Cyclic Olefin Copolymer with a Noble Metal Nanostructures as an Antibacterial Material
Abstract
1. Introduction
2. Results and Discussion
2.1. Thickness and Homogeneity of COC Films
2.2. Thickness of Deposited Layers
2.3. Wettability
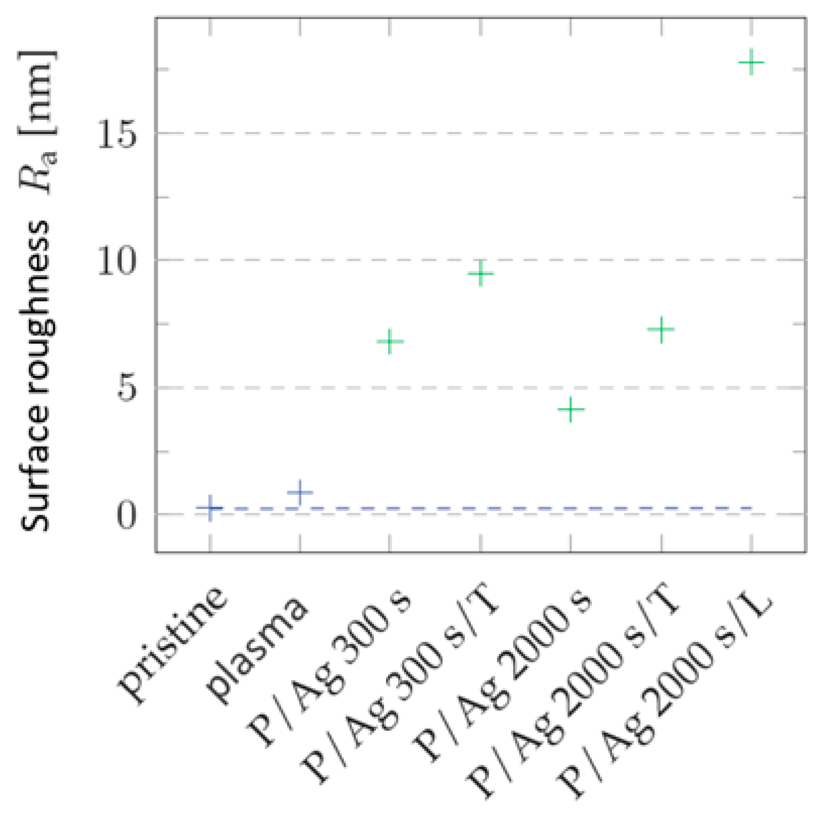
2.4. Surface Morphology
2.4.1. Gold Layer
2.4.2. Silver Layer
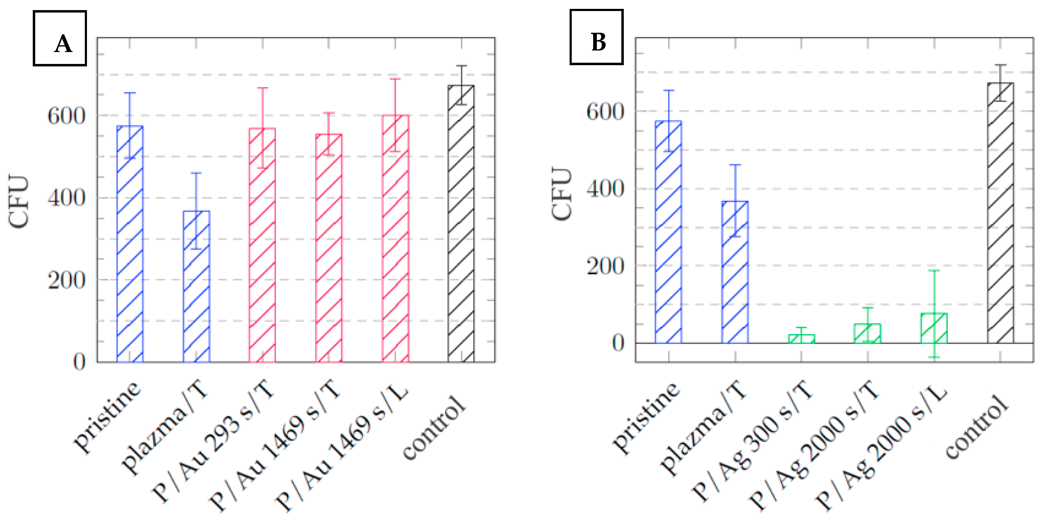
2.5. Antibacterial Properties
3. Materials and Methods
3.1. Materials and Modification
3.2. Solvent Casting
3.3. Plasma Modification
3.4. Metal-Layer Deposition
3.5. Excimer Laser Treatment
3.6. Heat Treatment
3.7. Antibacterial Testing
3.8. Analytical Methods
3.8.1. Atomic-Force Microscopy
3.8.2. Scanning Electron Microscopy
3.8.3. X-Ray Photoelectron Spectrometry
3.8.4. Wettability
3.8.5. Gravimetry
3.8.6. Rutherford Backscattering Spectroscopy
3.8.7. Differential Scanning Calorimetry
4. Conclusions
Author Contributions
Funding
Institutional Review Board Statement
Informed Consent Statement
Data Availability Statement
Conflicts of Interest
References
- Agha, A.; Waheed, W.; Alamoodi, N.; Mathew, B.; Alnaimat, F.; Abu-Nada, E.; Abderrahmane, A.; Alazzam, A. A review of cyclic olefin copolymer applications in microfluidics and microdevices. Macromol. Mater. Eng. 2022, 307, 2200053. [Google Scholar] [CrossRef]
- Shin, J.Y.; Park, J.Y.; Liu, C.; He, J.; Kim, S.C. Chemical structure and physical properties of cyclic olefin copolymers (IUPAC Technical Report). Pure Appl. Chem. 2005, 77, 801–814. [Google Scholar] [CrossRef]
- Lago, W.S.R.; Aymes-Chodur, C.; Ahoussou, A.P.; Yagoubi, N. Physico-chemical ageing of ethylene–norbornene copolymers: A review. J. Mater. Sci. 2017, 52, 6879–6904. [Google Scholar] [CrossRef]
- Gutiérrez-Villarreal, M.H.; Zavala-Betancourt, S.A. A comparative study of the photodegradation of two series of cyclic olefin copolymers. Int. J. Polym. Sci. 2017, 2017, 1–10. [Google Scholar] [CrossRef]
- Bragheri, F.; Vázquez, R.M.; Osellame, R. Three-dimensional microfabrication using two-photon polymerization. In Three-Dimensional Microfabrication Using Two-Photon Polymerization; Elsevier: Amsterdam, The Netherlands, 2020; pp. 493–526. [Google Scholar]
- Scott, S.; Ali, Z. Fabrication methods for microfluidic devices: An overview. Micromachines 2021, 12, 319. [Google Scholar] [CrossRef]
- Bischoff, K.; Mücke, D.; Roth, G.-L.; Esen, C.; Hellmann, R. UV-femtosecond-laser structuring of cyclic olefin copolymer. Polymers 2022, 14, 2962. [Google Scholar] [CrossRef]
- Guan, B.; Pai, J.-H.; Cherrill, M.; Michalatos, B.; Priest, C. Injection moulding of micropillar arrays: A comparison of poly(methyl methacrylate) and cyclic olefin copolymer. Microsyst. Technol. 2022, 28, 2083–2091. [Google Scholar] [CrossRef]
