Antithrombotic Polymers: A Narrative Review on Current and Future Strategies for Their Design, Synthesis, and Application
Abstract
1. Introduction
2. Physiological Basics of Coagulation and Antithrombotic Mechanisms
2.1. Role of the Vascular Endothelium
2.2. The Importance of Platelets
2.3. The Plasma Coagulation System and the Coagulation Cascade
2.4. The Process of Fibrinolysis
2.5. Therapeutic Goals: Anticoagulation, Antiaggregation, Thrombolysis
3. Classes of Polymers Used as Anticoagulant Materials
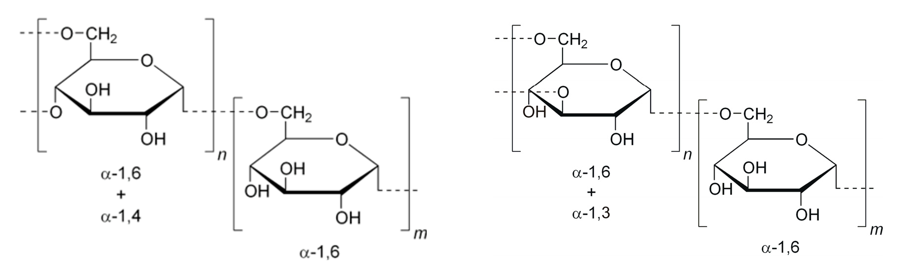
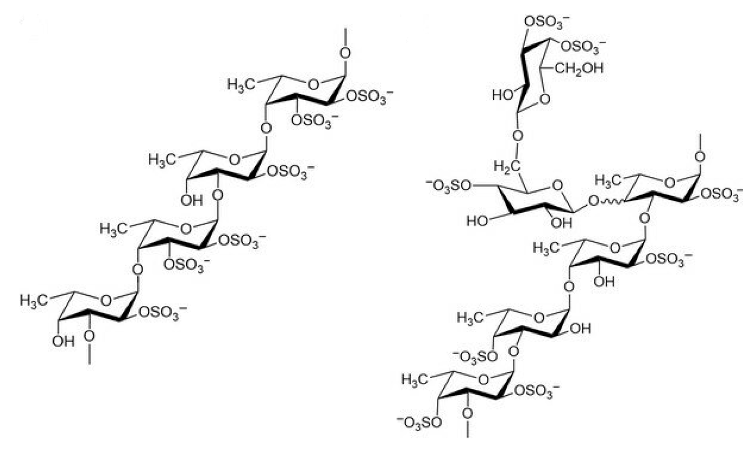
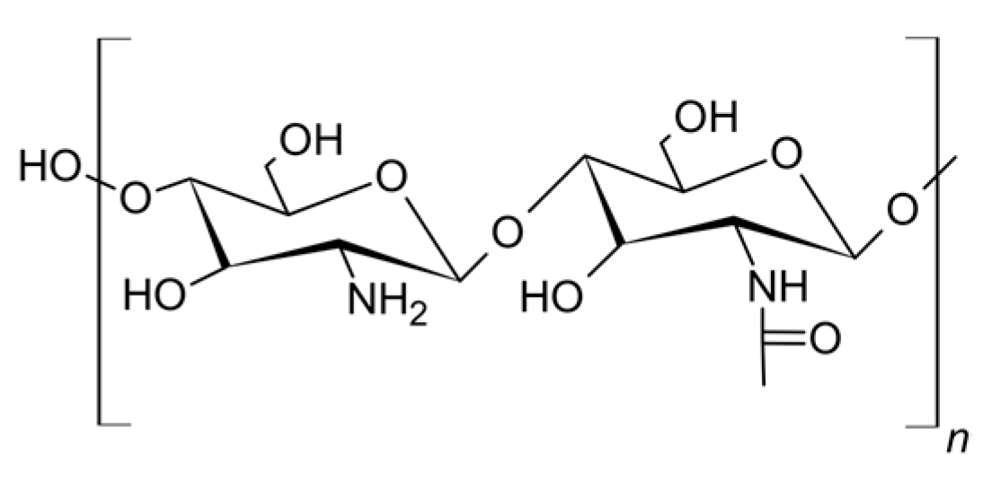
3.1. Natural Polymers and Their Modifications
3.2. Biomimetic Synthetic Polymers
3.3. Polymers Releasing Anticoagulant Agents (Carriers for Heparin, Hirudin, Inhibitors)
3.4. Polymers with Built-In Bioactive Function
3.5. Self-Cleaning/Anti-Fouling Coatings That Reduce Platelet Activity
4. Strategies for Chemical Surface Design and Modification
4.1. Heparin Functionalization (Adsorption vs. Covalent Bonding)
4.2. Functionalization by Surface Polymerization: Grafting from and Grafting to
4.3. Heparin Functionalization with PEG
4.4. Heparin-Mimicking Polymers
5. Mechanisms of Action in in Vitro and in Vivo Models
5.1. In Vitro Tests for Evaluating Hemocompatibility and Thrombogenicity of Polymeric Biomaterials
5.2. In Vivo Models for Evaluating the Hemocompatibility and Thrombogenicity of Polymeric Biomaterials
5.3. Structure–Function Relationships in Polymer Materials and Thrombogenicity
6. Clinical and Translational Significance of Antithrombotic and Antifouling Surfaces
6.1. Coatings for Stents, Grafts, Catheters, Valves, and Extracorporeal Systems
6.2. Drug-Delivery Systems for Local and Controlled Anticoagulant Release
6.3. Regulatory and Safety Challenges: Bleeding, Immunogenicity, and Evidence Requirements
7. New Trends and Future Directions in Research
- How to ensure scalable, reproducible, and regulatorily acceptable coating technologies for complex, multicomponent responsive systems;
- How to predict the behavior of such materials over the long term (years), taking into account mechanical wear, variability in blood biochemistry, and combination therapies;
- How to combine intelligent antithrombotic coatings with systemic treatment to exploit their synergistic effects [53].
8. Review Methodology
9. Summary and Conclusions
Author Contributions
Funding
Institutional Review Board Statement
Informed Consent Statement
Data Availability Statement
Conflicts of Interest
References
- Zhang, Q.; Ain, Q.U.; Schulz, C.; Pircher, J. Role of Antimicrobial Peptide Cathelicidin in Thrombosis and Thromboinflammation. Front. Immunol. 2023, 14, 1151926. [Google Scholar] [CrossRef] [PubMed]
- Wendelboe, A.; Weitz, J.I. Global Health Burden of Venous Thromboembolism. ATVB 2024, 44, 1007–1011. [Google Scholar] [CrossRef]
- Wendelboe, A.M.; Raskob, G.E. Global Burden of Thrombosis: Epidemiologic Aspects. Circ. Res. 2016, 118, 1340–1347. [Google Scholar] [CrossRef] [PubMed]
- Luu, C.H.; Nguyen, N.; Ta, H.T. Unravelling Surface Modification Strategies for Preventing Medical Device-Induced Thrombosis. Adv. Healthc. Mater. 2024, 13, 2301039. [Google Scholar] [CrossRef]
- Hashimoto, H.; Imai, S.; Kiyomi, A.; Sugiura, M. Effectiveness and Safety of Extended Treatment with Direct Oral Anticoagulants for Venous Thromboembolism in Japan: A Retrospective Cohort Study Using Claims Data. Thromb. Update 2022, 8, 100113. [Google Scholar] [CrossRef]
- Li, X.; Gao, P.; Tan, J.; Xiong, K.; Maitz, M.F.; Pan, C.; Wu, H.; Chen, Y.; Yang, Z.; Huang, N. Assembly of Metal–Phenolic/Catecholamine Networks for Synergistically Anti-Inflammatory, Antimicrobial, and Anticoagulant Coatings. ACS Appl. Mater. Interfaces 2018, 10, 40844–40853. [Google Scholar] [CrossRef]
- Tan, J.K.S.; Chen, E.S.A.; Dong, Y.; Fang, H.; Koh, C.Y.; Kini, R.M.; Kim, S.; Leo, H.L.; Yap, C.H. Antithrombotic and Flow Drag-Reducing Material for Blood-Contacting Medical Devices. ACS Appl. Mater. Interfaces 2023, 10, 2202270. [Google Scholar] [CrossRef]
- Willers, A.; Arens, J.; Mariani, S.; Pels, H.; Maessen, J.G.; Hackeng, T.M.; Lorusso, R.; Swol, J. New Trends, Advantages and Disadvantages in Anticoagulation and Coating Methods Used in Extracorporeal Life Support Devices. Membranes 2021, 11, 617. [Google Scholar] [CrossRef]
- Douglass, M.; Garren, M.; Devine, R.; Mondal, A.; Handa, H. Bio-Inspired Hemocompatible Surface Modifications for Biomedical Applications. Prog. Mater. Sci. 2022, 130, 100997. [Google Scholar] [CrossRef]
- Kakkar, V.V.; Gebska, M.; Kadziola, Z.; Saba, N.; Carrasco, P.; on behalf of the Bemiparin Investigators. Low-Molecular-Weight Heparin in the Acute and Long-Term Treatment of Deep Vein Thrombosis. Thromb. Haemost. 2017, 89, 674–680. [Google Scholar] [CrossRef]
- Lee, K.-N.; Choi, J.-I.; Boo, K.Y.; Kim, D.Y.; Kim, Y.G.; Oh, S.-K.; Baek, Y.-S.; Lee, D.I.; Roh, S.-Y.; Shim, J.; et al. Effectiveness and Safety of Off-Label Dosing of Non–Vitamin K Antagonist Anticoagulant for Atrial Fibrillation in Asian Patients. Sci. Rep. 2020, 10, 1801. [Google Scholar] [CrossRef]
- Caso, V.; De Groot, J.R.; Sanmartin Fernandez, M.; Segura, T.; Blomström-Lundqvist, C.; Hargroves, D.; Antoniou, S.; Williams, H.; Worsley, A.; Harris, J.; et al. Outcomes and Drivers of Inappropriate Dosing of Non-Vitamin K Antagonist Oral Anticoagulants (NOACs) in Patients with Atrial Fibrillation: A Systematic Review and Meta-Analysis. Heart 2023, 109, 178–185. [Google Scholar] [CrossRef] [PubMed]
- Witt, D.M.; Clark, N.P.; Kaatz, S.; Schnurr, T.; Ansell, J.E. Guidance for the Practical Management of Warfarin Therapy in the Treatment of Venous Thromboembolism. J. Thromb. Thrombolysis 2016, 41, 187–205. [Google Scholar] [CrossRef]
- Vranckx, P.; Valgimigli, M.; Heidbuchel, H. The Significance of Drug–Drug and Drug–Food Interactions of Oral Anticoagulation. Arrhythmia Electrophysiol. Rev. 2018, 7, 55. [Google Scholar] [CrossRef]
- Kurt Yilmaz, N.; Schiffer, C.A. Introduction: Drug Resistance. Chem. Rev. 2021, 121, 3235–3237. [Google Scholar] [CrossRef]
- Levy, J.H.; Connors, J.M. Heparin Resistance—Clinical Perspectives and Management Strategies. N. Engl. J. Med. 2021, 385, 826–832. [Google Scholar] [CrossRef]
- Scridon, A. Platelets and Their Role in Hemostasis and Thrombosis—From Physiology to Pathophysiology and Therapeutic Implications. Int. J. Mol. Sci. 2022, 23, 12772. [Google Scholar] [CrossRef] [PubMed]
- Zawidlak-Węgrzyńska, B.; Rydz, J.; Musioł, M.; Radziwon-Balicka, A. Polymer-Drug Anti-Thrombogenic and Hemocompatible Coatings as Surface Modifications. Pharmaceutics 2024, 16, 432. [Google Scholar] [CrossRef] [PubMed]
- Versteeg, H.H.; Heemskerk, J.W.M.; Levi, M.; Reitsma, P.H. New Fundamentals in Hemostasis. Physiol. Rev. 2013, 93, 327–358. [Google Scholar] [CrossRef]
- Esmon, C.T. The Protein C Pathway. Chest 2003, 124, 26S–32S. [Google Scholar] [CrossRef]
- Collen, D.; Lijnen, H.R.; Plow, E.F. The Fibrinolytic System in Man. Crit. Rev. Oncol. 1986, 4, 249–301. [Google Scholar] [CrossRef]
- Altaf, F.; Wu, S.; Kasim, V. Role of Fibrinolytic Enzymes in Anti-Thrombosis Therapy. Front. Mol. Biosci. 2021, 8, 680397. [Google Scholar] [CrossRef] [PubMed]
- Gachet, C. P2 Receptors, Platelet Function and Pharmacological Implications. Thromb. Haemost. 2008, 99, 466–472. [Google Scholar] [CrossRef]
- Mackman, N. New Insights into the Mechanisms of Venous Thrombosis. Available online: https://www.jci.org/articles/view/60229/pdf (accessed on 9 October 2025).
- Chapin, J.C.; Hajjar, K.A. Fibrinolysis and the Control of Blood Coagulation. Blood Rev. 2015, 29, 17–24. [Google Scholar] [CrossRef]
- Chen, X.; Chen, J.; Huang, N. The Structure, Formation, and Effect of Plasma Protein Layer on the Blood Contact Materials: A Review. Biosurface Biotribology 2022, 8, 1–14. [Google Scholar] [CrossRef]
- Horbett, T.A. Fibrinogen Adsorption to Biomaterials. J. Biomed. Mater. Res. 2018, 106, 2777–2788. [Google Scholar] [CrossRef]
- Xu, L.-C.; Siedlecki, C.A. Protein Adsorption, Platelet Adhesion, and Bacterial Adhesion to Polyethylene-Glycol-Textured Polyurethane Biomaterial Surfaces. J. Biomed. Mater. Res. 2017, 105, 668–678. [Google Scholar] [CrossRef]
- Xu, L.-C.; Bauer, J.; Siedlecki, C.A. Proteins, Platelets, and Blood Coagulation at Biomaterial Interfaces. Colloids Surf. B Biointerfaces 2014, 124, 49–68. [Google Scholar] [CrossRef]
- Sivaraman, B.; Latour, R.A. The Relationship between Platelet Adhesion on Surfaces and the Structure versus the Amount of Adsorbed Fibrinogen. Biomaterials 2010, 31, 832–839. [Google Scholar] [CrossRef]
- De Mel, A.; Cousins, B.G.; Seifalian, A.M. Surface Modification of Biomaterials: A Quest for Blood Compatibility. Int. J. Biomater. 2012, 2012, 1–8. [Google Scholar] [CrossRef]
- Bedair, T.M.; ElNaggar, M.A.; Joung, Y.K.; Han, D.K. Recent Advances to Accelerate Re-Endothelialization for Vascular Stents. J. Tissue Eng. 2017, 8, 2041731417731546. [Google Scholar] [CrossRef] [PubMed]
- Pršić, A.; Kiwanuka, E.; Caterson, S.A.; Caterson, E.J. Anticoagulants and Statins As Pharmacological Agents in Free Flap Surgery: Current Rationale. Eplasty 2015, 15, e51. [Google Scholar]
- Roberts, T.R.; Garren, M.R.S.; Wilson, S.N.; Handa, H.; Batchinsky, A.I. Development and In Vitro Whole Blood Hemocompatibility Screening of Endothelium-Mimetic Multifunctional Coatings. ACS Appl. Bio Mater. 2022, 5, 2212–2223. [Google Scholar] [CrossRef]
- Sim, M.M.S.; Shiferawe, S.; Wood, J.P. Novel Strategies in Antithrombotic Therapy: Targeting Thrombosis While Preserving Hemostasis. Front. Cardiovasc. Med. 2023, 10, 1272971. [Google Scholar] [CrossRef]
- Ozyuncu, N. Antiplatelet Therapy in Heart Disease. Rev. Cardiovasc. Med. 2025, 26, 36522. [Google Scholar] [CrossRef]
- Hale, M.M.; Medina, S.H. Biomaterials-Enabled Antithrombotics: Recent Advances and Emerging Strategies. Mol. Pharm. 2022, 19, 4453–4465. [Google Scholar] [CrossRef] [PubMed]
- Casado-Arroyo, R.; Sostres, C.; Lanas, A. Optimizing the Use of Aspirin for Cardiovascular Prevention. Drugs 2013, 73, 803–814. [Google Scholar] [CrossRef]
- Patrono, C. Low-Dose Aspirin for the Prevention of Atherosclerotic Cardiovascular Disease. Eur. Heart J. 2024, 45, 2362–2376. [Google Scholar] [CrossRef]
- Wallentin, L. P2Y12 Inhibitors: Differences in Properties and Mechanisms of Action and Potential Consequences for Clinical Use. Eur. Heart J. 2009, 30, 1964–1977. [Google Scholar] [CrossRef] [PubMed]
- Sharma, R.; Kumar, P.; Prashanth, S.P.; Belagali, Y. Dual Antiplatelet Therapy in Coronary Artery Disease. Cardiol. Ther. 2020, 9, 349–361. [Google Scholar] [CrossRef]
- Castrichini, M.; Luzum, J.A.; Pereira, N. Pharmacogenetics of Antiplatelet Therapy. Annu. Rev. Pharmacol. Toxicol. 2023, 63, 211–229. [Google Scholar] [CrossRef]
- Dobesh, P.P.; Varnado, S.; Doyle, M. Antiplatelet Agents in Cardiology: A Report on Aspirin, Clopidogrel, Prasugrel, and Ticagrelor. Curr. Pharm. Des. 2016, 22, 1918–1932. [Google Scholar] [CrossRef] [PubMed]
- De Luca, G.; Savonitto, S.; Van’T Hof, A.W.J.; Suryapranata, H. Platelet GP IIb-IIIa Receptor Antagonists in Primary Angioplasty: Back to the Future. Drugs 2015, 75, 1229–1253. [Google Scholar] [CrossRef]
- Bansal, A.B.; Sattar, Y.; Patel, P.; Jamil, R.T. Eptifibatide. In StatPearls; StatPearls Publishing: Treasure Island, FL, USA, 2025. [Google Scholar]
- Hashemzadeh, M.; Furukawa, M.; Goldsberry, S.; Movahed, M.R. Chemical Structures and Mode of Action of Intravenous Glycoprotein IIb/IIIa Receptor Blockers: A Review. Exp. Clin. Cardiol. 2008, 13, 192–197. [Google Scholar]
- Bavry, A.A. αIIbβ3 (GPIIb-IIIa) Antagonists. In Platelets; Elsevier: Amsterdam, The Netherlands, 2013; pp. 1139–1153. ISBN 978-0-12-387837-3. [Google Scholar]
- Park, S.-H.; Heo, Y.; Kwon, I.; Jo, S.; Jeon, H.; Lee, Y.; Kim, J.; Heo, J.H.; Namkung, W. Gestodene, a Novel Positive Allosteric Modulator of PAR1, Enhances PAR1-Mediated Human Platelet Aggregation. Front. Pharmacol. 2024, 15, 1430548. [Google Scholar] [CrossRef]
- Alla, D.; Ramsundar, R.; Boppana, G.; Tummala, T.; Kukunoor, H.R.; Shah, R.J.; Mandava, S.; Bayeh, R.G.; Gangavarapu, N.K.; Reddy, R.P.; et al. Prourokinase for Acute Ischemic Stroke: A Meta-Analysis of Randomized Controlled Trials. Medicine 2025, 104, e44837. [Google Scholar] [CrossRef] [PubMed]
- Collen, D. Fibrin-Specific Thrombolytic Agents. Klin. Wochenschr. 1988, 66, 15–23. [Google Scholar] [PubMed]
- Swischuk, J.L.; Smouse, H.B. Differentiating Pharmacologic Agents Used in Catheter-Directed Thrombolysis. Semin. Interv. Radiol. 2005, 22, 121–129. [Google Scholar] [CrossRef]
- Baig, M.U.; Bodle, J. Thrombolytic Therapy. In StatPearls; StatPearls Publishing: Treasure Island, FL, USA, 2025. [Google Scholar]
- Ashcraft, M.; Douglass, M.; Chen, Y.; Handa, H. Combination Strategies for Antithrombotic Biomaterials: An Emerging Trend towards Hemocompatibility. Biomater. Sci. 2021, 9, 2413–2423. [Google Scholar] [CrossRef]
- Jim, E.L.; Jim, E.L.; Surya, R.; Permatasari, H.K.; Nurkolis, F. Marine-Derived Polymers–Polysaccharides as Promising Natural Therapeutics for Atherosclerotic Cardiovascular Disease. Mar. Drugs 2025, 23, 325. [Google Scholar] [CrossRef]
- Saini, L.; Dubey, A.; Pal, R.; Pandey, P.; Mandal, R.K. Synthetic and Natural Polymers Enhancing Drug Delivery and Their Treatment: A Comprehensive Review. J. Drug Deliv. Ther. 2024, 14, 153–165. [Google Scholar] [CrossRef]
- Wang, X.; Hadi, M.K.; Niu, J.; Zhou, Q.; Ran, F. Anticoagulant Macromolecules. Macromolecules 2023, 56, 4387–4430. [Google Scholar] [CrossRef]
- Noti, C.; Seeberger, P.H. Chemical Approaches to Define the Structure-Activity Relationship of Heparin-like Glycosaminoglycans. Chem. Biol. 2005, 12, 731–756. [Google Scholar] [CrossRef]
- Patel, P.; Huang, D. Heparin. In StatPearls; StatPearls Publishing: Treasure Island, FL, USA, 2025. [Google Scholar]
- Lei, J.; Yuan, Y.; Lyu, Z.; Wang, M.; Liu, Q.; Wang, H.; Yuan, L.; Chen, H. Deciphering the Role of Sulfonated Unit in Heparin-Mimicking Polymer to Promote Neural Differentiation of Embryonic Stem Cells. ACS Appl. Mater. Interfaces 2017, 9, 28209–28221. [Google Scholar] [CrossRef]
- Oduah, E.; Linhardt, R.; Sharfstein, S. Heparin: Past, Present, and Future. Pharmaceuticals 2016, 9, 38. [Google Scholar] [CrossRef]
- Qiu, M.; Huang, S.; Luo, C.; Wu, Z.; Liang, B.; Huang, H.; Ci, Z.; Zhang, D.; Han, L.; Lin, J. Pharmacological and Clinical Application of Heparin Progress: An Essential Drug for Modern Medicine. Biomed. Pharmacother. 2021, 139, 111561. [Google Scholar] [CrossRef] [PubMed]
- Kalaska, B.; Miklosz, J.; Kamiński, K.; Swieton, J.; Jakimczuk, A.; Yusa, S.-I.; Pawlak, D.; Nowakowska, M.; Szczubiałka, K.; Mogielnicki, A. Heparin-Binding Copolymer as a Complete Antidote for Low-Molecular-Weight Heparins in Rats. J. Pharmacol. Exp. Ther. 2020, 373, 51–61. [Google Scholar] [CrossRef]
