J. Cloning of the cytochrome P450 gene CYP6JM1 and its function in thiamethoxam resistance in the white fly, Bemisia tabaci. Plant Prot. 2024, 50, 176–182. [Google Scholar]
- Ketterman, A.J.; Saisawang, C.; Wongsantichon, J. Insect glutathione transferases. Drug Metab. Rev. 2011, 43, 253–265. [Google Scholar] [CrossRef]
- Li, X.-L.; Qi, Y.-X.; Lu, Y.-Y. Advances for the metabolic detoxification genes in major Tephritidae species. J. Plant Prot. 2022, 49, 351–365. [Google Scholar]
- Enayati, A.A.; Ranson, H.; Hemingway, J. Insect glutathione transferases and insecticide resistance. Insect Biochem. Mol. Biol. 2005, 14, 3–8. [Google Scholar] [CrossRef]
- Britt, A.B. Repair of DNA damage induced by ultraviolet radiation. Plant Physiol. 1995, 108, 891–896. [Google Scholar] [CrossRef]
- Khan, M.M.; Fan, Z.-Y.; Sabir, I.A.; Hafeez, M.; Wen, S.; Wu, J.-H.; Qiu, B.-L. Physiological and Molecular Response Modifications by Ultraviolet-C Radiation in Plutella xylostella and Its Compatibility with Cordyceps fumosorosea. Int. J. Mol. Sci. 2022, 23, 9800. [Google Scholar] [CrossRef]
- Liu, X.-X.; Yang, Y.-B.; Fan, Q.-W.; Zhang, Q.-Y.; Ji, Q.-E. Effects of irradiating the parasitised Drosophila melanogaster pupae with ultraviolet rays on the growth and development of Trichopria drosophilae (Hymenoptera: Diapriidae). Acta Entomol. Sin. 2023, 66, 1518–1526. [Google Scholar]
- Naseer, A.; Singh, V.V.; Sellamuthu, G.; Synek, J.; Mogilicherla, K.; Kokoska, L.; Roy, A. Insights into the Detoxification of Spruce Monoterpenes by the Eurasian Spruce Bark Beetle. Int. J. Mol. Sci. 2024, 25, 10209. [Google Scholar] [CrossRef]
- Sellamuthu, G.; Naseer, A.; Hradecký, J.; Chakraborty, A.; Synek, J.; Modlinger, R.; Roy, A. Gene Expression Plasticity Facilitates Different Host Feeding in Ips sexdentatus (Coleoptera: Curculionidae: Scolytinae). Insect Biochem. Mol. Biol. 2024, 165, 104061. [Google Scholar] [CrossRef] [PubMed]
- Love, M.I.; Huber, W.; Anders, S. Moderated estimation of fold change and dispersion for RNA-seq data with DESeq2. Genome Biol. 2014, 15, 550. [Google Scholar] [CrossRef]
- Kanehisa, M.; Furumichi, M.; Tanabe, M.; Sato, Y.; Morishima, K. KEGG: New perspectives on genomes, pathways, diseases and drugs. Nucleic Acids Res. 2017, 45, D353–D361. [Google Scholar] [CrossRef]
- Zhao, R.-N.; Guo, X.-M.; Meng, L.; Li, B.-P. Identification and validation of reference genes for RT-qPCR analysis in Sclerodermus guani (Hymenoptera: Bethylidae). Bull. Entomol. Res. 2024, 114, 613–621. [Google Scholar] [CrossRef] [PubMed]
- Pfaffl, M.W. A new mathematical model for relative quantification in real-time RT-PCR. Nucleic Acids Res. 2001, 29, e45. [Google Scholar] [CrossRef] [PubMed]





| Sample | Clean Reads | Q20 (%) | Q30 (%) | Clean Bases (Gbp) | GC Content (%) | Mapping Rate (%) |
|---|---|---|---|---|---|---|
| UVA_1 | 21,062,256 | 99.04 | 96.91 | 3.16 | 37 | 98.83 |
| UVA_2 | 21,640,086 | 98.98 | 96.76 | 3.24 | 38 | 98.81 |
| UVA_3 | 21,278,254 | 99.04 | 96.95 | 3.19 | 37 | 98.87 |
| UVA_4 | 21,335,686 | 99.01 | 96.83 | 3.20 | 37 | 98.88 |