- Kalkan, S.B.; Najafidehaghani, E.; Gan, Z.; Drewniok, J.; Lichtenegger, M.F.; Hübner, U.; Urban, A.S.; George, A.; Turchanin, A.; Nickel, B. High performance monolayer MoS2 field effect transistors on cyclic olefin copolymer passivated SiO2 gate dielectric. Adv. Opt. Mater. 2022, 11, 2201617. [Google Scholar] [CrossRef]
- Cutroneo, M.; Torrisi, L.; Silipigni, L.; Havranek, V.; Mackova, A.; Malinsky, P.; Miksova, R.; Maly, J.; Stofik, M.; Aubrecht, P.; et al. Laminated cyclic olefin copolymer foil by pulsed laser deposition. Coatings 2023, 13, 596. [Google Scholar] [CrossRef]
- Muthuraj, R.; Misra, M.; Mohanty, A.K. Biodegradable compatibilized polymer blends for packaging applications: A literature review. J. Appl. Polym. Sci. 2018, 135, 45726. [Google Scholar] [CrossRef]
- Bao, Z.; Ding, S.; Dai, Z.; Wang, Y.; Jia, J.; Shen, S.; Yin, Y.; Li, X. Significantly enhanced high-temperature capacitive energy storage in cyclic olefin copolymer dielectric films via ultraviolet irradiation. Mater. Horiz. 2023, 10, 2120–2127. [Google Scholar] [CrossRef]
- Forcinio, H. Pre-filled syringes show strong growth. BioPharm Int. 2022, 35, 28–31. [Google Scholar]
- de Oliveira, D.P.; Costa, J.S.R.; Oliveira-Nascimento, L. Sustainability of blisters for medicines in tablet form. Sustain. Chem. Pharm. 2021, 21, 100423. [Google Scholar] [CrossRef]
- Slepička, P.; Michaljaničová, I.; Kasálková, N.S.; Kolská, Z.; Rimpelová, S.; Ruml, T.; Švorčík, V. Poly-L-lactic acid modified by etching and grafting with gold nanoparticles. J. Mater. Sci. 2013, 48, 5871–5879. [Google Scholar] [CrossRef]
- Slepička, P.; Peterková, L.; Rimpelová, S.; Pinkner, A.; Kasálková, N.S.; Kolská, Z.; Ruml, T.; Švorčík, V. Plasma activated perfluoroethylenepropylene for cytocompatibility enhancement. Polym. Degrad. Stab. 2016, 130, 277–287. [Google Scholar] [CrossRef]
- Carvalho, R.M.; Santos, L.M.N.B.F.; Bastos, M.; Costa, J.C.S. Carbon-induced changes in the morphology and wetting behavior of ionic liquids on the mesoscale. Langmuir 2024, 40, 3949–3961. [Google Scholar] [CrossRef] [PubMed]
- Laad, M.; Sur, A.; Kale, G.; Razoumny, Y.; Shalu, A. Synthesis and characterization of carbon based polymer composites reinforced with MWCNTs and graphite in PVDF matrix. Sci. Rep. 2025, 15, 28928. [Google Scholar] [CrossRef]
- Lišková, J.; Kasálková, N.S.; Slepička, P.; Švorčík, V.; Bačáková, L. Heat-treated carbon coatings on poly(L-lactide) foils for tissue engineering. Mater. Sci. Eng. C 2019, 100, 117–128. [Google Scholar] [CrossRef]