- Aryanti, P.T.P.; Nugroho, F.A.; Kusmala, Y.Y. Heparin and Heparin-like Modifications in Hemodialysis Membranes: Current Innovations and Future Directions. Biotechnol. Adv. 2025, 80, 108527. [Google Scholar] [CrossRef]
- Mohamed, S.; Coombe, D. Heparin Mimetics: Their Therapeutic Potential. Pharmaceuticals 2017, 10, 78. [Google Scholar] [CrossRef]
- Oh, Y.I.; Sheng, G.J.; Chang, S.; Hsieh-Wilson, L.C. Tailored Glycopolymers as Anticoagulant Heparin Mimetics. Angew. Chem. 2013, 52, 11796–11799. [Google Scholar] [CrossRef]
- Dimassi, S.; Tabary, N.; Chai, F.; Blanchemain, N.; Martel, B. Sulfonated and Sulfated Chitosan Derivatives for Biomedical Applications: A Review. Carbohydr. Polym. 2018, 202, 382–396. [Google Scholar] [CrossRef]
- Amor, I.B.; Hemmami, H.; Laouini, S.E.; Abdelaziz, A.G.; Barhoum, A. Influence of Chitosan Source and Degree of Deacetylation on Antibacterial Activity and Adsorption of AZO Dye from Water. Biomass Convers. Biorefin. 2024, 14, 16245–16255. [Google Scholar] [CrossRef]
- Imran, M.; Sajwan, M.; Alsuwayt, B.; Asif, M. Synthesis, Characterization and Anticoagulant Activity of Chitosan Derivatives. Saudi Pharm. J. 2020, 28, 25–32. [Google Scholar] [CrossRef]
- Ouerghemmi, S.; Dimassi, S.; Tabary, N.; Leclercq, L.; Degoutin, S.; Chai, F.; Pierlot, C.; Cazaux, F.; Ung, A.; Staelens, J.-N.; et al. Synthesis and Characterization of Polyampholytic Aryl-Sulfonated Chitosans and Their in Vitro Anticoagulant Activity. Carbohydr. Polym. 2018, 196, 8–17. [Google Scholar] [CrossRef]
- Wang, Y.; Xing, M.; Cao, Q.; Ji, A.; Liang, H.; Song, S. Biological Activities of Fucoidan and the Factors Mediating Its Therapeutic Effects: A Review of Recent Studies. Mar. Drugs 2019, 17, 183. [Google Scholar] [CrossRef] [PubMed]
- Chen, S.-C.; Qin, X.; Xiong, N.; Lin, L.; Wu, Y.; Li, Q.; Sun, D.; Xiong, D.-C.; Callmann, C.E.; Wu, M.; et al. Comprehensive Synthesis and Anticoagulant Evaluation of a Diverse Fucoidan Library. Nat. Commun. 2025, 16, 4364. [Google Scholar] [CrossRef]
- Patel, S. Therapeutic Importance of Sulfated Polysaccharides from Seaweeds: Updating the Recent Findings. 3 Biotech. 2012, 2, 171–185. [Google Scholar] [CrossRef]
- Qi, Y.; Wang, L.; You, Y.; Sun, X.; Wen, C.; Fu, Y.; Song, S. Preparation of Low-Molecular-Weight Fucoidan with Anticoagulant Activity by Photocatalytic Degradation Method. Foods 2022, 11, 822. [Google Scholar] [CrossRef]
- Kalsi, G.; Hazarika, U.; Baruah, L.D.; Bordoloi, P.L.; Gogoi, M. Comprehensive Review of Carrageenan’s Multifaceted Role in Health and Food Systems. Discov. Food 2025, 5, 115. [Google Scholar] [CrossRef]
- Groult, H.; Cousin, R.; Chot-Plassot, C.; Maura, M.; Bridiau, N.; Piot, J.-M.; Maugard, T.; Fruitier-Arnaudin, I. λ-Carrageenan Oligosaccharides of Distinct Anti-Heparanase and Anticoagulant Activities Inhibit MDA-MB-231 Breast Cancer Cell Migration. Mar. Drugs 2019, 17, 140. [Google Scholar] [CrossRef] [PubMed]
- Jabeen, F.; Ahmad, R.; Ahmad, R.; Mir, S.; Awwad, N.S.; Ibrahium, H.A. Carrageenan: Structure, Properties and Applications with Special Emphasis on Food Science. RSC Adv. 2025, 15, 22035–22062. [Google Scholar] [CrossRef]
- Sokolova, E.V.; Byankina, A.O.; Kalitnik, A.A.; Kim, Y.H.; Bogdanovich, L.N.; Solov’eva, T.F.; Yermak, I.M. Influence of Red Algal Sulfated Polysaccharides on Blood Coagulation and Platelets Activation in Vitro. J. Biomed. Mater. Res. 2014, 102, 1431–1438. [Google Scholar] [CrossRef]
- Díaz-Montes, E. Dextran: Sources, Structures, and Properties. Polysaccharides 2021, 2, 554–565. [Google Scholar] [CrossRef]
- Singh, A.K.; Bhadauria, A.S.; Kumar, P.; Bera, H.; Saha, S. Bioactive and Drug-Delivery Potentials of Polysaccharides and Their Derivatives. In Polysaccharide Carriers for Drug Delivery; Elsevier: Amsterdam, The Netherlands, 2019; pp. 19–48. ISBN 978-0-08-102553-6. [Google Scholar]
- Whelihan, M.F.; Cooley, B.; Xu, Y.; Pawlinski, R.; Liu, J.; Key, N.S. In Vitro and in Vivo Characterization of a Reversible Synthetic Heparin Analog. Thromb. Res. 2016, 138, 121–129. [Google Scholar] [CrossRef] [PubMed]
- Ma, L.; Huang, J.; Zhu, X.; Zhu, B.; Wang, L.; Zhao, W.; Qiu, L.; Song, B.; Zhao, C.; Yan, F. In Vitro and in Vivo Anticoagulant Activity of Heparin-like Biomacromolecules and the Mechanism Analysis for Heparin-Mimicking Activity. Int. J. Biol. Macromol. 2019, 122, 784–792. [Google Scholar] [CrossRef] [PubMed]
- Stolarek, M.; Pycior, A.; Bonarek, P.; Opydo, M.; Kolaczkowska, E.; Kamiński, K.; Mogielnicki, A.; Szczubiałka, K. Biological Properties of Heparins Modified with an Arylazopyrazole-Based Photoswitch. J. Med. Chem. 2023, 66, 1778–1789. [Google Scholar] [CrossRef]
- Krauel, K.; Hackbarth, C.; Fürll, B.; Greinacher, A. Heparin-Induced Thrombocytopenia: In Vitro Studies on the Interaction of Dabigatran, Rivaroxaban, and Low-Sulfated Heparin, with Platelet Factor 4 and Anti-PF4/Heparin Antibodies. Blood 2012, 119, 1248–1255. [Google Scholar] [CrossRef]
- Lee, J.-H.; Lim, H.; Ma, G.; Kweon, S.; Park, S.J.; Seo, M.; Lee, J.-H.; Yang, S.-B.; Jeong, H.-G.; Park, J. Nano-Anticoagulant Based on Carrier-Free Low Molecular Weight Heparin and Octadecylamine with an Albumin Shuttling Effect. Nat. Commun. 2024, 15, 6769. [Google Scholar] [CrossRef]
- Al-Horani, R.A.; Abdelfadiel, E.I.; Afosah, D.K.; Morla, S.; Sistla, J.C.; Mohammed, B.; Martin, E.J.; Sakagami, M.; Brophy, D.F.; Desai, U.R. A Synthetic Heparin Mimetic That Allosterically Inhibits Factor XIa and Reduces Thrombosis in Vivo without Enhanced Risk of Bleeding. J. Thromb. Haemost. 2019, 17, 2110–2122. [Google Scholar] [CrossRef]
- Xu, Y.; Masuko, S.; Takieddin, M.; Xu, H.; Liu, R.; Jing, J.; Mousa, S.A.; Linhardt, R.J.; Liu, J. Chemoenzymatic Synthesis of Homogeneous Ultralow Molecular Weight Heparins. Science 2011, 334, 498–501. [Google Scholar] [CrossRef]
- Ramasamy, P.; Sekar, S.; Paramasivam, S.; Suri, P.; Chinnaiyan, U.; Singh, R.; Tanguturi Raghavaiah, B.P.; Seshadri, V.D. Sulfation of Chitosan from Sepia Kobiensis as Potential Anticoagulant and Antibacterial Molecule. Nat. Prod. Res. 2022, 36, 3216–3222. [Google Scholar] [CrossRef]
- Ramasamy, P.; Subhapradha, N.; Thinesh, T.; Selvin, J.; Selvan, K.M.; Shanmugam, V.; Shanmugam, A. Characterization of Bioactive Chitosan and Sulfated Chitosan from Doryteuthis Singhalensis (Ortmann, 1891). Int. J. Biol. Macromol. 2017, 99, 682–691. [Google Scholar] [CrossRef]
- Sajith, M.P.; Pitchai, A.; Ramasamy, P. Anticoagulant Protective Effects of Sulfated Chitosan Derived From the Internal Bone of Spineless Cuttlefish (Sepiella Inermis). Cureus 2024, 16, e64558. [Google Scholar] [CrossRef]
- Heise, K.; Hobisch, M.; Sacarescu, L.; Maver, U.; Hobisch, J.; Reichelt, T.; Sega, M.; Fischer, S.; Spirk, S. Low-Molecular-Weight Sulfonated Chitosan as Template for Anticoagulant Nanoparticles. Int. J. Nanomed. 2018, 13, 4881–4894. [Google Scholar] [CrossRef]
- Yang, J.; Luo, K.; Li, D.; Yu, S.; Cai, J.; Chen, L.; Du, Y. Preparation, Characterization and in Vitro Anticoagulant Activity of Highly Sulfated Chitosan. Int. J. Biol. Macromol. 2013, 52, 25–31. [Google Scholar] [CrossRef]
- Vongchan, P.; Sajomsang, W.; Subyen, D.; Kongtawelert, P. Anticoagulant Activity of a Sulfated Chitosan. Carbohydr. Res. 2002, 337, 1239–1242. [Google Scholar] [CrossRef]
- Jung, H.; Kim, J.-Y.; Kim, Y.; Tae, G.; Kim, Y.H.; Johannsmann, D. QCM and AFM Analysis of Anticoagulant Activities of Sulfonated Polymers against Fibrin Formation. Langmuir 2009, 25, 7032–7041. [Google Scholar] [CrossRef] [PubMed]
- Mansour, M.B.; Balti, R.; Yacoubi, L.; Ollivier, V.; Chaubet, F.; Maaroufi, R.M. Primary Structure and Anticoagulant Activity of Fucoidan from the Sea Cucumber Holothuria Polii. Int. J. Biol. Macromol. 2019, 121, 1145–1153. [Google Scholar] [CrossRef]
- Sun, X.; Yan, C.; Fu, Y.; Ai, C.; Bi, J.; Lin, W.; Song, S. Orally Administrated Fucoidan and Its Low-Molecular-Weight Derivatives Are Absorbed Differentially to Alleviate Coagulation and Thrombosis. Int. J. Biol. Macromol. 2024, 255, 128092. [Google Scholar] [CrossRef] [PubMed]
- Dhahri, M. Cystoseira Myrica: From Beach-Cast Seaweed to Fucoidan with Antioxidant and Anticoagulant Capacity. Front. Mar. Sci. 2023, 10, 1327408. [Google Scholar] [CrossRef]
- Madruga, L.Y.C.; Baghersad, S.; Câmara, P.C.F.; Sabino, R.M.; Kipper, M.J.; Popat, K.C. Carboxymethyl Kappa-Carrageenan Polyelectrolyte Multilayers: Anticoagulant Blood-Compatible Coatings as Sustainable Alternatives to Heparin for Blood-Contacting Surfaces. Discov. Biotechnol. 2025, 2, 37. [Google Scholar] [CrossRef] [PubMed]
- Saluri, K.; Tuvikene, R. Anticoagulant and Antioxidant Activity of Lambda- and Theta-Carrageenans of Different Molecular Weights. Bioact. Carbohydr. Diet. Fibre 2020, 24, 100243. [Google Scholar] [CrossRef]
- Li, Y.; Li, J.; Shi, Z.; Wang, Y.; Song, X.; Wang, L.; Han, M.; Du, H.; He, C.; Zhao, W.; et al. Anticoagulant Chitosan-Kappa-Carrageenan Composite Hydrogel Sorbent for Simultaneous Endotoxin and Bacteria Cleansing in Septic Blood. Carbohydr. Polym. 2020, 243, 116470. [Google Scholar] [CrossRef] [PubMed]
- Plohl, O.; Fras Zemljič, L.; Vihar, B.; Vesel, A.; Gyergyek, S.; Maver, U.; Ban, I.; Bračič, M. Novel Magnetic Iron Oxide-Dextran Sulphate Nanocomposites as Potential Anticoagulants: Investigating Interactions with Blood Components and Assessing Cytotoxicity. Carbohydr. Polym. 2024, 343, 122469. [Google Scholar] [CrossRef]
- Drozd, N.N.; Logvinova, Y.S.; Torlopov, M.A.; Udoratina, E.V. Effect of Sulfation and Molecular Weight on Anticoagulant Activity of Dextran. Bull. Exp. Biol. Med. 2017, 162, 462–465. [Google Scholar] [CrossRef]
- Musajonovich, O.M.; Erkinovich, N.K.; Guli, R.; Raximovna, Y.U.; Akhmadjon, J.; O’ktamovna, O.O.; Mavsumaxon, A.; Sherzodjonovna, B.S. Antithrombotic Effects of Dextran Sulfate And Starch Sulfate Derivatives On Thrombosis Model Induced by Thromboplastin. Int. J. Med. Toxicol. Leg. Med. 2024, 27, 5. [Google Scholar]
- Maitz, M.F. Applications of Synthetic Polymers in Clinical Medicine. Biosurface Biotribology 2015, 1, 161–176. [Google Scholar] [CrossRef]
- Cheng, X.; Wang, C.; Su, Y.; Luo, X.; Liu, X.; Song, Y.; Deng, Y. Enhanced Opsonization-Independent Phagocytosis and High Response Ability to Opsonized Antigen–Antibody Complexes: A New Role of Kupffer Cells in the Accelerated Blood Clearance Phenomenon upon Repeated Injection of PEGylated Emulsions. Mol. Pharm. 2018, 15, 3755–3766. [Google Scholar] [CrossRef] [PubMed]
- Zhao, J.; Bai, L.; Muhammad, K.; Ren, X.; Guo, J.; Xia, S.; Zhang, W.; Feng, Y. Construction of Hemocompatible and Histocompatible Surface by Grafting Antithrombotic Peptide ACH11 and Hydrophilic PEG. ACS Biomater. Sci. Eng. 2019, 5, 2846–2857. [Google Scholar] [CrossRef]
- Song, X.; Wen, Y.; Li, A.W.L.; Zhu, J.; Koh, C.Y.; Kini, R.M.; Chan, M.Y.Y.; Li, J. PEGylation of New Thrombin Inhibitor Peptide Ultravariegin for Prolonged In Vivo Circulation and Enhanced Antithrombotic Effects. Mol. Pharm. 2024, 21, 6302–6310. [Google Scholar] [CrossRef]
- Vepari, C.; Matheson, D.; Drummy, L.; Naik, R.; Kaplan, D.L. Surface Modification of Silk Fibroin with Poly (Ethylene Glycol) for Antiadhesion and Antithrombotic Applications. J. Biomed. Mater. Res. 2010, 93A, 595–606. [Google Scholar] [CrossRef]
- Lu, X.; Kang, Y.; Wang, X.; Wang, W.; Liu, C.; Jiang, H.; Yuan, Y. An Anticoagulant Coating Based on a Block Phosphocholine Copolymer for Potential Applications in Blood Contact Devices. Adv. Mater. Interfaces 2025, 12, 2400954. [Google Scholar] [CrossRef]
- Iwasaki, Y. Photoassisted Surface Modification with Zwitterionic Phosphorylcholine Polymers for the Fabrication of Ideal Biointerfaces. Langmuir 2023, 39, 15417–15430. [Google Scholar] [CrossRef]
- Táborská, J.; Riedelová, Z.; Brynda, E.; Májek, P.; Riedel, T. Endothelialization of an ePTFE Vessel Prosthesis Modified with an Antithrombogenic Fibrin/Heparin Coating Enriched with Bound Growth Factors. RSC Adv. 2021, 11, 5903–5913. [Google Scholar] [CrossRef]
- Swieton, J.; Miklosz, J.; Bielicka, N.; Frackiewicz, A.; Depczynski, K.; Stolarek, M.; Bonarek, P.; Kaminski, K.; Rozga, P.; Yusa, S.-I.; et al. Synthesis, Biological Evaluation and Reversal of Sulfonated Di- and Triblock Copolymers as Novel Parenteral Anticoagulants. Adv. Healthc. Mater. 2024, 13, 2402191. [Google Scholar] [CrossRef] [PubMed]
- Badv, M.; Bayat, F.; Weitz, J.I.; Didar, T.F. Single and Multi-Functional Coating Strategies for Enhancing the Biocompatibility and Tissue Integration of Blood-Contacting Medical Implants. Biomaterials 2020, 258, 120291. [Google Scholar] [CrossRef] [PubMed]
- Yu, C.; Yang, H.; Wang, L.; Thomson, J.A.; Turng, L.-S.; Guan, G. Surface Modification of Polytetrafluoroethylene (PTFE) with a Heparin-Immobilized Extracellular Matrix (ECM) Coating for Small-Diameter Vascular Grafts Applications. Mater. Sci. Eng. C 2021, 128, 112301. [Google Scholar] [CrossRef]
- Wang, X.; Nakamoto, T.; Dulińska-Molak, I.; Kawazoe, N.; Chen, G. Regulating the Stemness of Mesenchymal Stem Cells by Tuning Micropattern Features. J. Mater. Chem. B 2016, 4, 37–45. [Google Scholar] [CrossRef]
- Wang, D.; Xu, Y.; Wang, L.; Wang, X.; Yan, S.; Yilmaz, G.; Li, Q.; Turng, L.-S. Long-Term Nitric Oxide Release for Rapid Endothelialization in Expanded Polytetrafluoroethylene Small-Diameter Artificial Blood Vessel Grafts. Appl. Surf. Sci. 2020, 507, 145028. [Google Scholar] [CrossRef]
- Richter, G.M.; Stampfl, U.; Stampfl, S.; Rehnitz, C.; Holler, S.; Schnabel, P.; Grunze, M. A New Polymer Concept for Coating of Vascular Stents Using PTFEP (Poly(Bis(Trifluoroethoxy)Phosphazene) to Reduce Thrombogenicity and Late In-Stent Stenosis. Investig. Radiol. 2005, 40, 210–218. [Google Scholar] [CrossRef]
- Cassano, R.; Perri, P.; Esposito, A.; Intrieri, F.; Sole, R.; Curcio, F.; Trombino, S. Expanded Polytetrafluoroethylene Membranes for Vascular Stent Coating: Manufacturing, Biomedical and Surgical Applications, Innovations and Case Reports. Membranes 2023, 13, 240. [Google Scholar] [CrossRef]
- Sask, K.N.; Berry, L.R.; Chan, A.K.C.; Brash, J.L. Modification of Polyurethane Surface with an Antithrombin–Heparin Complex for Blood Contact: Influence of Molecular Weight of Polyethylene Oxide Used as a Linker/Spacer. Langmuir 2012, 28, 2099–2106. [Google Scholar] [CrossRef]
- Adipurnama, I.; Yang, M.-C.; Ciach, T.; Butruk-Raszeja, B. Surface Modification and Endothelialization of Polyurethane for Vascular Tissue Engineering Applications: A Review. Biomater. Sci. 2017, 5, 22–37. [Google Scholar] [CrossRef] [PubMed]
- Chou, S.F. Inhibition of Platelet Adhesion from Surface Modified Polyurethane Membranes. Biomed. J. Sci. Tech. Res. 2020, 32, 24988–24993. [Google Scholar] [CrossRef] [PubMed]
- Mendes, L.G.; Ferreira, F.V.; Sielski, M.S.; Livi, S.; Rocco, S.A.; Sforça, M.L.; Burga-Sánchez, J.; Vicente, C.P.; Mei, L.H.I. Electrospun Nanofibrous Architectures of Thrombin-Loaded Poly(Ethylene Oxide) for Faster in Vivo Wound Clotting. ACS Appl. Bio Mater. 2021, 4, 5240–5250. [Google Scholar] [CrossRef]