| UVC_1 | 21,631,499 | 99.03 | 96.90 | 3.24 | 38 | 98.84 |
| UVC_2 | 20,626,381 | 98.98 | 96.75 | 3.09 | 38 | 98.85 |
| UVC_3 | 21,393,148 | 99.05 | 96.95 | 3.20 | 38 | 98.74 |
| UVC_4 | 24,045,284 | 99.08 | 97.04 | 3.59 | 38 | 98.88 |
| CK_1 | 19,689,673 | 99.03 | 96.87 | 2.95 | 39 | 98.86 |
| CK_2 | 21,484,229 | 99.00 | 96.84 | 3.22 | 39 | 98.86 |
| CK_3 | 21,232,268 | 98.97 | 96.75 | 3.18 | 38 | 98.75 |
| CK_4 | 21,350,101 | 99.03 | 96.89 | 3.19 | 38 | 98.85 |
| Gene Name | Primer Sequences (5′−3′) | Length (bp) | Annealing Temperature (°C) |
|---|---|---|---|
| Serine and arginine rich splicing factor 7 | FW: GGGTCGCTAGAAATCCTCCA | 88 | 57.94 |
| RV: ACTCCATCCAAGCCACGAAC | |||
| Glutathione S-transferase 1 | FW: GAGATTGTGGAGAATGGAATGC | 102 | 53.65 |
| RV: CGGATGAATAGGATGGTCTAGC | |||
| Alpha-ketoglutarate dehydrogenase component 4 | FW: TGTCTTGCCAGCAATAGATGAT | 103 | 54.84 |
| RV: CGGTCCTCCACGGTTAATATAC | |||
| Cytochrome P450 304a1 | FW: GCTGTGCCAAGTAGTGTTACA | 104 | 55.03 |
| RV: CTGCCTGTGCCAACAATAGAA | |||
| NADH dehydrogenase (ubiquinone) B22 subunit (ND-B22) | FW: AATACGTGCTAGGTTCGATGAA | 82 | 53.24 |
| RV: TTCTTCTTCTCCCGCTAACAAT |
Disclaimer/Publisher’s Note: The statements, opinions and data contained in all publications are solely those of the individual author(s) and contributor(s) and not of MDPI and/or the editor(s). MDPI and/or the editor(s) disclaim responsibility for any injury to people or property resulting from any ideas, methods, instructions or products referred to in the content. |
© 2026 by the authors. Licensee MDPI, Basel, Switzerland. This article is an open access article distributed under the terms and conditions of the Creative Commons Attribution (CC BY) license.
Share and Cite
Li, F.; Jin, W.; Cheng, H.; Wu, F.; Pan, Y.; Zhu, D.; Xu, S.; Zhou, C.; Zhang, B.; Chakraborty, A.; et al. Transcriptomic Responses of Sclerodermus alternatusi Yang to Ultraviolet (UV) Stress of Different Wavelengths. Int. J. Mol. Sci. 2026, 27, 1163. https://doi.org/10.3390/ijms27031163
Li F, Jin W, Cheng H, Wu F, Pan Y, Zhu D, Xu S, Zhou C, Zhang B, Chakraborty A, et al. Transcriptomic Responses of Sclerodermus alternatusi Yang to Ultraviolet (UV) Stress of Different Wavelengths. International Journal of Molecular Sciences. 2026; 27(3):1163. https://doi.org/10.3390/ijms27031163
Chicago/Turabian StyleLi, Fei, Wenting Jin, Huan Cheng, Fengyuan Wu, Yufei Pan, Denghui Zhu, Shan Xu, Cao Zhou, Bingchuan Zhang, Amrita Chakraborty, and et al. 2026. "Transcriptomic Responses of Sclerodermus alternatusi Yang to Ultraviolet (UV) Stress of Different Wavelengths" International Journal of Molecular Sciences 27, no. 3: 1163. https://doi.org/10.3390/ijms27031163
APA StyleLi, F., Jin, W., Cheng, H., Wu, F., Pan, Y., Zhu, D., Xu, S., Zhou, C., Zhang, B., Chakraborty, A., Roy, A., & He, S. (2026). Transcriptomic Responses of Sclerodermus alternatusi Yang to Ultraviolet (UV) Stress of Different Wavelengths. International Journal of Molecular Sciences, 27(3), 1163. https://doi.org/10.3390/ijms27031163