- Krajcar, R.; Siegel, J.; Slepička, P.; Fitl, P.; Švorčík, V. Silver nanowires prepared on PET structured by laser irradiation. Mater. Lett. 2014, 117, 184–187. [Google Scholar] [CrossRef]
- Martínez-García, P.; Gálvez, Ó.; Sanz, M.; Martínez, L.; Huttel, Y.; Nogales, A.; Ezquerra, T.A.; Rebollar, E. Nanostructuring aromatic polyimide surfaces by laser. Polymer 2025, 340, 129220. [Google Scholar] [CrossRef]
- Slepička, P.; Neznalová, K.; Fajstavr, D.; Švorčík, V. Nanostructuring of honeycomb-like polystyrene with excimer laser. Prog. Org. Coat. 2020, 145, 105670. [Google Scholar] [CrossRef]
- Parízek, M.; Kasálková, N.; Bačáková, L.; Slepička, P.; Lísa, V.; Blažková, M.; Švorčík, V. Improved adhesion, growth and maturation of vascular smooth muscle cells on polyethylene grafted with bioactive molecules and carbon particles. Int. J. Mol. Sci. 2009, 10, 4352–4366. [Google Scholar] [CrossRef]
- von Woedtke, T.; Bekeschus, S.; Weltmann, K.D.; Wende, K. Plasma-Treated Liquids for Medicine: A Narrative Review on State and Perspectives. Plasma Process. Polym. 2025, 22, e2400255. [Google Scholar] [CrossRef]
- Švorčík, V.; Siegel, J.; Slepička, P.; Kotál, V.; Špirková, M. Au nanolayers deposited on PET and PTFE degraded by plasma discharge. Surf. Interface Anal. 2007, 39, 79–84. [Google Scholar] [CrossRef]
- Bashir, S.; Ahmad, S.; Ali, N.; Kalsoom, U.; Rafique, M.S.; Alshehri, A.M.; Husinsky, W. Modification in electrical conductivity correlated with surface, structural & optical characteristics of graphite ions implanted CR-39. Heliyon 2024, 10, e34553. [Google Scholar] [CrossRef] [PubMed]
- Roy, S.; Yue, C.; Lam, Y.; Wang, Z.; Hu, H. Surface analysis, hydrophilic enhancement, ageing behavior and flow in plasma modified cyclic olefin copolymer (COC)-based microfluidic devices. Sens. Actuators B Chem. 2010, 150, 537–549. [Google Scholar] [CrossRef]
- Dawaymeh, F.; Abbas, Y.; Khaleel, M.; Alazzam, A.; Alamoodi, N. Tuning the surface wettability of cyclic olefin copolymer by plasma treatment and graphene oxide deposition and reduction. Polymers 2021, 13, 2305. [Google Scholar] [CrossRef] [PubMed]
- Schaub, A.; Slepicka, P.; Kasparkova, I.; Malinsky, P.; Mackova, A.; Svorcik, V. Gold nanolayer and nanocluster coatings induced by heat treatment and evaporation technique. Nanoscale Res. Lett. 2013, 8, 266. [Google Scholar] [CrossRef]
- Font, F.; Myers, T.G. Spherically symmetric nanoparticle melting with a variable phase change temperature. J. Nanopart. Res. 2013, 15, 2086. [Google Scholar] [CrossRef]
- Schwartzkopf, M.; Hinz, A.; Polonskyi, O.; Strunskus, T.; Löhrer, F.C.; Körstgens, V.; Müller-Buschbaum, P.; Faupel, F.; Roth, S.V. Role of sputter deposition rate in tailoring nanogranular gold structures on polymer surfaces. ACS Appl. Mater. Interfaces 2017, 9, 5629–5637. [Google Scholar] [CrossRef]