- Zhou, X.; Zhang, T.; Guo, D.; Gu, N. A Facile Preparation of Poly(Ethylene Oxide)-Modified Medical Polyurethane to Improve Hemocompatibility. Colloids Surf. A Physicochem. Eng. Asp. 2014, 441, 34–42. [Google Scholar] [CrossRef]
- Yue, H.; Yuan, L.; Zhang, W.; Zhang, S.; Wei, W.; Ma, G. Macrophage Responses to the Physical Burden of Cell-Sized Particles. J. Mater. Chem. B 2018, 6, 393–400. [Google Scholar] [CrossRef] [PubMed]
- Sugiyama, K.; Shiraishi, K.; Okada, K.; Matsuo, O. Biocompatible Block Copolymers Composed of Polydimethylsiloxane and Poly[(2-Methacryloyloxy)Ethyl Phosphorylcholine] Segments. Polym. J. 1999, 31, 883–886. [Google Scholar] [CrossRef][Green Version]
- Chi, C.; Sun, B.; Zhou, N.; Zhang, M.; Chu, X.; Yuan, P.; Shen, J. Anticoagulant Polyurethane Substrates Modified with Poly(2-Methacryloyloxyethyl Phosphorylcholine) via SI-RATRP. Colloids Surf. B Biointerfaces 2018, 163, 301–308. [Google Scholar] [CrossRef] [PubMed]
- Wang, S.; Gupta, A.S.; Sagnella, S.; Barendt, P.M.; Kottke-Marchant, K.; Marchant, R.E. Biomimetic Fluorocarbon Surfactant Polymers Reduce Platelet Adhesion on PTFE/ePTFE Surfaces. J. Biomater. Sci. Polym. Ed. 2009, 20, 619–635. [Google Scholar] [CrossRef]
- Torii, S.; Cheng, Q.; Mori, H.; Lipinski, M.J.; Acampado, E.; Perkins, L.E.L.; Hossainy, S.F.; Pacetti, S.D.; Kolodgie, F.D.; Virmani, R.; et al. Acute Thrombogenicity of Fluoropolymer-Coated versus Biodegradable and Polymer-Free Stents. EuroIntervention 2019, 14, 1685–1693. [Google Scholar] [CrossRef]
- Gregorits, B.M.; Wu, Y.; Chen, C.; Yeager, E.; Parker, M.C.; Martinez, I.; Lancaster, M.L.; Schmiedt, C.; Handa, H.; Allcock, H.R.; et al. In Vitro and In Vivo Biocompatibility Study of Fluorinated Polyphosphazene Coatings for Blood-Contacting Medical Devices. Acta Biomater. 2025, 203, 346–357. [Google Scholar] [CrossRef]
- Li, J.; Mooney, D.J. Designing Hydrogels for Controlled Drug Delivery. Nat. Rev. Mater. 2016, 1, 16071. [Google Scholar] [CrossRef] [PubMed]
- Borhani, S.; Hassanajili, S.; Ahmadi Tafti, S.H.; Rabbani, S. Cardiovascular Stents: Overview, Evolution, and next Generation. Prog. Biomater. 2018, 7, 175–205. [Google Scholar] [CrossRef] [PubMed]
- Singh, N.B.; Kumar, B.; Usman, U.L.; Susan, A.B.H. Nano Revolution: Exploring the Frontiers of Nanomaterials in Science, Technology, and Society. Nano-Struct. Nano-Objects 2024, 39, 101299. [Google Scholar] [CrossRef]
- Nazarzadeh Zare, E.; Khorsandi, D.; Zarepour, A.; Yilmaz, H.; Agarwal, T.; Hooshmand, S.; Mohammadinejad, R.; Ozdemir, F.; Sahin, O.; Adiguzel, S.; et al. Biomedical Applications of Engineered Heparin-Based Materials. Bioact. Mater. 2024, 31, 87–118. [Google Scholar] [CrossRef]
- Yang, X.; Wang, Q.; Zhang, A.; Shao, X.; Liu, T.; Tang, B.; Fang, G. Strategies for Sustained Release of Heparin: A Review. Carbohydr. Polym. 2022, 294, 119793. [Google Scholar] [CrossRef]
- Matsuzaki, Y.; Ulziibayar, A.; Shoji, T.; Shinoka, T. Heparin-Eluting Tissue-Engineered Bioabsorbable Vascular Grafts. Appl. Sci. 2021, 11, 4563. [Google Scholar] [CrossRef]
- Yang, J.; Zeng, H.; Luo, Y.; Chen, Y.; Wang, M.; Wu, C.; Hu, P. Recent Applications of PLGA in Drug Delivery Systems. Polymers 2024, 16, 2606. [Google Scholar] [CrossRef]
- Hua, Y.; Su, Y.; Zhang, H.; Liu, N.; Wang, Z.; Gao, X.; Gao, J.; Zheng, A. Poly(Lactic-Co-Glycolic Acid) Microsphere Production Based on Quality by Design: A Review. Drug Deliv. 2021, 28, 1342–1355. [Google Scholar] [CrossRef]
- He, J.; Zhou, Z.; Fan, Y.; Zhou, X.; Du, H. Sustained Release of Low Molecular Weight Heparin from PLGA Microspheres Prepared by a Solid-in-Oil-in-Water Emulsion Method. J. Microencapsul. 2011, 28, 763–770. [Google Scholar] [CrossRef]
- Koltowski, L.; Tomaniak, M.; Ochijewicz, D.; Opolski, G.; Kochman, J. Third-Generation Sirolimus-Eluting Bioresorbable Tyrocore Scaffold Implantation in Patients with ST-Segment Elevation Myocardial Infarction: Baseline and 6-Month OCT and Clinical Outcomes—A FANTOM STEMI Pilot Study. Cardiovasc. Drugs Ther. 2024, 38, 719–729. [Google Scholar] [CrossRef]
- Cifuentes, A.; Gómez-Gil, V.; Ortega, M.A.; Asúnsolo, Á.; Coca, S.; Román, J.S.; Álvarez-Mon, M.; Buján, J.; García-Honduvilla, N. Chitosan Hydrogels Functionalized with Either Unfractionated Heparin or Bemiparin Improve Diabetic Wound Healing. Biomed. Pharmacother. 2020, 129, 110498. [Google Scholar] [CrossRef]
- Maitz, M.F.; Freudenberg, U.; Tsurkan, M.V.; Fischer, M.; Beyrich, T.; Werner, C. Bio-Responsive Polymer Hydrogels Homeostatically Regulate Blood Coagulation. Nat. Commun. 2013, 4, 2168. [Google Scholar] [CrossRef] [PubMed]
- Maitz, M.F.; Zitzmann, J.; Hanke, J.; Renneberg, C.; Tsurkan, M.V.; Sperling, C.; Freudenberg, U.; Werner, C. Adaptive Release of Heparin from Anticoagulant Hydrogels Triggered by Different Blood Coagulation Factors. Biomaterials 2017, 135, 53–61. [Google Scholar] [CrossRef]
- Mei, T.; Zhang, P.; Hu, Y.; Xiao, L.; Hou, J.; Nagasaki, Y. Engineering Hirudin Encapsulation in pH-Responsive Antioxidant Nanoparticles for Therapeutic Efficacy in Ischemic Stroke Model Mice. Biomaterials 2025, 314, 122860. [Google Scholar] [CrossRef] [PubMed]
- Kim, J.H.; Ko, N.R.; Jung, B.-Y.; Kwon, I.K. Development of a Novel Dual PLGA and Alginate Coated Drug-Eluting Stent for Enhanced Blood Compatibility. Macromol. Res. 2016, 24, 931–939. [Google Scholar] [CrossRef]
- Junren, C.; Xiaofang, X.; Huiqiong, Z.; Gangmin, L.; Yanpeng, Y.; Xiaoyu, C.; Yuqing, G.; Yanan, L.; Yue, Z.; Fu, P.; et al. Pharmacological Activities and Mechanisms of Hirudin and Its Derivatives—A Review. Front. Pharmacol. 2021, 12, 660757. [Google Scholar] [CrossRef] [PubMed]
- Smogorzewska, A.; Brandt, J.T.; Chandler, W.L.; Cunningham, M.T.; Hayes, T.E.; Olson, J.D.; Kottke-Marchant, K.; Van Cott, E.M. Effect of Fondaparinux on Coagulation Assays: Results of College of American Pathologists Proficiency Testing. Arch. Pathol. Lab. Med. 2006, 130, 1605–1611. [Google Scholar] [CrossRef]
- Jiao, Y.; Ubrich, N.; Marchand-Arvier, M.; Vigneron, C.; Hoffman, M.; Lecompte, T.; Maincent, P. In Vitro and In Vivo Evaluation of Oral Heparin–Loaded Polymeric Nanoparticles in Rabbits. Circulation 2002, 105, 230–235. [Google Scholar] [CrossRef]
- Liu, X.-A.; Hussain, Y.; Wang, J.; Xia, P.; Huang, X.-X.; Huo, M.-W.; Shi, L.-Z.; Cui, J.-H.; Lee, B.-J.; Huang, R.; et al. Engineering Long-Acting Apixaban Loaded PLGA Microspheres for the Treatment of Stroke Caused by Atrial Fibrillation. Chem. Eng. J. 2025, 518, 164321. [Google Scholar] [CrossRef]
- Joseph, L.; Casanegra, A.I.; Dhariwal, M.; Smith, M.A.; Raju, M.G.; Militello, M.A.; Gomes, M.P.; Gornik, H.L.; Bartholomew, J.R. Bivalirudin for the Treatment of Patients with Confirmed or Suspected Heparin-induced Thrombocytopenia. J. Thromb. Haemost. 2014, 12, 1044–1053. [Google Scholar] [CrossRef] [PubMed]
- Jain, A.J.A. Formulation and Evaluation of Dabigatran Loaded Microballoons for Prolonged Drug Release. Tuijin Jishu/J. Propuls. Technol. 2023, 44, 4738–4743. [Google Scholar] [CrossRef]
- Din, F.U.; Lee, H.I.; Kim, J.S.; Woo, M.R.; Cheon, S.; Park, S.; Woo, S.; Jin, S.G.; Choi, H.-G. Physicochemical Characterization and in Vivo Assessment of Novel Apixaban-Loaded Polymeric Nano-Aggregates. J. Pharm. Investig. 2025, 55, 707–719. [Google Scholar] [CrossRef]
- Anwer, M.K.; Mohammad, M.; Iqbal, M.; Ansari, M.N.; Ezzeldin, E.; Fatima, F.; Alshahrani, S.M.; Aldawsari, M.F.; Alalaiwe, A.; Alzahrani, A.A.; et al. Sustained Release and Enhanced Oral Bioavailability of Rivaroxaban by PLGA Nanoparticles with No Food Effect. J. Thromb. Thrombolysis 2020, 49, 404–412. [Google Scholar] [CrossRef] [PubMed]
- Lee, P.-C.; Zan, B.-S.; Chen, L.-T.; Chung, T.-W. Multifunctional PLGA-Based Nanoparticles as a Controlled Release Drug Delivery System for Antioxidant and Anticoagulant Therapy. Int. J. Nanomed. 2019, 14, 1533–1549. [Google Scholar] [CrossRef]
- Tan, C.; Xiong, S. Preparation, Characterization and in Vitro/Vivo Evaluation of Long-Acting Rivaroxaban-Loaded Microspheres. Curr. Drug Deliv. 2023, 20, 1547–1558. [Google Scholar] [CrossRef] [PubMed]
- Paliwal, R.; Paliwal, S.R.; Agrawal, G.P.; Vyas, S.P. Chitosan Nanoconstructs for Improved Oral Delivery of Low Molecular Weight Heparin: In Vitro and in Vivo Evaluation. Int. J. Pharm. 2012, 422, 179–184. [Google Scholar] [CrossRef] [PubMed]
- Luong-Van, E.; Grøndahl, L.; Chua, K.N.; Leong, K.W.; Nurcombe, V.; Cool, S.M. Controlled Release of Heparin from Poly(ε-Caprolactone) Electrospun Fibers. Biomaterials 2006, 27, 2042–2050. [Google Scholar] [CrossRef]
- Liu, Y.; Lu, W.-L.; Wang, J.-C.; Zhang, X.; Zhang, H.; Wang, X.-Q.; Zhou, T.-Y.; Zhang, Q. Controlled Delivery of Recombinant Hirudin Based on Thermo-Sensitive Pluronic® F127 Hydrogel for Subcutaneous Administration: In Vitro and in Vivo Characterization. J. Control. Release 2007, 117, 387–395. [Google Scholar] [CrossRef] [PubMed]
- Houska, M.; Brynda, E.; Solovyev, A.; Broucková, A.; Krízová, P.; Vanícková, M.; Dyr, J.E. Hemocompatible Albumin-Heparin Coatings Prepared by the Layer-by-Layer Technique. The Effect of Layer Ordering on Thrombin Inhibition and Platelet Adhesion. J. Biomed. Mater. Res. A 2008, 86, 769–778. [Google Scholar] [CrossRef]
- Song, G.; Hu, Y.; Liu, Y.; Jiang, R. Layer-by-Layer Heparinization of the Cell Surface by Using Heparin-Binding Peptide Functionalized Human Serum Albumin. Materials 2018, 11, 849. [Google Scholar] [CrossRef]
- Xu, X.; Huang, X.; Zhang, Y.; Shen, S.; Feng, Z.; Dong, H.; Zhang, C.; Mo, R. Self-Regulated Hirudin Delivery for Anticoagulant Therapy. Sci. Adv. 2020, 6, eabc0382. [Google Scholar] [CrossRef]
- Zhang, Y.; Yu, J.; Wang, J.; Hanne, N.J.; Cui, Z.; Qian, C.; Wang, C.; Xin, H.; Cole, J.H.; Gallippi, C.M.; et al. Thrombin-Responsive Transcutaneous Patch for Auto-Anticoagulant Regulation. Adv. Mater. 2017, 29, 1604043. [Google Scholar] [CrossRef]
- Wu, M.; Xia, T.; Li, Y.; Wang, T.; Yang, S.; Yu, J.; Liang, Q.; Shen, T.; Yu, M.; Zhao, B. Design and Fabrication of R-Hirudin Loaded Dissolving Microneedle Patch for Minimally Invasive and Long-Term Treatment of Thromboembolic Disease. Asian J. Pharm. Sci. 2022, 17, 284–297. [Google Scholar] [CrossRef]
- Fan, B.; Xing, Y.; Zheng, Y.; Sun, C.; Liang, G. pH-Responsive Thiolated Chitosan Nanoparticles for Oral Low-Molecular Weight Heparin Delivery: In Vitro and in Vivo Evaluation. Drug Deliv. 2016, 23, 238–247. [Google Scholar] [CrossRef] [PubMed]
- Joseph, C.A.; McCarthy, C.W.; Tyo, A.G.; Hubbard, K.R.; Fisher, H.C.; Altscheffel, J.A.; He, W.; Pinnaratip, R.; Liu, Y.; Lee, B.P.; et al. Development of an Injectable Nitric Oxide Releasing Poly(Ethylene) Glycol-Fibrin Adhesive Hydrogel. ACS Biomater. Sci. Eng. 2019, 5, 959–969. [Google Scholar] [CrossRef] [PubMed]
- Brunette, M.; Holmes, H.; Lancina, M.G.; He, W.; Lee, B.P.; Frost, M.C.; Rajachar, R.M. Inducible Nitric Oxide Releasing Poly-(Ethylene Glycol)-Fibrinogen Adhesive Hydrogels for Tissue Regeneration. MRS Online Proc. Libr. 2013, 1569, 39–44. [Google Scholar] [CrossRef]
- Williams, D.F. On the Mechanisms of Biocompatibility. Biomaterials 2008, 29, 2941–2953. [Google Scholar] [CrossRef]
- Labarrere, C.A.; Dabiri, A.E.; Kassab, G.S. Thrombogenic and Inflammatory Reactions to Biomaterials in Medical Devices. Front. Bioeng. Biotechnol. 2020, 8, 123. [Google Scholar] [CrossRef] [PubMed]
- Nappi, F.; Nenna, A.; Larobina, D.; Martuscelli, G.; Singh, S.S.A.; Chello, M.; Ambrosio, L. The Use of Bioactive Polymers for Intervention and Tissue Engineering: The New Frontier for Cardiovascular Therapy. Polymers 2021, 13, 446. [Google Scholar] [CrossRef]
- Shakibania, S.; Biggs, M.J.P.; Krukiewicz, K. Adjusting Cell-Surface Interactions Through a Covalent Immobilization of Biomolecules. Adv. Mater. Interfaces 2025, 12, 2400774. [Google Scholar] [CrossRef]
- Gott, V.L.; Whiffen, J.D.; Dutton, R.C. Heparin Bonding on Colloidal Graphite Surfaces. Science 1963, 142, 1297–1298. [Google Scholar] [CrossRef]
- Gong, F.; Cheng, X.; Wang, S.; Zhao, Y.; Gao, Y.; Cai, H. Heparin-Immobilized Polymers as Non-Inflammatory and Non-Thrombogenic Coating Materials for Arsenic Trioxide Eluting Stents. Acta Biomater. 2010, 6, 534–546. [Google Scholar] [CrossRef]
- Matsuzaki, Y.; Miyamoto, S.; Miyachi, H.; Iwaki, R.; Shoji, T.; Blum, K.; Chang, Y.C.; Kelly, J.; Reinhardt, J.W.; Nakayama, H.; et al. Improvement of Novel Small-Diameter Tissue Engineered Arterial Graft with Heparin Conjugation. Ann. Thorac. Surg. 2021, 111, 1234–1241. [Google Scholar] [CrossRef] [PubMed]
- Larm, O.; Larsson, R.; Olsson, P. A New Non-Thrombogenic Surface Prepared by Selective Covalent Binding of Heparin Via a Modified Reducing Terminal Residue. Biomater. Med. Devices Artif. Organs 1983, 11, 161–173. [Google Scholar] [CrossRef] [PubMed]
- Ye, L.; Wu, X.; Duan, H.; Geng, X.; Chen, B.; Gu, Y.; Zhang, A.; Zhang, J.; Feng, Z. The in Vitro and in Vivo Biocompatibility Evaluation of Heparin–Poly(Ε-caprolactone) Conjugate for Vascular Tissue Engineering Scaffolds. J. Biomed. Mater. Res. Part A 2012, 100A, 3251–3258. [Google Scholar] [CrossRef]
- Ye, L.; Wu, X.; Mu, Q.; Chen, B.; Duan, Y.; Geng, X.; Gu, Y.; Zhang, A.; Zhang, J.; Feng, Z.-G. Heparin-Conjugated PCL Scaffolds Fabricated by Electrospinning and Loaded with Fibroblast Growth Factor 2. J. Biomater. Sci. Polym. Ed. 2011, 22, 389–406. [Google Scholar] [CrossRef]
- Du, Y.J.; Brash, J.L.; McClung, G.; Berry, L.R.; Klement, P.; Chan, A.K.C. Protein Adsorption on Polyurethane Catheters Modified with a Novel Antithrombin-Heparin Covalent Complex. J. Biomed. Mater. Res. Part A 2007, 80A, 216–225. [Google Scholar] [CrossRef] [PubMed]
- Özgüzar, H.F.; Evren, E.; Meydan, A.E.; Kabay, G.; Göçmen, J.S.; Buyukserin, F.; Erogul, O. Plasma-Assisted Surface Modification and Heparin Immobilization: Dual-Functionalized Blood-Contacting Biomaterials with Improved Hemocompatibility and Antibacterial Features. Adv. Mater. Interfaces 2023, 10, 2202009. [Google Scholar] [CrossRef]
- Yang, W.; Ge, J.; Liu, H.; Zhao, K.; Liu, X.; Qu, X.; Li, W.; Huang, Y.; Sun, A.; Zou, Y. Arsenic Trioxide Eluting Stent Reduces Neointima Formation in a Rabbit Iliac Artery Injury Model. Cardiovasc. Res. 2006, 72, 483–493. [Google Scholar] [CrossRef]
- Qiu, X.; Lee, B.L.-P.; Ning, X.; Murthy, N.; Dong, N.; Li, S. End-Point Immobilization of Heparin on Plasma-Treated Surface of Electrospun Polycarbonate-Urethane Vascular Graft. Acta Biomater. 2017, 51, 138–147. [Google Scholar] [CrossRef]
- Wang, W.; Hu, J.; He, C.; Nie, W.; Feng, W.; Qiu, K.; Zhou, X.; Gao, Y.; Wang, G. Heparinized PLLA/PLCL Nanofibrous Scaffold for Potential Engineering of Small-diameter Blood Vessel: Tunable Elasticity and Anticoagulation Property. J. Biomed. Mater. Res. 2015, 103, 1784–1797. [Google Scholar] [CrossRef]
- Liu, Y.; Luo, R.; Shen, F.; Tang, L.; Wang, J.; Huang, N. Construction of Mussel-Inspired Coating via the Direct Reaction of Catechol and Polyethyleneimine for Efficient Heparin Immobilization. Appl. Surf. Sci. 2015, 328, 163–169. [Google Scholar] [CrossRef]