- Schmidl, G.; Raugust, M.; Jia, G.; Dellith, A.; Dellith, J.; Schmidl, F.; Plentz, J. Porous spherical gold nanoparticles via a laser induced process. Nanoscale Adv. 2022, 4, 4122–4130. [Google Scholar] [CrossRef]
- Yang, D.Q.; Meunier, M.; Sacher, E. Excimer laser manipulation and patterning of gold nanoparticles on the SiO2/Si surface. J. Appl. Phys. 2004, 95, 5023–5026. [Google Scholar] [CrossRef]
- Granata, F.; Pirillo, N.; Alabastri, A.; Schirato, A.; Bruno, L.; Costa, R.; Malara, N.; Onesto, V.; Coluccio, M.L.; Iodice, M.; et al. Synthesis of plasmonic gold nanoparticles on soft materials for biomedical applications. Micro Nano Eng. 2023, 19, 100207. [Google Scholar] [CrossRef]
- Sasikanth, G.; Prasad, M.D.; Radhakrishnan, T.P. Polymer–metal nanocomposite thin films fabricated by a sputter–anneal process and relevance of the polymer matrix. J. Chem. Sci. 2021, 133, 36. [Google Scholar] [CrossRef]
- More, P.R.; Pandit, S.; Filippis, A.D.; Franci, G.; Mijakovic, I.; Galdiero, M. Silver nanoparticles: Bactericidal and mechanistic approach against drug resistant pathogens. Microorganisms 2023, 11, 369. [Google Scholar] [CrossRef]
- Gouyau, J.; Duval, R.E.; Boudier, A.; Lamouroux, E. Investigation of nanoparticle metallic core antibacterial activity: Gold and silver nanoparticles against Escherichia coli and Staphylococcus aureus. Int. J. Mol. Sci. 2021, 22, 1905. [Google Scholar] [CrossRef]
- Shamaila, S.; Zafar, N.; Riaz, S.; Sharif, R.; Nazir, J.; Naseem, S. Gold nanoparticles: An efficient antimicrobial agent against enteric bacterial human pathogen. Nanomaterials 2016, 6, 71. [Google Scholar] [CrossRef] [PubMed]
- Morones, J.R.; Elechiguerra, J.L.; Camacho, A.; Holt, K.; Kouri, J.B.; Ramírez, J.T.; Yacaman, M.J. The bactericidal effect of silver nanoparticles. Nanotechnology 2005, 16, 2346–2353. [Google Scholar] [CrossRef] [PubMed]
- Yin, I.X.; Zhang, J.; Zhao, I.S.; Mei, M.L.; Li, Q.; Chu, C.H. The antibacterial mechanism of silver nanoparticles and its application in dentistry. Int. J. Nanomed. 2020, 15, 2555–2562. [Google Scholar] [CrossRef] [PubMed]
- Rabiee, K.; Bagherzadeh, M.; Ghasemi, A.; Zarrabi, A. Silver and gold nanoparticles for antimicrobial purposes against multi-drug resistant bacteria. Nanomaterials 2022, 12, 286. [Google Scholar] [CrossRef]
- Aguilar-Garay, R.; Lara-Ortiz, L.F.; Campos-López, M.; Gonzalez-Rodriguez, D.E.; Gamboa-Lugo, M.M.; Mendoza-Pérez, J.A.; Anzueto-Ríos, Á.; Nicolás-Álvarez, D.E. A comprehensive review of silver and gold nanoparticles as effective antibacterial agents. Pharmaceuticals 2024, 17, 1134. [Google Scholar] [CrossRef]
- Feng, Q.L.; Wu, J.; Chen, G.Q.; Cui, F.Z.; Kim, T.N.; Kim, J.O. A mechanistic study of the antibacterial effect of silver ions on Escherichia coli and Staphylococcus aureus. J. Biomed. Mater. Res. 2000, 52, 662–668. [Google Scholar] [CrossRef]
- Cui, Y.; Zhao, Y.; Tian, Y.; Zhang, W.; Lü, X.; Jiang, X. The molecular mechanism of action of bactericidal gold nanoparticles on Escherichia coli. Biomaterials 2012, 33, 2327–2333. [Google Scholar] [CrossRef]
- Saed, M.; Ayivi, R.D.; Wei, J.; Obare, S.O. Gold nanoparticles antibacterial activity: Does the surface matter? Colloid Interface Sci. Commun. 2024, 62, 100804. [Google Scholar] [CrossRef]
- Karatas, H.; Eker, F.; Akdasci, E.; Bechelany, M.; Karav, S. Silver Nanoparticles in Antibacterial Research: Mechanisms, Applications, and Emerging Perspectives. Int. J. Mol. Sci. 2026, 27, 927. [Google Scholar] [CrossRef]
- Nazarov, D.; Ezhov, I.; Yudintceva, N.; Shevtsov, M.; Rudakova, A.; Kalganov, V.; Tolmachev, V.; Zharova, Y.; Lutakov, O.; Kraeva, L.; et al. Antibacterial and Osteogenic Properties of Ag Nanoparticles and Ag/TiO2 Nanostructures Prepared by Atomic Layer Deposition. J. Funct. Biomater. 2022, 13, 62. [Google Scholar] [CrossRef] [PubMed]
- Nazarov, D.; Kozlova, L.; Rogacheva, E.; Kraeva, L.; Maximov, M. Atomic Layer Deposition of Antibacterial Nanocoatings: A Review. Antibiotics 2023, 12, 1656. [Google Scholar] [CrossRef] [PubMed]
- Tsai, T.T.; Huang, C.Y.; Chen, C.A.; Shen, Y.H.; Kuo, W.R.; Chen, T.J.; Fang, Y.C. Antibacterial cellulose paper made with silver-coated gold nanoparticles. Sci. Rep. 2017, 7, 3155. [Google Scholar] [CrossRef] [PubMed]
- Balestri, A.; Cardellini, J.; Berti, D. Gold and silver nanoparticles as tools to combat multidrug-resistant pathogens. Curr. Opin. Colloid Interface Sci. 2023, 66, 101710. [Google Scholar] [CrossRef]
- Panáček, A.; Kvítek, L.; Smékalová, M.; Večeřová, R.; Kolář, M.; Röderová, M.; Dyčka, I.; Šebela, M.; Prucek, R.; Tomanec, O.; et al. Bacterial resistance to silver nanoparticles and how to overcome it. Nat. Nanotechnol. 2018, 13, 65–71. [Google Scholar] [CrossRef]
- Joshi, A.S.; Singh, P.; Mijakovic, I. Interactions of Gold and Silver Nanoparticles with Bacterial Biofilms: Molecular Interactions behind Inhibition and Resistance. Int. J. Mol. Sci. 2020, 21, 7658. [Google Scholar] [CrossRef] [PubMed]
- Topas Advanced Polymers, TOPAS® 5013L-10 Technical Data Sheet. Available online: https://topas.com/wp-content/uploads/2023/05/TDS_5013L-10_english-units.pdf (accessed on 16 February 2026).
