- Lee, S.J.; Jo, H.H.; Lim, K.S.; Lim, D.; Lee, S.; Lee, J.H.; Kim, W.D.; Jeong, M.H.; Lim, J.Y.; Kwon, I.K.; et al. Heparin Coating on 3D Printed Poly (l-Lactic Acid) Biodegradable Cardiovascular Stent via Mild Surface Modification Approach for Coronary Artery Implantation. Chem. Eng. J. 2019, 378, 122116. [Google Scholar] [CrossRef]
- Zheng, Z.; Dai, X.; Li, X.; Du, C. Functionalization of PCL-Based Nanofibers Loaded with Hirudin as Blood Contact Materials. Biomater. Adv. 2023, 149, 213416. [Google Scholar] [CrossRef]
- Li, F.; Wang, J.; Huang, N. In Vitro Blood Compatibility of Polyethylene Terephthalate with Covalently Bounded Hirudin on Surface. J. Wuhan Univ. Technol. Mat. Sci. Ed. 2011, 26, 950–954. [Google Scholar] [CrossRef]
- Wyers, M.C.; Phaneuf, M.D.; Rzucidlo, E.M.; Contreras, M.A.; LoGerfo, F.W.; Quist, W.C. In Vivo Assessment of a Novel Dacron Surface with Covalently Bound Recombinant Hirudin. Cardiovasc. Pathol. 1999, 8, 153–159. [Google Scholar] [CrossRef]
- Onder, S.; Kazmanli, K.; Kok, F.N. Alteration of PTFE Surface to Increase Its Blood Compatibility. J. Biomater. Sci. Polym. Ed. 2011, 22, 1443–1457. [Google Scholar] [CrossRef]
- Wang, Q.; Tu, F.; Liu, Y.; Zhang, Y.; Li, H.; Kang, Z.; Yin, Y.; Wang, J. The Effect of Hirudin Modification of Silk Fibroin on Cell Growth and Antithrombogenicity. Mater. Sci. Eng. C 2017, 75, 237–246. [Google Scholar] [CrossRef] [PubMed]
- Yang, Z.; Tu, Q.; Maitz, M.F.; Zhou, S.; Wang, J.; Huang, N. Direct Thrombin Inhibitor-Bivalirudin Functionalized Plasma Polymerized Allylamine Coating for Improved Biocompatibility of Vascular Devices. Biomaterials 2012, 33, 7959–7971. [Google Scholar] [CrossRef]
- Li, J.; Liu, F.; Qin, Y.; He, J.; Xiong, Z.; Deng, G.; Li, Q. A Novel Natural Hirudin Facilitated Anti-Clotting Polylactide Membrane via Hydrogen Bonding Interaction. J. Membr. Sci. 2017, 523, 505–514. [Google Scholar] [CrossRef]
- Zhao, J.; Bai, L.; Ren, X.-K.; Guo, J.; Xia, S.; Zhang, W.; Feng, Y. Co-Immobilization of ACH11 Antithrombotic Peptide and CAG Cell-Adhesive Peptide onto Vascular Grafts for Improved Hemocompatibility and Endothelialization. Acta Biomater. 2019, 97, 344–359. [Google Scholar] [CrossRef]
- Li, P.; Cai, W.; Li, X.; Zhang, H.; Zhao, Y.; Wang, J. Sulfur-Mediated Polycarbonate Polyurethane for Potential Application of Blood-Contacting Materials. Front. Bioeng. Biotechnol. 2022, 10, 874419. [Google Scholar] [CrossRef]
- Ma, Q.; Zhang, W.; Mou, X.; Huang, N.; Wang, H.; Zhang, H.; Yang, Z. Bioinspired Zwitterionic Block Polymer-Armored Nitric Oxide-Generating Coating Combats Thrombosis and Biofouling. Research 2024, 7, 0423. [Google Scholar] [CrossRef]
- Yao, S.; Yan, H.; Tian, S.; Luo, R.; Zhao, Y.; Wang, J. Anti-Fouling Coatings for Blood-Contacting Devices. Smart Mater. Med. 2024, 5, 166–180. [Google Scholar] [CrossRef]
- Shao, Q.; Jiang, S. Molecular Understanding and Design of Zwitterionic Materials. Adv. Mater. 2015, 27, 15–26. [Google Scholar] [CrossRef] [PubMed]
- Wang, Y.-B.; Shi, K.-H.; Jiang, H.-L.; Gong, Y.-K. Significantly Reduced Adsorption and Activation of Blood Components in a Membrane Oxygenator System Coated with Crosslinkable Zwitterionic Copolymer. Acta Biomater. 2016, 40, 153–161. [Google Scholar] [CrossRef]
- Long, S.F.; Clarke, S.; Davies, M.C.; Lewis, A.L.; Hanlon, G.W.; Lloyd, A.W. Controlled Biological Response on Blends of a Phosphorylcholine-Based Copolymer with Poly(Butyl Methacrylate). Biomaterials 2003, 24, 4115–4121. [Google Scholar] [CrossRef] [PubMed]
- Chang, Y.; Shih, Y.-J.; Lai, C.-J.; Kung, H.-H.; Jiang, S. Blood-Inert Surfaces via Ion-Pair Anchoring of Zwitterionic Copolymer Brushes in Human Whole Blood. Adv. Funct. Mater. 2013, 23, 1100–1110. [Google Scholar] [CrossRef]
- Ye, F.; Chen, Z.; Li, C.; Chen, J.; Yi, G. A Study of the Phosphorylcholine Polymer Coating of a Polymethylpentene Hollow Fiber Membrane. Polymers 2023, 15, 2881. [Google Scholar] [CrossRef]
- Yang, H.; Wang, Y.; Yao, L.; Wang, J.; Chen, H. Antifouling Polymer Coatings for Bioactive Surfaces. Langmuir 2025, 41, 6471–6496. [Google Scholar] [CrossRef]
- Dizon, G.V.C.; Chang, C.-L.; Yeh, C.-C.; Chou, C.-J.; Jhong, J.-F.; Zheng, J.; Chang, Y. Bioinert Fibrous Polypropylene Membranes via In Situ Polymerization of Zwitterionic Poly(Sulfobetaine Methacrylate). Langmuir 2025, 41, 4524–4532. [Google Scholar] [CrossRef]
- Lenz-Habijan, T.; Bhogal, P.; Peters, M.; Bufe, A.; Martinez Moreno, R.; Bannewitz, C.; Monstadt, H.; Henkes, H. Hydrophilic Stent Coating Inhibits Platelet Adhesion on Stent Surfaces: Initial Results In Vitro. Cardiovasc. Interv. Radiol. 2018, 41, 1779–1785. [Google Scholar] [CrossRef]
- Fang, J.; Ye, S.-H.; Shankarraman, V.; Huang, Y.; Mo, X.; Wagner, W.R. Biodegradable Poly(Ester Urethane)Urea Elastomers with Variable Amino Content for Subsequent Functionalization with Phosphorylcholine. Acta Biomater. 2014, 10, 4639–4649. [Google Scholar] [CrossRef] [PubMed]
- Hong, Y.; Ye, S.-H.; Pelinescu, A.L.; Wagner, W.R. Synthesis, Characterization, and Paclitaxel Release from a Biodegradable, Elastomeric, Poly(Ester Urethane)Urea Bearing Phosphorylcholine Groups for Reduced Thrombogenicity. Biomacromolecules 2012, 13, 3686–3694. [Google Scholar] [CrossRef] [PubMed]
- Zhang, L.; Cao, Z.; Bai, T.; Carr, L.; Ella-Menye, J.-R.; Irvin, C.; Ratner, B.D.; Jiang, S. Zwitterionic Hydrogels Implanted in Mice Resist the Foreign-Body Reaction. Nat. Biotechnol. 2013, 31, 553–556. [Google Scholar] [CrossRef]
- Liu, Q.; Chiu, A.; Wang, L.; An, D.; Li, W.; Chen, E.Y.; Zhang, Y.; Pardo, Y.; McDonough, S.P.; Liu, L.; et al. Developing Mechanically Robust, Triazole-Zwitterionic Hydrogels to Mitigate Foreign Body Response (FBR) for Islet Encapsulation. Biomaterials 2020, 230, 119640. [Google Scholar] [CrossRef] [PubMed]
- Jansen, L.E.; Amer, L.D.; Chen, E.Y.-T.; Nguyen, T.V.; Saleh, L.S.; Emrick, T.; Liu, W.F.; Bryant, S.J.; Peyton, S.R. Zwitterionic PEG-PC Hydrogels Modulate the Foreign Body Response in a Modulus-Dependent Manner. Biomacromolecules 2018, 19, 2880–2888. [Google Scholar] [CrossRef]
- Movafaghi, S.; Leszczak, V.; Wang, W.; Sorkin, J.A.; Dasi, L.P.; Popat, K.C.; Kota, A.K. Hemocompatibility of Superhemophobic Titania Surfaces. Adv. Heal. Mater. 2017, 6, 1600717. [Google Scholar] [CrossRef]
- De Somer, F.; François, K.; van Oeveren, W.; Poelaert, J.; De Wolf, D.; Ebels, T.; Van Nooten, G. Phosphorylcholine Coating of Extracorporeal Circuits Provides Natural Protection against Blood Activation by the Material Surface. Eur. J. Cardiothorac. Surg. 2000, 18, 602–606. [Google Scholar] [CrossRef][Green Version]
- Sin, M.-C.; Chen, S.-H.; Chang, Y. Hemocompatibility of Zwitterionic Interfaces and Membranes. Polym. J. 2014, 46, 436–443. [Google Scholar] [CrossRef]
- Yao, M.; Wei, Z.; Li, J.; Guo, Z.; Yan, Z.; Sun, X.; Yu, Q.; Wu, X.; Yu, C.; Yao, F.; et al. Microgel Reinforced Zwitterionic Hydrogel Coating for Blood-Contacting Biomedical Devices. Nat. Commun. 2022, 13, 5339. [Google Scholar] [CrossRef] [PubMed]
- Crago, M.; Tan, R.; Hung, J.; Wise, S.G.; Akhavan, B.; Bilek, M.; Dehghani, F.; Talebian, S.; Naficy, S. Durable Plasma-Mediated Zwitterionic Grafting on Polymeric Surfaces for Implantable Medical Devices. Commun. Mater. 2024, 5, 24. [Google Scholar] [CrossRef]
- Shen, C.; Peng, B.; Meng, Q. Hydrophilic Modification of a PSU Membrane with Block Copolymer of PS-b-SBMA. Desalination Water Treat. 2022, 252, 42–49. [Google Scholar] [CrossRef]
- Marlena, J.; Tan, J.K.S.; Lin, Z.; Li, D.X.; Zhao, B.; Leo, H.L.; Kim, S.; Yap, C.H. Monolithic Polymeric Porous Superhydrophobic Material with Pneumatic Plastron Stabilization for Functionally Durable Drag Reduction in Blood-Contacting Biomedical Applications. NPG Asia Mater. 2021, 13, 58. [Google Scholar] [CrossRef]
- Sabino, R.M.; Kauk, K.; Movafaghi, S.; Kota, A.; Popat, K.C. Interaction of Blood Plasma Proteins with Superhemophobic Titania Nanotube Surfaces. Nanomedicine 2019, 21, 102046. [Google Scholar] [CrossRef]
- De, S.F.; Van, B.Y.; Caes, F.; François, K.; Arnout, J.; Bossuyt, X.; Taeymans, Y.; Van, N.G. Phosphorylcholine Coating Offers Natural Platelet Preservation during Cardiopulmonary Bypass. Perfusion 2002, 17, 39–44. [Google Scholar] [CrossRef]
- Tardalkar, K.; Marsale, T.; Bhamare, N.; Kshersagar, J.; Chaudhari, L.; Joshi, M.G. Heparin Immobilization of Tissue Engineered Xenogeneic Small Diameter Arterial Scaffold Improve Endothelialization. Tissue Eng. Regen. Med. 2022, 19, 505–523. [Google Scholar] [CrossRef]
- Yadav, C.J.; Yadav, U.; Afrin, S.; Lee, J.-Y.; Kamel, J.; Park, K.-M. Heparin Immobilization Enhances Hemocompatibility, Re-Endothelization, and Angiogenesis of Decellularized Liver Scaffolds. Int. J. Mol. Sci. 2024, 25, 12132. [Google Scholar] [CrossRef]
- Nie, C.; Ma, L.; Cheng, C.; Deng, J.; Zhao, C. Nanofibrous Heparin and Heparin-Mimicking Multilayers as Highly Effective Endothelialization and Antithrombogenic Coatings. Biomacromolecules 2015, 16, 992–1001. [Google Scholar] [CrossRef] [PubMed]
- Sakiyama-Elbert, S.E. Incorporation of Heparin into Biomaterials. Acta Biomater. 2014, 10, 1581–1587. [Google Scholar] [CrossRef] [PubMed]
- Liu, Y.; Qiu, W.-Z.; Yang, H.-C.; Qian, Y.-C.; Huang, X.-J.; Xu, Z.-K. Polydopamine-Assisted Deposition of Heparin for Selective Adsorption of Low-Density Lipoprotein. RSC Adv. 2015, 5, 12922–12930. [Google Scholar] [CrossRef]
- Gupta, S.; Puttaiahgowda, Y.M.; Deiglmayr, L. Recent Advances in the Design and Immobilization of Heparin for Biomedical Application: A Review. Int. J. Biol. Macromol. 2024, 264, 130743. [Google Scholar] [CrossRef]
- Zhang, J.; Wang, D.; Jiang, X.; He, L.; Fu, L.; Zhao, Y.; Wang, Y.; Mo, H.; Shen, J. Multistructured Vascular Patches Constructed via Layer-by-Layer Self-Assembly of Heparin and Chitosan for Vascular Tissue Engineering Applications. Chem. Eng. J. 2019, 370, 1057–1067. [Google Scholar] [CrossRef]
- Urbaniak, T.; García-Briones, G.S.; Zhigunov, A.; Hladysh, S.; Adrian, E.; Lobaz, V.; Krunclová, T.; Janoušková, O.; Pop-Georgievski, O.; Kubies, D. Quaternized Chitosan/Heparin Polyelectrolyte Multilayer Films for Protein Delivery. Biomacromolecules 2022, 23, 4734–4748. [Google Scholar] [CrossRef]
- Lee, J.Y.; Sharma, S.N.; Hong, S.-Y.; Ko, Y.-G.; Jang, Y.; Do, M.; Stark, M.C.; Peng, Q.; Mossburg, B.A.; Seo, B.C.; et al. Pressure-Responsive pH-Triggered Layer-by-Layer Coating of Paclitaxel-Eluting Balloon Catheters for Instant High-Dose Drug Delivery for Percutaneous Coronary Artery Intervention. Nano Res. 2024, 17, 9141–9151. [Google Scholar] [CrossRef]
- Xu, Z.; Feng, Z.; Guo, L.; Ye, L.; Tong, Z.; Geng, X.; Wang, C.; Jin, X.; Hui, X.; Gu, Y. Biocompatibility Evaluation of Heparin-Conjugated Poly(ε-Caprolactone) Scaffolds in a Rat Subcutaneous Implantation Model. J. Mater. Sci Mater. Med. 2020, 31, 76. [Google Scholar] [CrossRef] [PubMed]
- Edmondson, S.; Osborne, V.L.; Huck, W.T.S. Polymer Brushes via Surface-Initiated Polymerizations. Chem. Soc. Rev. 2004, 33, 14–22. [Google Scholar] [CrossRef] [PubMed]
- Li, G.; Xiao, Q.; Zhang, L.; Zhao, Y.; Yang, Y. Nerve Growth Factor Loaded Heparin/Chitosan Scaffolds for Accelerating Peripheral Nerve Regeneration. Carbohydr. Polym. 2017, 171, 39–49. [Google Scholar] [CrossRef]
- Elahi, M.F.; Guan, G.; Wang, L.; Zhao, X.; Wang, F.; King, M.W. Surface Modification of Silk Fibroin Fabric Using Layer-by-Layer Polyelectrolyte Deposition and Heparin Immobilization for Small-Diameter Vascular Prostheses. Langmuir 2015, 31, 2517–2526. [Google Scholar] [CrossRef]
- Wissink, M.J.B.; Beernink, R.; Pieper, J.S.; Poot, A.A.; Engbers, G.H.M.; Beugeling, T.; van Aken, W.G.; Feijen, J. Immobilization of Heparin to EDC/NHS-Crosslinked Collagen. Characterization and in Vitro Evaluation. Biomaterials 2001, 22, 151–163. [Google Scholar] [CrossRef] [PubMed]
- Elahi, M.F.; Guan, G.; Wang, L.; King, M.W. Influence of Layer-by-Layer Polyelectrolyte Deposition and EDC/NHS Activated Heparin Immobilization onto Silk Fibroin Fabric. Materials 2014, 7, 2956–2977. [Google Scholar] [CrossRef] [PubMed]
- Bao, J.; Wu, Q.; Sun, J.; Zhou, Y.; Wang, Y.; Jiang, X.; Li, L.; Shi, Y.; Bu, H. Hemocompatibility Improvement of Perfusion-Decellularized Clinical-Scale Liver Scaffold through Heparin Immobilization. Sci. Rep. 2015, 5, 10756. [Google Scholar] [CrossRef]
- Xu, Z.; Gu, Y.; Li, J.; Feng, Z.; Guo, L.; Tong, Z.; Ye, L.; Wang, C.; Wang, R.; Geng, X.; et al. Vascular Remodeling Process of Heparin-Conjugated Poly(ε-Caprolactone) Scaffold in a Rat Abdominal Aorta Replacement Model. J. Vasc. Res. 2018, 55, 338–349. [Google Scholar] [CrossRef]
- Cao, J.; Geng, X.; Wen, J.; Li, Q.; Ye, L.; Zhang, A.; Feng, Z.; Guo, L.; Gu, Y. The Penetration and Phenotype Modulation of Smooth Muscle Cells on Surface Heparin Modified Poly(ɛ-Caprolactone) Vascular Scaffold. J. Biomed. Mater. Res. Part A 2017, 105, 2806–2815. [Google Scholar] [CrossRef]
- Palumbo, F.S.; Fiorica, C.; Carreca, A.P.; Iannolo, G.; Pitarresi, G.; Amico, G.; Giammona, G.; Conaldi, P.G.; Chinnici, C.M. Modulating the Release of Bioactive Molecules of Human Mesenchymal Stromal Cell Secretome: Heparinization of Hyaluronic Acid-Based Hydrogels. Int. J. Pharm. 2024, 653, 123904. [Google Scholar] [CrossRef]
- Zhang, M.; Chan, C.H.H.; Pauls, J.P.; Semenzin, C.; Ainola, C.; Peng, H.; Fu, C.; Whittaker, A.K.; Heinsar, S.; Fraser, J.F. Investigation of Heparin-Loaded Poly(Ethylene Glycol)-Based Hydrogels as Anti-Thrombogenic Surface Coatings for Extracorporeal Membrane Oxygenation. J. Mater. Chem. B 2022, 10, 4974–4983. [Google Scholar] [CrossRef]
- Hong, Q.; Zhou, H.; Cheng, Y.; Yang, M.; Zhang, Q.; Liu, S.; Xiong, Q.; Pan, C. Synthesis of Star 6-Arm Polyethylene Glycol-Heparin Copolymer to Construct Anticorrosive and Biocompatible Coating on Magnesium Alloy Surface. Front. Bioeng. Biotechnol. 2022, 10, 853487. [Google Scholar] [CrossRef] [PubMed]
- Paluck, S.J.; Nguyen, T.H.; Maynard, H.D. Heparin-Mimicking Polymers: Synthesis and Biological Applications. Biomacromolecules 2016, 17, 3417–3440. [Google Scholar] [CrossRef]
- Pilipenko, I.M.; Korzhikov-Vlakh, V.A.; Zakharova, N.V.; Urtti, A.; Tennikova, T.B. Thermo- and pH-Sensitive Glycosaminoglycans Derivatives Obtained by Controlled Grafting of Poly(N-Isopropylacrylamide). Carbohydr. Polym. 2020, 248, 116764. [Google Scholar] [CrossRef]
- Amaral, S.; Lozano-Fernández, T.; Sabin, J.; Gallego, A.; da Silva Morais, A.; Reis, R.L.; González-Fernández, Á.; Pashkuleva, I.; Novoa-Carballal, R. End-on PEGylation of Heparin: Effect on Anticoagulant Activity and Complexation with Protamine. Int. J. Biol. Macromol. 2023, 249, 125957. [Google Scholar] [CrossRef]
- Marchena, M.H.; Lambert, E.; Bogdanović, B.; Quadir, F.; Neri-Cruz, C.E.; Luo, J.; Nadal, C.; Migliorini, E.; Gautrot, J.E. BMP-Binding Polysulfonate Brushes to Control Growth Factor Presentation and Regulate Matrix Remodelling. ACS Appl. Mater. Interfaces 2024, 16, 40455–40468, Correction in ACS Appl. Mater. Interfaces 2025, 17, 42487. [Google Scholar] [CrossRef] [PubMed]
- Sivasankaran, R.P.; Snell, K.; Kunkel, G.; Georgiou, P.G.; Puente, E.G.; Maynard, H.D. Polymer-Mediated Protein/Peptide Therapeutic Stabilization: Current Progress and Future Directions. Prog. Polym. Sci. 2024, 156, 101867. [Google Scholar] [CrossRef]
- Guo, S.; Wang, X.; Dai, Y.; Dai, X.; Li, Z.; Luo, Q.; Zheng, X.; Gu, Z.; Zhang, H.; Gong, Q.; et al. Enhancing the Efficacy of Metal-Free MRI Contrast Agents via Conjugating Nitroxides onto PEGylated Cross-Linked Poly(Carboxylate Ester). Adv. Sci. 2020, 7, 2000467. [Google Scholar] [CrossRef] [PubMed]
- Zhong, L.; Xu, L.; Liu, Y.; Li, Q.; Zhao, D.; Li, Z.; Zhang, H.; Zhang, H.; Kan, Q.; Wang, Y.; et al. Transformative Hyaluronic Acid-Based Active Targeting Supramolecular Nanoplatform Improves Long Circulation and Enhances Cellular Uptake in Cancer Therapy. Acta Pharm. Sin. B 2019, 9, 397–409. [Google Scholar] [CrossRef]
- Zhu, T.; Gu, H.; Zhang, H.; Wang, H.; Xia, H.; Mo, X.; Wu, J. Covalent Grafting of PEG and Heparin Improves Biological Performance of Electrospun Vascular Grafts for Carotid Artery Replacement. Acta Biomater. 2021, 119, 211–224. [Google Scholar] [CrossRef]
- Wu, Y.; Li, F.; Zhang, X.; Li, Z.; Zhang, Q.; Wang, W.; Pan, D.; Zheng, X.; Gu, Z.; Zhang, H.; et al. Tumor Microenvironment-Responsive PEGylated Heparin-Pyropheophorbide-a Nanoconjugates for Photodynamic Therapy. Carbohydr. Polym. 2021, 255, 117490. [Google Scholar] [CrossRef]
- Koch, M.K.; Ravichandran, A.; Murekatete, B.; Clegg, J.; Joseph, M.T.; Hampson, M.; Jenkinson, M.; Bauer, H.S.; Snell, C.; Liu, C.; et al. Exploring the Potential of PEG-Heparin Hydrogels to Support Long-Term Ex Vivo Culture of Patient-Derived Breast Explant Tissues. Adv. Healthc. Mater. 2023, 12, 2202202. [Google Scholar] [CrossRef]
- Thiele, T.; Ibarlucea, B.; Akbar, T.F.; Werner, C.; Cuniberti, G. StarPEG–Heparin Biosensors for Rapid and Portable Diagnostics in Complex Biofluids. Sens. Diagn. 2022, 1, 558–565. [Google Scholar] [CrossRef]
- Revuelta, J.; Aranaz, I.; Acosta, N.; Civera, C.; Bastida, A.; Peña, N.; Monterrey, D.T.; Doncel-Pérez, E.; Garrido, L.; Heras, Á.; et al. Unraveling the Structural Landscape of Chitosan-Based Heparan Sulfate Mimics Binding to Growth Factors: Deciphering Structural Determinants for Optimal Activity. ACS Appl. Mater. Interfaces 2020, 12, 25534–25545. [Google Scholar] [CrossRef]
- Božič Mijovski, M. Advances in Monitoring Anticoagulant Therapy. In Advances in Clinical Chemistry; Elsevier: Amsterdam, The Netherlands, 2019; Volume 90, pp. 197–213. ISBN 978-0-12-817179-0. [Google Scholar]
- Bray, C.; Gurnani, P.; Mansfield, E.D.H.; Peltier, R.; Perrier, S. Sulfonated Copolymers as Heparin-Mimicking Stabilizer of Fibroblast Growth Factor: Size, Architecture, and Monomer Distribution Effects. Biomacromolecules 2018, 20, 285–293. [Google Scholar] [CrossRef]
- Paluck, S.J.; Nguyen, T.H.; Lee, J.P.; Maynard, H.D. A Heparin-Mimicking Block Copolymer Both Stabilizes and Increases the Activity of Fibroblast Growth Factor 2 (FGF2). Biomacromolecules 2016, 17, 3386–3395. [Google Scholar] [CrossRef]
- Heide, F.; Koch, M.; Stetefeld, J. Heparin Mimetics and Their Impact on Extracellular Matrix Protein Assemblies. Pharmaceuticals 2023, 16, 471. [Google Scholar] [CrossRef]
- Wu, J.; Xiao, Z.; Chen, A.; He, H.; He, C.; Shuai, X.; Li, X.; Chen, S.; Zhang, Y.; Ren, B.; et al. Sulfated Zwitterionic Poly(Sulfobetaine Methacrylate) Hydrogels Promote Complete Skin Regeneration. Acta Biomater. 2018, 71, 293–305. [Google Scholar] [CrossRef]
- Xiao, Z.; Zheng, X.; An, Y.; Wang, K.; Zhang, J.; He, H.; Wu, J. Zwitterionic Hydrogel for Sustained Release of Growth Factors to Enhance Wound Healing. Biomater. Sci. 2021, 9, 882–891. [Google Scholar] [CrossRef] [PubMed]
- Abdulsalam, H.; Li, J.; Loka, R.S.; Sletten, E.T.; Nguyen, H.M. Heparan Sulfate-Mimicking Glycopolymers Bind SARS-CoV-2 Spike Protein in a Length- and Sulfation Pattern-Dependent Manner. ACS Med. Chem. Lett. 2023, 14, 1411–1418. [Google Scholar] [CrossRef]
- Kardeby, C.; Fälker, K.; Haining, E.J.; Criel, M.; Lindkvist, M.; Barroso, R.; Påhlsson, P.; Ljungberg, L.U.; Tengdelius, M.; Rainger, G.E.; et al. Synthetic Glycopolymers and Natural Fucoidans Cause Human Platelet Aggregation via PEAR1 and GPIbα. Blood Adv. 2019, 3, 275–287. [Google Scholar] [CrossRef] [PubMed]
- Kocabay, S.; Bahar, M.R.; Tekin, S.; Akkaya, R.; Akkaya, B. Chemical and Biological Characterization of Sulfated Chitosan Oligomer as Heparin Mimics. Polym. Polym. Compos. 2021, 29, S1023–S1032. [Google Scholar] [CrossRef]
- Ayyoub, S.; Orriols, R.; Oliver, E.; Ceide, O.T. Thrombosis Models: An Overview of Common In Vivo and In Vitro Models of Thrombosis. Int. J. Mol. Sci. 2023, 24, 2569. [Google Scholar] [CrossRef] [PubMed]
- Liu, R.H.; Ong, C.S.; Fukunishi, T.; Ong, K.; Hibino, N. Review of Vascular Graft Studies in Large Animal Models. Tissue Eng. Part B Rev. 2018, 24, 133–143. [Google Scholar] [CrossRef] [PubMed]
- Lu, D.; Jin, Y.; Wang, X.; Xie, L.; Liu, Q.; Chen, Y.; Wang, H.; Lei, Z. Heparin-like Anticoagulant Polypeptides with Tunable Activity: Synthesis, Characterization, Anticoagulative Properties and Clot Solubilities in Vitro. Mater. Sci. Eng. C 2021, 129, 112405. [Google Scholar] [CrossRef]
- Liu, H.; Shan, P.; Lu, Y.; Lian, X.; He, F.; Xiao, J.; Qiu, L.; Liu, Z.; Gan, Z.; Yan, Q.; et al. Heparin Mimicking Sulfonated Polyester Synergistically Promotes Bacterial Infected-Wound Healing with ROS Responsive Cinnamaldehyde Based Prodrugs. Chem. Eng. J. 2024, 495, 153513. [Google Scholar] [CrossRef]
- Liu, K.; Nickl, P.; Feng, J.; Haag, R. A Robust Heparin-Mimicking Polyglycerol-Based Coating for Blood-Contacting Devices with Long-Term Hemocompatibility and Preliminary Anti-Inflammatory Properties. Adv. Healthc. Mater. 2026, 15, e02766. [Google Scholar] [CrossRef]
- Feng, Q.; Lin, S.; Zhang, K.; Dong, C.; Wu, T.; Huang, H.; Yan, X.; Zhang, L.; Li, G.; Bian, L. Sulfated Hyaluronic Acid Hydrogels with Retarded Degradation and Enhanced Growth Factor Retention Promote hMSC Chondrogenesis and Articular Cartilage Integrity with Reduced Hypertrophy. Acta Biomater. 2017, 53, 329–342. [Google Scholar] [CrossRef]
- Gbyli, R.; Mercaldi, A.; Sundaram, H.; Amoako, K.A. Achieving Totally Local Anticoagulation on Blood Contacting Devices. Adv. Mater. Interfaces 2018, 5, 1700954. [Google Scholar] [CrossRef]
- Kuchinka, J.; Willems, C.; Telyshev, D.V.; Groth, T. Control of Blood Coagulation by Hemocompatible Material Surfaces—A Review. Bioengineering 2021, 8, 215. [Google Scholar] [CrossRef]
- ISO 10993-4:2017(En); Biological Evaluation of Medical Devices—Part 4: Selection of Tests for Interactions with Blood. ISO: Geneva, Switzerland, 2017. Available online: https://www.iso.org/obp/ui/en/#iso:std:iso:10993:-4:ed-3:v1:en (accessed on 5 November 2025).
- ASTM F756-17; Standard Practice for Assessment of Hemolytic Properties of Materials. ASTM: West Conshohocken, PA, USA, 2017. Available online: https://standards.iteh.ai/catalog/standards/astm/59fe4667-a8e7-43a5-9b02-c51466dd2bcb/astm-f756-17 (accessed on 7 November 2025).
- Standard Guide for Characterization and Testing of Biomaterial Scaffolds Used in Regenerative Medicine and Tissue-Engineered Medical Products. Available online: https://store.astm.org/f2150-19.html (accessed on 7 November 2025).
- ASTM F2888-13; Standard Test Method for Platelet Leukocyte Count—An In-Vitro Measure for Hemocompatibility Assessment of Cardiovascular Materials. ASTM: West Conshohocken, PA, USA, 2013. Available online: https://standards.iteh.ai/catalog/standards/astm/c88040ac-f251-47d4-9bf6-686576485976/astm-f2888-13 (accessed on 7 November 2025).
- Activated Partial Thromboplastin Time—An Overview. ScienceDirect Topics. Available online: https://www.sciencedirect.com/topics/engineering/activated-partial-thromboplastin-time?utm_source=chatgpt.com (accessed on 5 November 2025).
- Yang, R.; Zubair, M.; Moosavi, L. Prothrombin Time. In StatPearls; StatPearls Publishing: Treasure Island, FL, USA, 2025. [Google Scholar]
- Paniccia, R.; Priora, R.; Alessandrello Liotta, A.; Abbate, R. Platelet Function Tests: A Comparative Review. Vasc. Health Risk Manag. 2015, 133–148. [Google Scholar] [CrossRef]
- Braune, S.; Lendlein, A.; Jung, F. Developing Standards and Test Protocols for Testing the Hemocompatibility of Biomaterials. In Hemocompatibility of Biomaterials for Clinical Applications; Elsevier: Amsterdam, The Netherlands, 2018; pp. 51–76. ISBN 978-0-08-100497-5. [Google Scholar]
- Patel, M.; Parrish, A.; Serna, C.; Jamiolkowski, M.; Srinivasan, K.; Malinauskas, R.; Lu, Q. Molecular Biomarkers for In Vitro Thrombogenicity Assessment of Medical Device Materials. J. Biomed. Mater. Res. 2024, 112, e35491. [Google Scholar] [CrossRef] [PubMed]
- Braune, S.; Sperling, C.; Maitz, M.F.; Steinseifer, U.; Clauser, J.; Hiebl, B.; Krajewski, S.; Wendel, H.P.; Jung, F. Evaluation of Platelet Adhesion and Activation on Polymers: Round-Robin Study to Assess Inter-Center Variability. Colloids Surf. B Biointerfaces 2017, 158, 416–422. [Google Scholar] [CrossRef] [PubMed]
- Braune, S.; Grunze, M.; Straub, A.; Jung, F. Are There Sufficient Standards for the in Vitro Hemocompatibility Testing of Biomaterials? Biointerphases 2013, 8, 33. [Google Scholar] [CrossRef]
- Clauser, J.C.; Maas, J.; Arens, J.; Schmitz-Rode, T.; Steinseifer, U.; Berkels, B. Hemocompatibility Evaluation of Biomaterials—The Crucial Impact of Analyzed Area. ACS Biomater. Sci. Eng. 2021, 7, 553–561. [Google Scholar] [CrossRef]
- Van Oeveren, W. Obstacles in Haemocompatibility Testing. Scientifica 2013, 2013, 392584. [Google Scholar] [CrossRef] [PubMed]
- Sperling, C.; Maitz, M.F.; Körber, V.; Hänsel, S.; Werner, C. Advanced in Vitro Hemocompatibility Assessment of Biomaterials Using a New Flow Incubation System. Biomater. Adv. 2023, 153, 213555. [Google Scholar] [CrossRef]
- Fang, Z.; Xiao, Y.; Geng, X.; Jia, L.; Xing, Y.; Ye, L.; Gu, Y.; Zhang, A.; Feng, Z. Fabrication of Heparinized Small Diameter TPU/PCL Bi-Layered Artificial Blood Vessels and in Vivo Assessment in a Rabbit Carotid Artery Replacement Model. Biomater. Adv. 2022, 133, 112628. [Google Scholar] [CrossRef]
- Govender, K.; Walser, C.; Cabrales, P. High-Molecular-Weight Linear Polymers Improve Microvascular Perfusion after Extracorporeal Circulation. J. Appl. Physiol. 2024, 136, 213–223. [Google Scholar] [CrossRef]
- Yau, J.W.; Stafford, A.R.; Liao, P.; Fredenburgh, J.C.; Roberts, R.; Brash, J.L.; Weitz, J.I. Corn Trypsin Inhibitor Coating Attenuates the Prothrombotic Properties of Catheters in Vitro and in Vivo. Acta Biomater. 2012, 8, 4092–4100. [Google Scholar] [CrossRef] [PubMed]
- Kim, S.-E.; Jeong, S.-I.; Shim, K.-M.; Jang, K.; Park, J.-S.; Lim, Y.-M.; Kang, S.-S. In Vivo Evaluation of Gamma-Irradiated and Heparin-Immobilized Small-Diameter Polycaprolactone Vascular Grafts with VEGF in Aged Rats. Polymers 2022, 14, 1265. [Google Scholar] [CrossRef] [PubMed]
- Lee, K.S.; Kayumov, M.; Emechebe, G.A.; Kim, D.-W.; Cho, H.-J.; Jeong, Y.-J.; Lee, D.-W.; Park, J.-K.; Park, C.-H.; Kim, C.-S.; et al. A Comparative Study of an Anti-Thrombotic Small-Diameter Vascular Graft with Commercially Available e-PTFE Graft in a Porcine Carotid Model. Tissue Eng. Regen. Med. 2022, 19, 537–551. [Google Scholar] [CrossRef]
- Zhou, S.-Y.; Li, L.; Xie, E.; Li, M.-X.; Cao, J.-H.; Yang, X.-B.; Wu, D.-Y. Small-Diameter PCL/PU Vascular Graft Modified with Heparin-Aspirin Compound for Preventing the Occurrence of Acute Thrombosis. Int. J. Biol. Macromol. 2023, 249, 126058. [Google Scholar] [CrossRef]
- Kim, J.M.; Bae, I.-H.; Lim, K.S.; Park, J.-K.; Park, D.S.; Lee, S.-Y.; Jang, E.-J.; Ji, M.S.; Sim, D.S.; Hong, Y.J.; et al. A Method for Coating Fucoidan onto Bare Metal Stent and in Vivo Evaluation. Prog. Org. Coat. 2015, 78, 348–356. [Google Scholar] [CrossRef]
- Nishimiya, K.; Matsumoto, Y.; Uzuka, H.; Ogata, T.; Hirano, M.; Shindo, T.; Hasebe, Y.; Tsuburaya, R.; Shiroto, T.; Takahashi, J.; et al. Beneficial Effects of a Novel Bioabsorbable Polymer Coating on Enhanced Coronary Vasoconstricting Responses After Drug-Eluting Stent Implantation in Pigs in Vivo. JACC Cardiovasc. Interv. 2016, 9, 281–291. [Google Scholar] [CrossRef][Green Version]
- Hyun, D.Y.; Han, X.; Park, D.S.; Kim, M.; Park, J.K.; Cho, K.H.; Sim, D.S.; Hong, Y.J.; Ahn, Y.; Jeong, M.H. A Novel Polymer-Free Everolimus-Eluting Stent with a Nitrogen-Doped Titanium Dioxide Film Inhibits Restenosis and Thrombosis in a Swine Coronary Model. Cardiol. J. 2023, 30, 881–891. [Google Scholar] [CrossRef]
- Zhang, C.; Xie, Q.; Cha, R.; Ding, L.; Jia, L.; Mou, L.; Cheng, S.; Wang, N.; Li, Z.; Sun, Y.; et al. Anticoagulant Hydrogel Tubes with Poly(ɛ-Caprolactone) Sheaths for Small-Diameter Vascular Grafts. Adv. Healthc. Mater. 2021, 10, 2100839. [Google Scholar] [CrossRef]
- Pacharra, S.; McMahon, S.; Duffy, P.; Basnett, P.; Yu, W.; Seisel, S.; Stervbo, U.; Babel, N.; Roy, I.; Viebahn, R.; et al. Cytocompatibility Evaluation of a Novel Series of PEG-Functionalized Lactide-Caprolactone Copolymer Biomaterials for Cardiovascular Applications. Front. Bioeng. Biotechnol. 2020, 8, 991. [Google Scholar] [CrossRef]
- Hosseinzadeh, S.; Shams, F.; Fattahi, R.; Nuoroozi, G.; Rostami, E.; Shahghasempour, L.; Salehi-Nik, N.; Bohlouli, M.; Khojasteh, A.; Ghasemi, N.; et al. Surface Coating of Polyurethane Films with Gelatin, Aspirin and Heparin to Increase the Hemocompatibility of Artificial Vascular Grafts. Adv. Pharm. Bull. 2022, 13, 123–133. [Google Scholar] [CrossRef] [PubMed]
- Dimitrievska, S.; Maire, M.; Diaz-Quijada, G.A.; Robitaille, L.; Ajji, A.; Yahia, L.; Moreno, M.; Merhi, Y.; Bureau, M.N. Low Thrombogenicity Coating of Nonwoven PET Fiber Structures for Vascular Grafts. Macromol. Biosci. 2011, 11, 493–502. [Google Scholar] [CrossRef]
- Udriște, A.S.; Burdușel, A.C.; Niculescu, A.-G.; Rădulescu, M.; Grumezescu, A.M. Coatings for Cardiovascular Stents—An Up-to-Date Review. Int. J. Mol. Sci. 2024, 25, 1078. [Google Scholar] [CrossRef] [PubMed]
- Hong, J.K.; Waterhouse, A. Bioinspired Approaches to Engineer Antithrombogenic Medical Devices for Vascular Intervention. Arterioscler Thromb. Vasc. Biol. 2023, 43, 797–812. [Google Scholar] [CrossRef]
- Davidson, I.; Ross, J.R.; Gallichio, M.; Slakey, D. Expanded Treatment Options With ePTFE Vascular Grafts Having CBAS Heparin Surface for Hemodialysis—Selection of Best Patient-Centered Dialysis Access, Using New and Old Technology, Yields Excellent Outcomes: Follow-Up of 254 Grafts. Endovascular Today, June 2014 Supplement. Available online: https://evtoday.com/articles/2014-june-supplement/expanded-treatment-options-with-eptfe-vascular-grafts-having-cbas-heparin-surface-for-hemodialysis (accessed on 5 November 2025).