| Sample | C [at. %] | O [at. %] | Cl [at. %] | Au/Ag [at. %] |
|---|---|---|---|---|
| plasma | 97.01 | 1.07 | 1.93 | - |
| plasma/T | 97.85 | 1.27 | 0.88 | - |
| P/Au 293 s | 95.61 | 1.11 | 2.52 | 0.76 |
| P/Au 293 s/T | 97.38 | 1.25 | 0.68 | 0.69 |
| P/Au 1469 s | 85.41 | 0.90 | 3.35 | 10.34 |
| P/Au 1469 s/T | 71.94 | 1.34 | 5.14 | 21.57 |
| P/Au 1469 s/L | 97.44 | 1.64 | - | 0.92 |
| P/Ag 300 s | 96.34 | 1.23 | 1.59 | 0.85 |
| P/Ag 2000 s | 91.01 | - | 2.22 | 6.77 |
| P/Ag 2000 s/T | 88.68 | - | 2.30 | 9.02 |
| P/Ag 2000 s/L | 97.75 | 0.69 | 1.57 | - |
| Metal | Deposition [s] | Gravimetry [nm] | AFM COC [nm] | AFM Glass [nm] |
|---|---|---|---|---|
| Au | 293 | 7.34 ± 0.98 | 13.93 ± 0.39 | 13.13 ± 0.58 |
| Au | 1469 | 46.44 ± 2.90 | 10.66 ± 0.74 | 50.13 ± 0.67 |
| Ag | 300 | 6.17 ± 1.81 | - | 13.56 ± 0.54 |
| Ag | 2000 | 45.77 ± 4.79 | 17.07 ± 0.42 | 77.44 ± 2.03 |
Disclaimer/Publisher’s Note: The statements, opinions and data contained in all publications are solely those of the individual author(s) and contributor(s) and not of MDPI and/or the editor(s). MDPI and/or the editor(s) disclaim responsibility for any injury to people or property resulting from any ideas, methods, instructions or products referred to in the content. |
© 2026 by the authors. Licensee MDPI, Basel, Switzerland. This article is an open access article distributed under the terms and conditions of the Creative Commons Attribution (CC BY) license.
Share and Cite
Slepička, P.; Priškin, J.; Frýdlová, B.; Sajdl, P.; Švorčík, V.; Kutová, A.; Malinský, P.; Hrdlička, Z.; Kvítek, O.; Slepičková Kasálková, N. Cyclic Olefin Copolymer with a Noble Metal Nanostructures as an Antibacterial Material. Int. J. Mol. Sci. 2026, 27, 2940. https://doi.org/10.3390/ijms27072940
Slepička P, Priškin J, Frýdlová B, Sajdl P, Švorčík V, Kutová A, Malinský P, Hrdlička Z, Kvítek O, Slepičková Kasálková N. Cyclic Olefin Copolymer with a Noble Metal Nanostructures as an Antibacterial Material. International Journal of Molecular Sciences. 2026; 27(7):2940. https://doi.org/10.3390/ijms27072940
Chicago/Turabian StyleSlepička, Petr, Jonáš Priškin, Bára Frýdlová, Petr Sajdl, Václav Švorčík, Anna Kutová, Petr Malinský, Zdeněk Hrdlička, Ondřej Kvítek, and Nikola Slepičková Kasálková. 2026. "Cyclic Olefin Copolymer with a Noble Metal Nanostructures as an Antibacterial Material" International Journal of Molecular Sciences 27, no. 7: 2940. https://doi.org/10.3390/ijms27072940
APA StyleSlepička, P., Priškin, J., Frýdlová, B., Sajdl, P., Švorčík, V., Kutová, A., Malinský, P., Hrdlička, Z., Kvítek, O., & Slepičková Kasálková, N. (2026). Cyclic Olefin Copolymer with a Noble Metal Nanostructures as an Antibacterial Material. International Journal of Molecular Sciences, 27(7), 2940. https://doi.org/10.3390/ijms27072940