- Nantes University Hospital. Polytetrafluoroethylen (PTFE) Vascular Prostheses with Heparin Bonded Luminal Surfaces vs. Crude ePTFE in the Treatment of Critical Limb Ischemia Lesions in the Absence of a Suitable Autologous Vein, 2024. Available online: https://www.clinicaltrials.gov/study/NCT03430076 (accessed on 9 December 2025).
- National Institute for Health and Care Excellence (NICE). PROPATEN Heparin-Bonded Vascular Graft for Peripheral Arterial Disease: Advice Overview. Available online: https://www.nice.org.uk/advice/mib42 (accessed on 29 November 2025).
- Camaj, A.; Leone, P.P.; Colombo, A.; Vinayak, M.; Stone, G.W.; Mehran, R.; Dangas, G.; Kini, A.; Sharma, S.K. Drug-Coated Balloons for the Treatment of Coronary Artery Disease: A Review. JAMA Cardiol. 2025, 10, 189–198. [Google Scholar] [CrossRef]
- Elixir Medical Corporation. The DESyne BDS Plus RCT: A Randomized Clinical Trial to Assess the Elixir DESyne BDS Plus Drug Eluting Coronary Stent System for the Treatment of de Novo Native Coronary Artery Lesions. 2024. Available online: https://www.clinicaltrials.gov/study/NCT05033964 (accessed on 29 November 2025).
- Rissanen, T. Drug-Coated Balloon in Anticoagulated and Bleeding Risk Patients Undergoing PCI. 2023. Available online: https://clinicaltrials.gov/study/NCT04814212 (accessed on 29 November 2025).
- Freeman, J.; Chen, A.; Weinberg, R.J.; Okada, T.; Chen, C.; Lin, P.H. Sustained Thromboresistant Bioactivity with Reduced Intimal Hyperplasia of Heparin-Bonded Polytetrafluoroethylene Propaten Graft in a Chronic Canine Femoral Artery Bypass Model. Ann. Vasc. Surg. 2018, 49, 295–303. [Google Scholar] [CrossRef]
- Zoppo, C.T.; Mocco, J.; Manning, N.W.; Bogdanov, A.A.; Gounis, M.J. Surface Modification of Neurovascular Stents: From Bench to Patient. J. NeuroIntervent Surg. 2024, 16, 908–913. [Google Scholar] [CrossRef]
- He, B.; Tailor, D.; Ng, Z.Q.; Samuelson, S.; Nadkarni, S.; Van Myk, M.; Ferguson, J.; Tibballs, J.; Chan, D. Long-Term Outcomes of the Flixene Vascular Graft Used for Haemodialysis. Cureus 2021, 13, e13459. [Google Scholar] [CrossRef]
- Cornelissen, A.; Sakamoto, A.; Sato, Y.; Kawakami, R.; Mori, M.; Kawai, K.; Kutyna, M.; Fernandez, R.; Ghosh, S.; Barakat, M.; et al. COBRA PzFTM Coronary Stent in Clinical and Preclinical Studies: Setting the Stage for New Antithrombotic Strategies? Future Cardiol. 2022, 18, 207–217. [Google Scholar] [CrossRef] [PubMed]
- Liu, L.; Yu, H.; Wang, L.; Zhou, D.; Duan, X.; Zhang, X.; Yin, J.; Luan, S.; Shi, H. Heparin-Network-Mediated Long-Lasting Coatings on Intravascular Catheters for Adaptive Antithrombosis and Antibacterial Infection. Nat. Commun. 2024, 15, 107. [Google Scholar] [CrossRef] [PubMed]
- Zhang, M.; Pauls, J.P.; Bartnikowski, N.; Haymet, A.B.; Chan, C.H.H.; Suen, J.Y.; Schneider, B.; Ki, K.K.; Whittaker, A.K.; Dargusch, M.S.; et al. Anti-Thrombogenic Surface Coatings for Extracorporeal Membrane Oxygenation: A Narrative Review. ACS Biomater. Sci. Eng. 2021, 7, 4402–4419. [Google Scholar] [CrossRef]
- Medtronic. Affinity CP Centrifugal Blood Pump—Cardiopulmonary Products. Available online: https://europe.medtronic.com/xd-en/healthcare-professionals/products/cardiovascular/cardiopulmonary/affinity-cp-centrifugal-blood-pump.html (accessed on 29 November 2025).
- Tsukiya, T. Progress of Extracorporeal Centrifugal Pumps for Mechanical Circulatory Supports. J. Artif. Organs 2025, 28, 281–287. [Google Scholar] [CrossRef] [PubMed]
- Said, N.; Lau, W.J.; Ho, Y.-C.; Lim, S.K.; Zainol Abidin, M.N.; Ismail, A.F. A Review of Commercial Developments and Recent Laboratory Research of Dialyzers and Membranes for Hemodialysis Application. Membranes 2021, 11, 767. [Google Scholar] [CrossRef]
- Vanommeslaeghe, F.; De Somer, F.; Josipovic, I.; Boone, M.; Van Biesen, W.; Eloot, S. Evaluation of Different Dialyzers and the Impact of Predialysis Albumin Priming in Intermittent Hemodialysis With Reduced Anticoagulation. Kidney Int. Rep. 2019, 4, 1538–1545. [Google Scholar] [CrossRef]
- Fu, X.; Lei, T.; Li, S.; Liu, Y.; Peng, J.; Ning, J. Construction of Novel Antiplatelet Modified Polyethersulfone Membrane and Study into Its Blood Compatibility. Biomater. Adv. 2022, 135, 112659. [Google Scholar] [CrossRef]
- New Trials Redefine Antithrombotic and Stroke Prevention Strategies in AFib. Available online: https://www.acc.org/latest-in-cardiology/articles/2025/11/03/16/19/sat-315pm-afib-aha-2025#:~:text=Four%20major%20studies%20presented%20at%20AHA%202025%20are,fresh%20insights%20into%20stroke%20prevention%20and%20bleeding%20risk (accessed on 29 November 2025).
- Antithrombotic Therapy Clinical Trials & Research. Available online: https://www.trialnavigator.com/conditions/antithrombotic-therapy (accessed on 29 November 2025).
- Chan, A.; Brash, J.; Sask, K.; Selvaganapathy, R.; Fusch, C.; Fusch, G.; Rochow, N.; Helou, S.E.; Li, S. Multifunctional Surface Modification of Biomaterials with Agents to Reduce Thrombosis. WO2023/225749A1, 30 November 2023. [Google Scholar]
- Verheye, S.; Ferdinande, B.; Bennett, J.; Staico, R.; El-Jack, S.; Tonino, P.A.L.; Abizaid, A.; Buysschaert, I.; Scott, D.; Menon, M.; et al. Site-Specific Antithrombotic Therapy: 24-Month Outcomes of the Randomized DESyne BDS Plus Trial Using a Novel Triple-Drug Eluting Coronary Implant With Two Anticoagulants and Sirolimus. Catheter. Cardiovasc. Interv. 2025, 106, 2770–2780. [Google Scholar] [CrossRef]
- Sharma, S.; Parmar, A.; Kori, S.; Sandhir, R. PLGA-Based Nanoparticles: A New Paradigm in Biomedical Applications. TrAC Trends Anal. Chem. 2016, 80, 30–40. [Google Scholar] [CrossRef]
- Zhao, L.; Feng, L.; Shan, R.; Huang, Y.; Shen, L.; Fan, M.; Wang, Y. Nanoparticle-Based Approaches for Treating Restenosis after Vascular Injury. Front. Pharmacol. 2024, 15, 1427651. [Google Scholar] [CrossRef] [PubMed]
- Liang, M.; Zuo, D.; Wang, F.; Zhang, B.; Tian, J.; Huang, X.; Sun, Y.; Li, G.; Zhang, X.; Li, G. Drug-Eluting Vascular Stents with Surface Modification of Anticoagulation and pro-Endothelialization. Biomacromolecules 2025, 26, 7074–7084. [Google Scholar] [CrossRef] [PubMed]
- Preetam, S.; Mishra, R.; Thapliyal, S.; Rustagi, S.; Deshwal, R.K.; Ramniwas, S.; Dhasmana, A.; Rajab, B.S.; Alghamdi, S.; Malik, S. Bioactive Coatings for Cardiovascular Stents: Modulating Immune Response for Enhanced Performance. ACS Biomater. Sci. Eng. 2025, 11, 5805–5821. [Google Scholar] [CrossRef]
- Castiello, D.S.; Piccolo, R.; Kim, J.H.; Park, S.J.; Overduin, D.C.; ten Berg, J.M.; Meier, D.; Sellers, S.L.; Tarantini, G.; Nai Fovino, L.; et al. A State-of-the-Art on Antithrombotic Therapy in Complex PCI.; Optimal Minimal Stent Areas after Left Main Crossover Stenting; VARC-HBR Criteria Validation for TAVI; the Balloon-Expandable DurAVR Transcatheter Heart Valve; Valve-in-Valve TAVI and Redo-TAVI; and More. EuroIntervention 2025, 21, 18. [Google Scholar]
- Onwuemene, O.; Arepally, G.M. Heparin-Induced Thrombocytopenia: Research and Clinical Updates. Hematol. Am. Soc. Hematol. Educ. Program. 2016, 2016, 262–268. [Google Scholar] [CrossRef]
- Patel, A.H.; Abdelnour, M.W.; Frangieh, A.H. Drug-Coated Balloons for Coronary Interventions: A Focused Review. Methodist Debakey Cardiovasc. J. 2025, 21, 37–53. [Google Scholar] [CrossRef]
- Li, B.X.; Dai, X.; Xu, X.R.; Adili, R.; Neves, M.A.D.; Lei, X.; Shen, C.; Zhu, G.; Wang, Y.; Zhou, H.; et al. In Vitro Assessment and Phase I Randomized Clinical Trial of Anfibatide a Snake Venom Derived Anti-Thrombotic Agent Targeting Human Platelet GPIbα. Sci. Rep. 2021, 11, 11663. [Google Scholar] [CrossRef]
- Shakeel, A.; Corridon, P.R. Mitigating Challenges and Expanding the Future of Vascular Tissue Engineering—Are We There Yet? Front. Physiol. 2023, 13, 1079421. [Google Scholar] [CrossRef]
- Byrne, R.A.; Serruys, P.W.; Baumbach, A.; Escaned, J.; Fajadet, J.; James, S.; Joner, M.; Oktay, S.; Jüni, P.; Kastrati, A.; et al. Report of a European Society of Cardiology-European Association of Percutaneous Cardiovascular Interventions Task Force on the Evaluation of Coronary Stents in Europe: Executive Summary. Eur. Heart J. 2015, 36, 2608–2620. [Google Scholar] [CrossRef]
- Berard, X.; Ottaviani, N.; Brizzi, V.; Deglise, S.; De Precigout, V.; Ducasse, E.; Combe, C.; Midy, D. Use of the Flixene Vascular Access Graft as an Early Cannulation Solution. J. Vasc. Surg. 2015, 62, 128–134. [Google Scholar] [CrossRef][Green Version]
- Vollherbst, D.F.; Lücking, H.; DuPlessis, J.; Sonnberger, M.; Maurer, C.; Kocer, N.; Killer-Oberpfalzer, M.; Rautio, R.; Valvassori, L.; Berlis, A.; et al. The FRESH Study: Treatment of Intracranial Aneurysms with the New FRED X Flow Diverter with Antithrombotic Surface Treatment Technology—First Multicenter Experience in 161 Patients. Am. J. Neuroradiol. 2023, 44, 474–480. [Google Scholar] [CrossRef]
- Twine, C.P.; Kakkos, S.K.; Aboyans, V.; Baumgartner, I.; Behrendt, C.-A.; Bellmunt-Montoya, S.; Jilma, B.; Nordanstig, J.; Saratzis, A.; Reekers, J.A.; et al. Editor’s Choice—European Society for Vascular Surgery (ESVS) 2023 Clinical Practice Guidelines on Antithrombotic Therapy for Vascular Diseases. Eur. J. Vasc. Endovasc. Surg. 2023, 65, 627–689. [Google Scholar] [CrossRef]
- Castiello, D.S.; Buongiorno, F.; Manzi, L.; Narciso, V.; Forzano, I.; Florimonte, D.; Sperandeo, L.; Canonico, M.E.; Avvedimento, M.; Paolillo, R.; et al. Procedural and Antithrombotic Therapy Optimization in Patients with Atrial Fibrillation Undergoing Percutaneous Coronary Intervention: A Narrative Review. J. Cardiovasc. Dev. Dis. 2025, 12, 142. [Google Scholar] [CrossRef] [PubMed]
- CARMEDA®. BioActive Surface—Carmeda AB. Available online: https://www.carmeda.eu/carmeda-bioactive-surface (accessed on 29 November 2025).
- Thakur, S.; Pigott, J.P.; Comerota, A.J. Heparin-Induced Thrombocytopenia after Implantation of a Heparin-Bonded Polytetrafluoroethylene Lower Extremity Bypass Graft: A Case Report and Plan for Management. J. Vasc. Surg. 2009, 49, 1037–1040. [Google Scholar] [CrossRef][Green Version]
- Chanard, J.; Lavaud, S.; Maheut, H.; Kazes, I.; Vitry, F.; Rieu, P. The Clinical Evaluation of Low-Dose Heparin in Haemodialysis: A Prospective Study Using the Heparin-Coated AN69 ST Membrane. Nephrol. Dial. Transpl. 2008, 23, 2003–2009. [Google Scholar] [CrossRef] [PubMed]
- Brochure Bioline Coating.pdf. Available online: https://www.cardiomedic.com.ar/Brochure/Brochure%20BIOLINE%20COATING.PDF (accessed on 29 November 2025).
- Pappalardo, F.; Maj, G.; Scandroglio, A.; Sampietro, F.; Zangrillo, A.; Koster, A. Bioline Heparin-Coated ECMO with Bivalirudin Anticoagulation in a Patient with Acute Heparin-Induced Thrombocytopenia: The Immune Reaction Appeared to Continue Unabated. Perfusion 2009, 24, 135–137. [Google Scholar] [CrossRef]
- Ueyama, K.; Nishimura, K.; Nishina, T.; Nakamura, T.; Ikeda, T.; Komeda, M. PMEA Coating of Pump Circuit and Oxygenator May Attenuate the Early Systemic Inflammatory Response in Cardiopulmonary Bypass Surgery. ASAIO J. 2004, 50, 369–372. [Google Scholar] [CrossRef]
- W.L.Gore & Associates. Evaluation of Anti-Platelet Factor 4/Heparin Antibodies in Hemodialysis Patients Implanted with the GORE® Hybrid Vascular Graft Versus Non-Heparin Bonded Synthetic Vascular Grafts. 2018. Available online: https://clinicaltrials.gov/study/NCT02165761 (accessed on 29 November 2025).
- Karnes, J.H. Pharmacogenomics of Heparin-Induced Thrombocytopenia. 2024. Available online: https://clinicaltrials.gov/study/NCT02717039 (accessed on 29 November 2025).
- W.L.Gore & Associates. Associates Comparison of Primary Patency Between GORE-TEX PROPATEN Vascular Grafts and Thin Walled GORE-TEX Stretch Vascular Grafts. 2008. Available online: https://clinicaltrials.gov/study/NCT00205790 (accessed on 29 November 2025).
- PROPATEN®. Vascular Graft|Gore Medical EMEA. Available online: https://www.goremedical.com/en-emea/products/propaten (accessed on 26 November 2025).
- PROPATEN Heparin-Bonded Vascular Graft for Peripheral Arterial Disease. Available online: https://www.nice.org.uk/advice/mib42/resources/propaten-heparinbonded-vascular-graft-for-peripheral-arterial-disease-pdf-63499162702021 (accessed on 29 November 2025).
- Baba, T.; Ohki, T.; Maeda, K.; Ito, E.; Momose, M.; Chono, Y.; Omori, M.; Shukuzawa, K. Evaluation of Heparin-Bonded ePTFE Grafts for Forearm Loop Vascular Access: Comparison between Gore® PROPATEN Vascular Graft and ACUSEAL Vascular Graft. J. Vasc. Access 2022, 23, 430–435. [Google Scholar] [CrossRef] [PubMed]
- Flixene Vascular Graft. Available online: https://www.getinge.com/int/products/flixene-vascular-grafts/ (accessed on 26 November 2025).
- Shah, P.S.; Shah, N. Heparin-bonded Catheters for Prolonging the Patency of Central Venous Catheters in Children. Cochrane Database Syst. Rev. 2014, 2014, CD005983. [Google Scholar] [CrossRef] [PubMed]
- Wang, Y.; Wu, H.; Zhou, Z.; Maitz, M.F.; Liu, K.; Zhang, B.; Yang, L.; Luo, R.; Wang, Y. A Thrombin-Triggered Self-Regulating Anticoagulant Strategy Combined with Anti-Inflammatory Capacity for Blood-Contacting Implants. Sci. Adv. 2022, 8, eabm3378. [Google Scholar] [CrossRef]
- Zhang, S.; Zou, J.; Xiao, Y.; Qiu, X.; Shen, Y.; Zhao, Y.; Fan, T.; Zheng, M.; Huang, G.; Zeng, Q.; et al. Robust and Ultra-Stable Nanohesive-Based Solid-like Slippery Coating under Dynamic Blood Flow Environment for Durable Prevention of Thrombosis and Biofouling. Mater. Today Bio 2025, 35, 102449. [Google Scholar] [CrossRef] [PubMed]
- Blood Vessel-like Coating Could Make Medical Devices Safer for Patients. Available online: https://www.sciencedaily.com/releases/2024/11/241112123428.htm (accessed on 23 November 2025).
- Crago, M. Springer Nature Research Communities: Superhydrophilic Anti-Adhesive Surfaces That Resist Protein Adsorption and Blood Clotting. Available online: https://communities.springernature.com/posts/superhydrophilic-anti-adhesive-surfaces-that-resist-protein-adsorption-and-blood-clotting (accessed on 23 November 2025).
- Devine, R.; Goudie, M.J.; Singha, P.; Schmiedt, C.; Douglass, M.; Brisbois, E.J.; Handa, H. Mimicking the Endothelium: Dual Action Heparinized Nitric Oxide Releasing Surface. ACS Appl. Mater. Interfaces 2020, 12, 20158–20171. [Google Scholar] [CrossRef]
- Chen, H.; Xiang, Z.; Zhang, T.; Wang, H.; Li, X.; Chen, H.; Shi, Q. Heparinized Self-Healing Polymer Coating with Inflammation Modulation for Blood-Contacting Biomedical Devices. Acta Biomater. 2024, 186, 201–214. [Google Scholar] [CrossRef] [PubMed]
- Peng, X.; Qu, W.; Jia, Y.; Wang, Y.; Yu, B.; Tian, J. Bioresorbable Scaffolds: Contemporary Status and Future Directions. Front. Cardiovasc. Med. 2020, 7, 589571. [Google Scholar] [CrossRef] [PubMed]
- Grande Gutiérrez, N.; Shankar, K.N.; Sinno, T.; Diamond, S.L. Thrombosis and Hemodynamics: External and Intrathrombus Gradients. Curr. Opin. Biomed. Eng. 2021, 19, 100316. [Google Scholar] [CrossRef]
- Mahto, M.; Kumar, V.; Banerjee, A.; Kumar, S.; Kumar, A. Pre-Analytical Errors in Coagulation Testing: A Case Series. Diagnosis 2024, 11, 114–119. [Google Scholar] [CrossRef]
- Gosselin, R.C. Review of Coagulation Preanalytical Variables with Update on the Effect of Direct Oral Anticoagulants. Int. J. Lab. Hematol. 2021, 43, 109–116. [Google Scholar] [CrossRef]
- Nalezinková, M. In Vitro Hemocompatibility Testing of Medical Devices. Thromb. Res. 2020, 195, 146–150. [Google Scholar] [CrossRef]
- ISO 10993-1; Standard Revision: Changes and Impacts. ISO: Geneva, Switzerland, 2018. Available online: https://efor-group.com/en/iso-dis-10993-1-a-new-revision-underway-analysis-of-the-iso-10993-1-standard-revision-draft/ (accessed on 29 November 2025).
- Song, J. Advances in Laboratory Assessment of Thrombosis and Hemostasis. Blood Res. 2022, 57, 93–100. [Google Scholar] [CrossRef] [PubMed]
- Chen, Y.; Chen, Y.; Cao, W.; Wang, J.; Zhang, P.; Ji, J. Stability Study of Anticoagulant Hydrogel Coatings Toward Long-Term Cardiovascular Devices. Langmuir 2025, 41, 2591–2599. [Google Scholar] [CrossRef] [PubMed]






















| Action | Name of Drug | Target |
|---|---|---|
| antiplatelet | aspirin | COX-1 |
| clopidogrel | P2Y12 | |
| prasugrel | ||
| ticagrelor | ||
| cangrelor | ||
| cilostazol | PDE | |
| dipyridamole | ||
| vorapaxar | PAR1 | |
| baciximab | αIIbβ3 | |
| eptifibatide | ||
| tirofiban | ||
| anticoagulation | warfarin | Vitamin K Cycle |
| heparins | Factor Xa, Thrombin (through binding antithrombin) | |
| danaparoid | ||
| fondaparinux | Factor Xa | |
| rivaroxaban | ||
| apixaban | ||
| edoxaban | ||
| betrixaban | ||
| hirudins | Thrombin | |
| argatroban | ||
| dabigatran | ||
| thrombolytic (fibrinolytic) | streptokinase | Non-fibrin-specific |
| urokinase | ||
| anistreplase (APSAC) | ||
| alteplase | Fibrin-specific | |
| reteplase | ||
| tenecteplase | ||
| prourokinase |
| Refs. | Polymer | Antithrombotic Activity | Coagulation Mechanism |
|---|---|---|---|
| [80] | Chemoenzymatic heparin analogue “Super 12-mer.” | Anti-FXa IC50 ≈ 100 nM; prolonged thrombin lag time; Enoxaparin-like thrombin generation profile; dose-dependent prolongation of clotting parameters (R, α-angle, MA) | FXa inhibition via ATIII; reversible with protamine |
| [81] | Heparin-mimetic sodium alginate (HepLBm) | In vivo: non-coagulable aPTT > 5 μg/100 μL (>600 s), TT > 2.5 μg/100 μL: (>240 s); PT comparable to heparin; reduced PF4 and TAT better than heparin; In vitro: aPTT, TT, PT close or similar to heparin | ATIII-mediated thrombin inhibition |
| [82] | Photoswitchable arylazopyrazole-modified heparins | In vitro: In vitro, aPTT significantly reduced the effect of modified UFH, whereas modified enoxaparin showed only a slight difference from the control. | ATIII-dependent, conformation-controlled inhibition |
| [83] | 2-O, 3-O desulfated heparin (ODSH) | Minimal anti-Xa and aPTT effects at low doses; weak anticoagulation at >16 µg/mL | Inhibition of PF4–platelet and PF4–heparin complex formation |
| [84] | LMWH–octadecylamine conjugate (LMHO) | Prolonged in vivo clotting time vs. LMWH; ~97% retained anti-Xa activity; strong albumin binding. | Extended circulation time via albumin binding |
| [81] | Heparin-mimicking polyurethane | aPTT and TT up to 3× longer vs. PES membranes; dose-dependent surface anticoagulation | Heparin-mimetic surface effects; reduced protein adsorption |
| [85] | Sulfated chiro-inositol (SCI) | FXa IC50 ≈ 0.28 μmol/L with an efficacy of 100% aPTT 32.2 μmol/L, PT 150 μmol/L. selective aPTT prolongation | Allosteric inhibition of FXIa |
| [86] | Chemoenzymatic heparin oligosaccharides | In vitro anti-Xa IC50 2.8–3.6 nM (comparable to Fondaparinux) | ATIII-mediated FXa inhibition |
| [87,88,89,90] | Sulfated chitosan (various marine sources) | Prolonged aPTT and PT; anticoagulant potency lower than heparin | ATIII-mediated FXa inhibition and direct thrombin inhibition |
| [90] | Sulfoethyl chitosan–Ag nanoparticles | Blood plasm +25 μL SECS@Ag–aPTT 62.5 s, PT 12.67 s; Blood plasm +50 μL SECS@Ag–aPTT 132.6 s, PT 12.78 s | Interference with FXa activity |
| [69,91,92] | Aryl-sulfonated chitosan derivatives | At different material concentrations, the aPTT increases from the control value (~33 s) to >250 s, PT increases from approximately 11–12 s (control) to about 17–26 s, and Anti-Xa activity is observed at around 0.09 UI/mL. | Activity on the extrinsic pathway was very low, and the factor Xa was completely inhibited. |
| [93,94,95] | Sulfated chitosan derivatives (various) | Moderate aPTT and TT prolongation; weaker than heparin | Heparin-like, ATIII-mediated thrombin inhibition |
| [73] | Low Molecular Weight Fucoidan (LMF) | Mild PT prolongation; moderate TT prolongation | FXII inhibition (intrinsic pathway) |
| [71] | Highly sulfated fucoidan derivatives | aPTT prolongation comparable to enoxaparin; no PT/TT effect | ATIII-independent inhibition of the intrinsic FXase complex |
| [94] | Fucoidan (Holothuria polii) | Lower aPTT/TT activity than heparin; IC50 ≈ 0.36 nM | HCII-mediated FIIa inhibition |
| [95] | Photodegraded fucoidan fractions (Dfuc1, Dfuc2) | In vitro: aPTT/TT prolongation; In vivo: prolongation of aPTT from 23.7 s (control) to Dfuc1 25.1 s, Dfuc2 29.4 s. | Molecular weight-dependent intrinsic pathway inhibition |
| [96] | Fucoidan (Cystoseira myrica) | aPTT prolonged at low doses; PT affected only at high concentrations | Predominantly intrinsic pathway modulation |
| [97] | Carboxymethyl κ-carrageenan multilayers | In vitro coagulation at a level similar to heparin systems | Surface-mediated anticoagulation |
| [98] | λ- and θ-carrageenan degraded by autohydrolysis | λ-carrageenan is more active than θ; both are weaker than heparin | ATIII-independent, surface-driven effects, molecular weight, and sulfation depend on |
| [99] | Chitosan–κ-carrageenan hydrogels | Strong aPTT and TT prolongation | Inhibition of intrinsic coagulation factors (FVIII, FIX, FXI, FXII) |
| [100] | Sulphated dextran, magnetic dextran sulphate | In vitro: aPTT > 250–300 s | Inhibition at the thrombin formation stage; reduced fibrin adsorption |
| [101,102] | Dextran sulfate derivatives | Prolonged PTT, TT, and PT in vitro and in vivo | Thrombin inhibition via HCII; modulation of the extrinsic pathway |
| Refs. | Polymer | Synthesis/Coating Method | Antithrombotic Activity | Advantages/Disadvantages |
|---|---|---|---|---|
| [105,106,107] | Polyethylene glycol (PEG) | Surface PEGylation, crosslinked PEG hydrogels, and radical polymerization | In vitro: 80–95% reduction in fibrinogen adsorption; significant decrease in platelet activation; In vivo: prolonged bleeding time, reduced thrombogenicity of stents in animal models | Biocompatibility, hydrophilicity, strong antifouling effect/possible allergic reactions; |
| [121,122] | Poly(ethylene oxide) (PEO) | Block copolymerization, surface coatings | In vitro: low protein adsorption, high resistance to biofouling. In vivo: Improved patency of catheters; reduced thrombosis in animal models. | Nontoxicity, rapid clearance from the body, highly hydrophilic/high cost of functional derivatives |
| [108,123,124,125] | Poly(phosphorylcholine) (PMPC) | ATRP or RAFT polymerization, PMPC-based coatings | In vitro: near-complete suppression of fibrinogen adsorption; minimal platelet activation; In vivo: excellent hemocompatibility of vascular grafts; no thrombus formation in short-term studies | Biomimetic (cell membrane–like) behavior, excellent blood compatibility/complex synthesis, higher production cost |
| [113,126,127,128] | Fluoropolymers | Emulsion polymerization, fluoropolymer coatings | In vitro: reduced platelet adhesion and thrombin activation; In vivo: reduces thrombosis on occlusive implants | Strong antithrombotic properties/potential cytotoxicity of degradation fragments |
| [119,120] | Polyurethanes (PU) and their modifications | Incorporation of functional segments, solution casting | In vitro: inhibition of platelet activation and adhesion; In vivo: reduced early thrombosis in vascular prostheses | Good mechanical properties, good stability/risk of inflammatory response |
| [111] | Sulfonated block copolymers containing PEG segments | Radical or ionic polymerization | In vitro and in vivo: anticoagulant activity comparable to reference materials | Potentially safe therapeutic alternative for managing bleeding complications/limited clinical validation |
| Carrier/Material | Drug/Agent | Release Mechanism/Profile | Effects/Applications | Advantages/Limitations | Refs. |
|---|---|---|---|---|---|
| PLGA/PLA microspheres | Low Molecular Weight Heparin LMWH | Biphasic (burst + sustained phase); ester bond hydrolysis + polymer matrix degradation; PEG-assisted diffusion | Long-term release (14 days), anti-Xa activity maintained for ~6 days; In vitro studies using rabbit models. A promising direction for subcutaneous or intravascular antithrombotic drug delivery | Stable, scalable; burst release requires control. | [137] |
| PCL/PLGA /Eudragit nanoparticles | Heparin | Diffusion; stability in the GIT (digestive tract) | Prolonged anti-Xa activity; oral delivery (rabbit models) | Good pharmacokinetic; variable oral bioavailability | [146] |
| PLGA/PEG microspheres /nanoparticles | Apixaban/Rivaroxaban (inhibitory Xa) | Biphasic; PLGA hydrolysis + diffusion (PEG modifies kinetics) by 10–20 days | Synergy with heparin; improved bioavailability; in vivo rat/rabbit models; potential for therapy: AF-related stroke, prevention of venous thrombosis, long-term treatment, and local control of coagulation | Controlled release; stability | [147,151,153] |
| PLGA-SA; PS/hpGHA nanoparticles | Heparin (antyzakrzepowy)/glutathione (antyoksydant) | Biphasic; similar to PLGA-based systems | In vitro studies; ↑ APTT; reduced platelet activation; strong antioxidant effect; potential use in the treatment of vascular diseases | Multifunctional nanosystems; no in vivo data; risk of initial burst | [152] |
| Chitosan/TMC nanoparticles | Low Molecular Weight Heparin LMWH | Mucoadhesion + opening of tight junctions; pH stability | Increased oral LMWH bioavailability; ↑ APTT; in vivo rabbit model | Strong mucoadhesion; oral delivery; lack of long-term safety data | [154] |
| Self-assembled LMWH–octadecylamine nanoparticles | Low Molecular Weight Heparin LMWH heparina | Autocoagulation + diffusion from hydrated matrix | Activity duration 4–5 days; high anti-Xa activity, improving pharmacokinetics; in vivo rabbit models, a system mainly designed for systemic ogólnoustrojow | Good biocompatibility; effect still too short for implants; requires further research | [84] |
| Electrospun PCL fibers | Hepirain | Diffusion: very slow release | Inhibition of VSMC proliferation: potential for stent coatings | Slow degradation; no in vivo data | [155] |
| Responsive star-PEG–heparin hydrogel | Hepirain | Thrombin-cleavable linker → immediate release | APTT/TEG tests; reduced platelet adhesion; ex vivo circulation model, animal models (implanted coatings), reduction in surface clots | Smart system; complex synthesis; no clinical data | [140] |
| Pluronic F127 Triblock polymer (PEO-PPO-PEO) thermo-sensitive hydrogel | r-Hirudin (rHV2) | Dissolution-controlled; diffusion through gel | Depot effect; prolonged local activity (e.g., eye, subcutaneous); animal rabbit models | Biocompatible; suitable for local delivery; no responsiveness | [156] |
| Chitosan hydrogel | Unfractionated Heparin UFH/LMWH | (+NH3 ↔ –SO3−) + Ionic interactions + swelling | ↑ APTT; ↑ anti-Xa; reduced platelet adhesion; future use as a compress | Simple preparation; biodegradable; limited mechanical stability | [139] |
| Layer-by-layer (LbL) coating | Heparin/antithrombin peptide | Ionic/pH-triggered desorption; multilayer breakdown; thickness-controlled kinetics | Prolonged clotting time; reduced platelet adhesion; tunable activity | Precise dosing; environmental sensitivity | [157,158] |
| Polyacrylamide nano-gels | r-Hirudin | Thrombin-accelerated release; protection from proteolysis | Local thrombin inhibition; reduced clot burden; mouse lung/artery models | Smart delivery; no long-term toxicity data | [159] |
| Microneedle patch— thrombin-responsive | Heparin—HA conjugate | Thrombin cleaves linker → instant “burst-on-demand” release | Autoregulated anticoagulation; non-invasive; in vivo studies: effective in mouse thrombosis models | Easy patient use; scaling challenges | [160] |
| PVP microneedle patch | r-Hiuridin | Diffusion + MN delivery | Prolonged inhibitor activity, decreased platelet activity 24 h release; 48 h biological effect; rat/porcine ear models; effectively alleviates the formation of congestion in vivo; application, long-term treatment of thrombotic diseases. | Minimally invasive; prolonged effect; limited mechanical strength | [161] |
| pH responsive/mucoadhesive thiolated chitosan(TCS) + (HPMCP) nanoparticle | Low Molecular Weight Heparin LMWH | pH-triggered release, mucoadhesion; disulfide bonding with mucin; transient TJ loosening | Strong epithelial penetration; gastric protection; oral delivery platform | High stability; no clinical data; risk of excessive permeation | [162] |
| PEG hydrogel + SNAP (NO + heparin) | Heparin + NO-donor | Diffusion + ROS-mediated NO generation | Anti-Xa + anti-biofilm; subcutaneous implants | Dual-function (NO + anticoagulant); NO instability | [163,164] |
| PC (Tyrocore III gen.) | Sirolimus | Degradation + diffusion | Improved endothelialization; no thrombosis; BRS in ST-segment elevation myocardial infarction (STEMI) | Proven clinical efficacy; limited industrial access | [138] |
| Polymer/Modification | Mechanism of Action | Effects/Applications | Refs. |
|---|---|---|---|
| Heparin–poly(ε-caprolactone) (PCL) conjugate | Heparin conjugation using EDC/NHS chemistry; The PCL–heparin conjugate is processed into nonwoven tubular scaffolds by electrospinning | In vivo studies in canine femoral artery grafts demonstrated good biocompatibility and patency of the implanted scaffolds compared with non-heparinized controls. | [172,173,174] |
| ATIII–heparin–PEG complex (catheter coating) | Complex of antithrombin III (ATIII), heparin, and PEG covalently bound to the catheter surface. | In vivo, ATH-coated catheters showed better patency than uncoated commercial catheters and those only heparin-coated | [175] |
| Polypropylene (PP) + heparin | PP surface activated by oxygen plasma etching, then functionalized with amine-rich plasma and finally covalently immobilized with heparin via EDC/NHS coupling. | In vitro: reduced hemolysis index and protein adsorption, decreased platelet adhesion, and strong reduction in bacterial adhesion (Gram-negative and Gram-positive strains). Dual antithrombotic and antibacterial functionality | [176] |
| Poly(tetrafluoro ethylene)(PTFE)+ PDA/PEI + heparin (ECM-like coating) | PTFE surface modified with a bioinspired coating based on polydopamine (PDA) and polyethyleneimine (PEI), followed by immobilization of heparin on the ECM-mimicking layer | Inhibits thrombus formation, prevents intimal hyperplasia, and promotes endothelialization on PTFE vascular grafts and related blood-contacting devices | [113] |
| Heparinized PLLA copolymer with controlled As2O3 release | Heparin covalently immobilized on the surface of a PLLA copolymer stent coating. As2O3 (arsenic trioxide) is incorporated as an antiproliferative drug; variant LA: MBC = 90:10 provides the slowest degradation | Temporal synergy: heparin protects against early thrombosis, As2O3 suppresses intermediate/late vascular smooth muscle cell proliferation and inflammation, while the degradable PLLA matrix enables controlled local dosing and reduces late hypersensitivity typical of durable polymers | [177,178] |
| Heparinized PLLA/PLCL tubular scaffolds | Heparin covalently coupled to PLLA/PLCL tubular scaffolds using EDC/NHS chemistry. | Heparinized scaffolds display increased surface hydrophilicity, reduced non-specific protein adsorption, and improved hemocompatibility; in vivo rabbit studies showed neovascularization within the scaffolds. | [170,179] |
| Bilayer grafts: outer PCL nanofibers, inner PLCL (50:50) sponge + heparin. | Bilayer design: outer layer of electrospun PCL nanofibers, inner sponge of PLCL (50:50) loaded with heparin; heparin conjugated via gas plasma treatment | In vivo adult sheep bilateral carotid interposition graft model: fast initial heparin release within 24 h followed by sustained low-level release over 14 days; strong inhibition of platelet adsorption and prevention of acute graft thrombosis | [171] |
| Catechol (CA)/polyethyleneimine (PEI) copolymer coatings + heparin | Coatings based on copolymerization of catechol (CA) and PEI on polymer substrates, followed by EDC-induced crosslinking to immobilize heparin onto the CA/PEI layer | Biomimetic, mussel-inspired coating; CA/PEI and CA/PEI–heparin coatings modulate endothelial cell behavior and provide antithrombotic surfaces for vascular grafts and stents | [180] |
| 3D-printed PLA stent + PDA/PEI + heparin | 3D-printed PLA stent first coated with PDA and PEI, creating a highly amine-rich surface; heparin is then immobilized via reaction of its carboxyl groups with surface amines (e.g., EDC/NHS) | Heparinized PLA stents fabricated under mild, aqueous, solvent-free conditions show markedly improved blood compatibility and antithrombotic activity in vitro and in vivo, with reduced neointimal hyperplasia. | [181] |
| PCL nanofibers + PDA + recombinant hirudin (rH) | Electrospun PCL nanofibers are functionalized by spontaneous oxidative polymerization of dopamine, forming a PDA layer; recombinant hirudin is then immobilized on PDA. | Strong thrombin inhibition with markedly prolonged clotting times; increased adhesion and proliferation of endothelial cells and decreased platelet adhesion; proposed for vascular tissue engineering (in vitro data). | [182] |
| PET (Dacron) + hirudin | PET vascular grafts modified by immobilizing hirudin on the surface using glutaraldehyde (GA) as a coupling reagent. | Compared with untreated PET, hirudin-modified PET showed reduced platelet and fibrinogen adhesion, improved antithrombotic properties, and inhibition of thrombin-induced vascular smooth muscle cell proliferation; in vivo canine implants confirmed improved graft performance. | [183,184] |
| PTFE with plasma activation + immobilized biomolecules | PTFE surface activated by plasma treatment, followed by chemical immobilization of bioactive molecules (e.g., heparin or direct thrombin inhibitors). | In vitro: improved hemocompatibility with reduced protein adsorption and platelet activation; potential for vascular grafts, catheters, stents, and other blood-contacting implants. | [185] |
| Silk fibroin (SF) films modified with hirudin | Silk fibroin films chemically modified by immobilization of hirudin on the SF backbone/surface. | Markedly improved antithrombotic properties of SF films; hirudin-modified SF supported adhesion and proliferation of endothelial and smooth muscle cells, with selective inhibition of smooth muscle cell proliferation at higher hirudin loadings. | [186] |
| 316L stainless steel (SS) + PPAAm + bivalirudin (DTI) | 316L SS surface coated with a thin PPAAm film rich in reactive amine groups; bivalirudin (direct thrombin inhibitor derived from hirudin) is covalently coupled to PPAAm | Significant prolongation of coagulation times and reduced platelet and fibrinogen adhesion/activation; in vivo canine models showed reduced thrombus formation due to rapid re-endothelialization. | [187] |
| PLA/PVP membrane with non-covalently bound natural hirudin | PLA membrane blended or coated with polyvinylpyrrolidone (PVP); natural hirudin is physically adsorbed and retained mainly through hydrogen bonding interactions (no covalent link). | In vitro, hirudin-containing PLA/PVP membranes significantly increased coagulation times vs. control, demonstrating improved hemocompatibility while avoiding chemical modification of the peptide. | [188] |
| PLA/PCL–gelatin vascular grafts with ACH11 and CAG peptides | Electrospun PLA/PCL/gelatin vascular grafts with co-immobilization of ACH11 antithrombotic peptide and CAG cell-adhesive peptide (covalent coupling onto the scaffold surface). | ACH11 inhibits the denaturation of adsorbed fibrinogen, suppresses FXa activation and platelet adhesion/aggregation; CAG selectively enhances endothelial cell adhesion, proliferation, and NO release. In vivo, ACH11/CAG-modified membranes showed improved patency and endothelialization. | [189] |
| PCU (polycarbonate urethane) with disulfide bridges—NO-releasing system | PCU modified with disulfide-containing segments that catalyze nitric oxide (NO) release from endogenous donors at the blood–material interface. | Decreased platelet adhesion, good compatibility with endothelial cells, inhibition of smooth muscle cell and macrophage proliferation, and significant antithrombotic effects in vivo (self-renewing, endothelium-mimicking NO-releasing surface). | [190] |
| Coating Type | Mechanism | Main Hemocompatibility Effect | Refs. |
|---|---|---|---|
| Zwitterionic polymer coatings | Surface-grafted or bulk-modified poly(zwitterions) (e.g., sulfobetaine, carboxybetaine, phosphorylcholine) form a strongly hydrated, charge-neutral layer that sterically and electrostatically repels plasma proteins and cells. | Very low adsorption of fibrinogen and other plasma proteins, strong reduction in platelet adhesion/activation, and complement activation; improved hemocompatibility under whole blood and plasma flow. | [199,208,209,210,211] |
| Superhydrophobic/superhemophobic coatings (SHP) | Micro/nanostructured roughness combined with low-surface-energy chemistry (e.g., fluorinated silanes on titania nanotube arrays) creates a Cassie–Baxter state with trapped air, so blood contacts only a tiny fraction of the solid. | Markedly reduced protein (incl. fibrinogen) adsorption and platelet adhesion, decreased Factor XII activation, and delayed whole-blood clotting; surfaces behave as “blood-repellent.” | [206,212,213] |
| Phosphorylcholine (PC)-based coatings | Biomimetic MPC-containing copolymers tethered to device surfaces or bulk-functionalized poly(ester urethane) ureas; PC headgroups mimic phosphatidylcholine in cell membranes and maintain a tightly bound hydration shell that suppresses protein and cell binding. | Reduced thrombin generation, platelet and leukocyte activation, and complement activation during extracorporeal circulation; improved hemocompatibility of oxygenators, ECMO circuits, and degradable vascular scaffolds. | [197,201,202,207,214] |
| Self-cleaning/anti-fouling zwitterionic hydrogels | Strong suppression of fibrous capsule formation and chronic inflammation in vivo, low macrophage/giant-cell recruitment, reduced protein adsorption; improved long-term function of implanted gels and encapsulated cells (“stealth”, immune-evasive behavior). | [211,215,216] |
| Adsorption (LbL) | Covalent Immobilization | Grafting To | Grafting From | |
|---|---|---|---|---|
| Mechanism | Physical interactions: electrostatic, hydrophobic, protein-mediated complexes | Formation of chemical bonds (EDC/NHS, Schiff base, epoxy coupling) | Attachment of pre-activated heparin molecules to reactive surface groups | Polymerization initiated directly from heparin (SI-ATRP, RAFT) |
| Preservation of the heparin conformation | Very good | Good–moderate (dependent on crosslink density) | Very good (minimal modification of the native structure) | Very good |
| Stability under flow conditions | Low–moderate | High | High | Very high |
| Packing density of the surface layer | Limited; governed by physical interactions | Moderate–high | Moderate (limited by macromolecule diffusion) | Very high (“polymer brush”) |
| Architectural precision of the surface | Moderate | Moderate | High | Very high |
| Heparin bioactivity | Highest (no structural modification) | Method-dependent (EPA > MPA) | Very high | Very high |
| Synthetic difficulty | Low | Moderate | Moderate | High |
| Cost | Lowest | Moderate | Moderate | High |
| Optimal applications | Low-cost coatings, wound dressings, growth-factor release systems | Vascular grafts, implants, and long-term stable coatings | Bioactive coatings requiring preserved heparin activity | Advanced brush-type coatings, responsive interfaces, and intelligent biomaterials |
| Main limitations | Leaching, protein interference | Risk of the chain rigidification | Limited surface density | High cost, greater chemical complexity |
| System | Type of Functionalization | Application | Ref. |
|---|---|---|---|
| Electrospun tubular scaffolds made of PEUU | Covalent grafting of PEG and heparin | Development of vascular grafts with high conformability and rapid endothelialization | [243] |
| Pegylated heparin-based nanopolymers: HP-Ppa-mPEG and redox-responsive HP-Ppa-SS-mPEG | Chemical pegylation of heparin (stable vs. GSH-responsive linkers) | Smart nanocarriers for photodynamic therapy (PDT) | [244] |
| PEGDA/PEGMA hydrogels with incorporated heparin; coatings on PMP membranes (ECMO) | Heparin is physically incorporated into the PEG-based hydrogel matrix | Antithrombotic coatings for ECMO membranes | [234] |
| Star-shaped PEG hydrogels with maleimide-functionalized heparin | Heparin is integrated into a hydrogel network | Long-term ex vivo model for human breast tissue culture | [245] |
| 6-arm PEG–heparin copolymer immobilized on chitosan-modified magnesium alloy | Electrostatic/adsorptive immobilization of PEG-Hep | Surface modification of biodegradable Mg stents to enhance corrosion resistance and hemocompatibility | [235] |
| StarPEG–heparin hydrogel used as a biosensing matrix | Heparin embedded in star-shaped PEG hydrogel | Biosensors for IgG detection | [246] |
| Heparin-b-PEG conjugate (oxime ligation) | Covalent pegylation of heparin (end-on) | Modifying heparin to prolong half-life and reduce side effects | [238] |
| Mechanism of Action (How It Mimics Heparin) | Advantages | Disadvantages | Typical Applications | Refs. | |
|---|---|---|---|---|---|
| Synthetic sulfonated polymers (PSSS, PSPMA) | Anionic –SO3− groups imitate the “charge cloud” of heparin; stabilization of BMP, FGF, VEGF | High stability, easy control of MW, and architecture, excellent reproducibility | Lack of natural sequence-specific recognition motifs (no HS fine structure) | Tissue engineering, growth factor stabilization, vascular biomaterials | [239,249] |
| RAFT-synthesized heparin-mimetic block copolymers | Precise positioning of sulfonate groups; strong stabilization of FGF-2 | Structural uniformity, excellent control over block length | Complex synthesis requires CTA and optimization. polymerization conditions | Pro-angiogenic systems, advanced scaffolds | [250] |
| Zwitterionic sulfonated polymers (SBMA, PSBMA) | Synergy of zwitterionic and anionic behavior; selective binding of FGF-2 | Outstanding anti-fouling properties + strong retention of growth factors | More difficult surface conjugation; possible hydrogel stiffening | Skin regeneration, angiogenesis, pro-regenerative hydrogels | [252,253] |
| Synthetic glycopolymers (HS-mimicking) | Precise positioning of sulfate motifs; specific GAG–protein interactions | Highest structural control; ability to reproduce HS binding sequences | Highly complex synthesis; high cost | Heparanase inhibitors, antiviral materials, biosensors, and ECM regulation | [254,255] |
| Sulfonated natural polysaccharides (S-HA, S-chitosan) | Sulfonation generates a charge density. similar to heparin | Biodegradable, biocompatible, easy to functionalize | Lower structural specificity compared to native heparin | TGF-β stabilization, chondrogenesis, and anti-metastatic systems, wound dressings | [247,256,262] |
| Synthetic sulfonated polypeptides/polyesters | Controlled placement of –SO3− groups on a rigid or soft polymer chain | Very high predictability, no animal-derived antigens | Emerging technology—limited clinical data | Coagulation regulation, ROS-responsive materials, and antibacterial materials | [259,260] |
| Sulfonated polyglycerols and dendritic networks | Multi-arm architecture increases local charge density | Very high protein retention, excellent solubility, strong stability | Possible difficulty in controlling arm sulfonation | Nanodrug carriers, hydrogels, bioactive coatings | [261] |
| Type of Test | Purpose/Scope | Method/Parameters | Typical Indicators | Standards/Ref. |
|---|---|---|---|---|
| Clotting time | Assessment of the activation of the coagulation cascade by the material | PT (Prothrombin Time)—Extrinsic + common coagulation pathways, aPTT (Activated Partial Thromboplastin Time)—Intrinsic + common pathways (factors XII, XI, IX, VIII, X, II, I), TT (Thrombin Time)—fibrin formation | Change in clotting time compared to control | ISO 10993-4:2017 [265] |
| Fibrinogen/Fibrin determination | Evaluation of fibrin formation after blood contact with the material | Measurement of fibrinogen concentration in plasma, and microscopic observation of clot formation | Fibrinogen depletion, presence of fibrin fibers | ISO 10993-4:2017 [265] |
| Platelet activation | Investigation of material influence on platelet activation and adhesion | Optical or impedance aggregometry, flow cytometry (CD62P, CD63), SEM imaging | % of activated platelets, number of adhered platelets, expression of activation markers | ISO 10993-4:2017 [265], ASTM F2888-13 [88] |
| Hemolysis test | Evaluation of red blood cell damage upon contact with the material | Incubation of the sample with blood, measurement of free hemoglobin (e.g., spectrophotometrically) | % hemolysis (0–2%: non-hemolytic, 2–5%: slightly hemolytic, >5%: hemolytic) | ASTM F756-17 [266], ISO 10993-4:2017 [265] |
| Complement activation | Assessment of the immunological reactivity of the material surface | Measurement of C3a, C5a, SC5b-9 by ELISA | Increased concentration of complement activation proteins | ISO 10993-4:2017 [265] |
| Protein adsorption | Determination of the quantity and type of plasma proteins adsorbed on the surface | Spectroscopic analysis (FTIR, CD), SDS-PAGE, and immunochemical assays | Amount of adsorbed fibrinogen, albumin, etc. | ISO 10993-4:2017 [265] |
| Dynamic flow tests | Simulation of blood flow conditions in vascular systems | Closed-loop flow system, measurement of cell morphology, aggregation, and clot formation | Cell morphology, clot mass, and number of activated platelets | ASTM F2888-13 [268], ASTM F2150-19 [267] |
| Surface morphology after blood contact | Visualization of surface changes after exposure to blood | SEM, optical, or confocal microscopy | Presence of platelets, fibrin, erythrocytes | ISO 10993-4:2017 [265] |
| Model Type | In Vivo Thrombogenicity Model | Animal Model | Typical Application | Advantages | Key Assessment Methods | Refs. |
|---|---|---|---|---|---|---|
| Short-term | Arteriovenous (AV) Shunt | Rabbit, Rat, Pig, Dog | Dynamic evaluation of blood-material interaction under flow | Physiologically relevant flow, sensitive to platelet/fibrin deposition | Platelet/fibrin quantification, SEM, blood coagulation markers | [257,279] |
| Extracorporeal Circulation (ECC)/Loop | Pig, Dog, Hamster, Sheep | Testing catheters, tubing, and vascular grafts | Clinically relevant flow, suitable for larger devices | Thrombus weight, platelet adhesion, coagulation markers, and imaging | [81,267,280] | |
| Usually short-term, rarely long-term | Catheter Implantation | Rabbit, Rat | Assessment of intravascular devices | A simple surgical procedure allows repeated sampling | Occlusion time, platelet counts, histopathological analysis, SEM, and thrombus scoring | [128,281] |
| Long-term | Vascular Graft Implantation | Sheep, Pig, Rat, Rabbit | Evaluation of polymeric grafts | Physiologically relevant vessel size, long-term endothelialization study | Histological evaluation, endothelialization assessment, thrombus quantification, angiography, SEM | [282,283,284] |
| Stent Implantation | Pig, Rabbit | Thrombogenicity and endothelialization of stents | High translational relevance | Angiography, SEM, histopathological analysis, platelet/fibrin deposition | [285,286,287] | |
| Small Vessel Implantation (e.g., discs, femoral artery/vein) | Rat, Rabbit | Screening of polymer coatings or small devices | Low cost, short experimental duration | Histology, platelet adhesion assays, fibrin deposition, SEM | [81,283,288] |
| Device Category | Example Product/Technology | Type of Coating/Surface Treatment | Clinical/Translational Application & Status | Refs. |
|---|---|---|---|---|
| Peripheral vascular grafts | GORE® PROPATEN® Vascular Graft (ePTFE) (GORE, Phoenix, AZ, USA) | CBAS® covalently bound heparin layer on luminal ePTFE surface | Routine clinical use for lower-extremity bypass and AV access; improved patency and reduced early thrombosis vs. standard ePTFE grafts | [338,339,340] |
| AV access grafts for hemodialysis. | Flixene® Vascular Graft (Getinge, Göteborg, Sweden) | Modified ePTFE with tailored porosity and surface for “early access.” | Clinical use as early-access AV graft; can be cannulated within 24–72 h (up to 7 days), reducing the need for temporary central venous catheters. | [325,341] |
| Coronary stents | COBRA PzF™ NanoCoated Coronary Stent (Symplr, Houston, TX, USA) | Ultrathin CoCr stent with ≤50 nm Polyzene-F® fluoropolymer nanocoating | PCI, especially in high-bleeding-risk patients, with high thromboresistance and rapid endothelial coverage, enabling studies of very short DAPT regimens | [303] |
| Neurovascular flow diverters | FRED X Flow Diverter with “X Technology” (Terumo Neuro, Tokyo, Japan) | Antithrombotic polymer surface (PMEA-based “X Technology”) on nitinol flow diverter | Clinical treatment of intracranial aneurysms; multicentre data show low thromboembolic complication rates and high effective occlusion rates | [326] |
| Central venous catheters | Heparin-bonded CVCs (e.g., ICU multi-lumen catheters) (ICU Medical, Inc. San Clemente, CA, USA) | Heparin is covalently or ionically bound to the polyurethane catheter surface. | Routine clinical use in adults and children; RCTs and meta-analyses show reduced catheter-related thrombosis and improved patency vs. uncoated CVCs | [342] |
| Central venous/IV catheters—next-generation | Heparin-network-mediated long-lasting coating (experimental) | Cross-linked heparin network on the catheter surface, designed for a very durable antithrombotic effect | Preclinical/early translational stage; prolonged resistance to thrombosis and biofouling in animal models; intended for long-term CVC use (oncology, cardiology) | [304] |
| Hemodialysis blood lines & dialyzers | Heparin-coated hemodialysis circuits(heparin-coated membranes (np. AN69ST)) | Heparin-bonded inner surfaces of tubing and dialyzer housing | Clinical use in selected centres to reduce clot formation in the extracorporeal circuit and allow lower systemic heparin doses in high-bleeding-risk patients. | [331] |
| ECMO circuits & centrifugal blood pumps | Heparin-coated ECMO circuits (e.g., Bioline®-type coatings) (MAQUET Cardiopulmonary AG Hirrlingen, Germany) | Systemic heparin bonding on oxygenator, tubing, and pump surfaces | Widely used for ECMO; reduces activation of coagulation and complement, lowers in-circuit thrombosis, and may permit less aggressive systemic anticoagulation. | [332,333] |
| Cardiopulmonary bypass (CPB) systems | PMEA-coated oxygenators and CPB circuits | Poly(2-methoxyethyl acrylate) (PMEA) hydrophilic polymer on blood-contacting surfaces | Routine use in modern CPB systems decreases platelet and complement activation; a model for similar antithrombotic/antifouling strategies in other devices. | [334] |
Disclaimer/Publisher’s Note: The statements, opinions and data contained in all publications are solely those of the individual author(s) and contributor(s) and not of MDPI and/or the editor(s). MDPI and/or the editor(s) disclaim responsibility for any injury to people or property resulting from any ideas, methods, instructions or products referred to in the content. |
© 2026 by the authors. Licensee MDPI, Basel, Switzerland. This article is an open access article distributed under the terms and conditions of the Creative Commons Attribution (CC BY) license.
Share and Cite
Smola-Dmochowska, A.; Śmigiel-Gac, N.; Jelonek, K.; Lewicka-Brzoza, K.; Bojdol, J.; Dobrzyński, P. Antithrombotic Polymers: A Narrative Review on Current and Future Strategies for Their Design, Synthesis, and Application. Int. J. Mol. Sci. 2026, 27, 1026. https://doi.org/10.3390/ijms27021026
Smola-Dmochowska A, Śmigiel-Gac N, Jelonek K, Lewicka-Brzoza K, Bojdol J, Dobrzyński P. Antithrombotic Polymers: A Narrative Review on Current and Future Strategies for Their Design, Synthesis, and Application. International Journal of Molecular Sciences. 2026; 27(2):1026. https://doi.org/10.3390/ijms27021026
Chicago/Turabian StyleSmola-Dmochowska, Anna, Natalia Śmigiel-Gac, Katarzyna Jelonek, Kamila Lewicka-Brzoza, Jakub Bojdol, and Piotr Dobrzyński. 2026. "Antithrombotic Polymers: A Narrative Review on Current and Future Strategies for Their Design, Synthesis, and Application" International Journal of Molecular Sciences 27, no. 2: 1026. https://doi.org/10.3390/ijms27021026
APA StyleSmola-Dmochowska, A., Śmigiel-Gac, N., Jelonek, K., Lewicka-Brzoza, K., Bojdol, J., & Dobrzyński, P. (2026). Antithrombotic Polymers: A Narrative Review on Current and Future Strategies for Their Design, Synthesis, and Application. International Journal of Molecular Sciences, 27(2), 1026. https://doi.org/10.3390/ijms27021026

