Identification of a Muscle-Invasive Bladder Carcinoma Molecular Subtype of Poor Responders to Neoadjuvant Chemotherapy and High Expression of Targetable Biomarkers
Abstract
1. Introduction
2. Results
2.1. Clinical Characteristics of the EPIC-MIBC Cohort
2.2. Proteomics Experiments
2.3. Classification of EPIC-MIBC TURBT Samples
2.3.1. Protein Network Analysis in EPIC-MIBC TURBT Samples
2.3.2. Layer1 Classification: DNA Replication and Adhesion
2.3.3. Layer2 Classification: Cytoskeleton
2.3.4. Layer3 Classification: Innate Immune Response
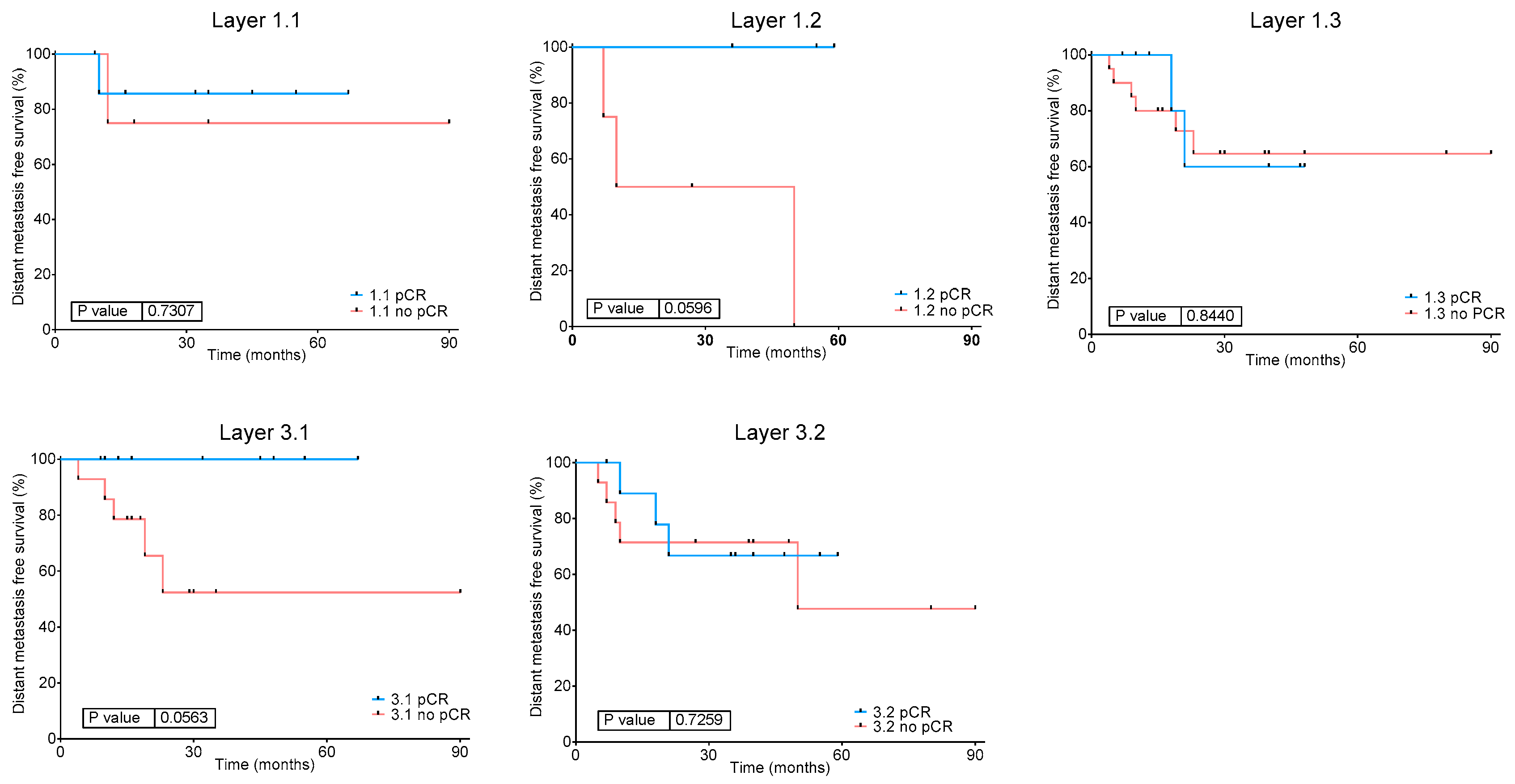
2.3.5. Relation Between Layers, Response to NACT and DFS
2.4. Validation of the Layer Classification in BLCA-TCGA Cohort
2.5. Search for Mechanisms of Resistance to NACT in EPIC-MIBC Cohort Analyzing Cystectomy Samples
3. Discussion
4. Materials and Methods
4.1. EPIC-MIBC Cohort
4.2. Protein Isolation
4.3. Liquid Chromatography-Mass Spectrometry Analysis
4.4. Spectral Library Generation and Protein Quantification
4.5. Proteomics Data Pre-Processing
4.6. Biological Layer Analysis
4.7. Systems Biology Analyses
4.8. Consensus Molecular Classification Sample Assignment
4.9. Validation of Layer Classifications in BLCA-TCGA Cohort
4.10. Study of Distribution of FGFR3 Alterations in BLCA-TCGA Cohort
4.11. Statistical Analyses
5. Conclusions
Supplementary Materials
Author Contributions
Funding
Institutional Review Board Statement
Informed Consent Statement
Data Availability Statement
Conflicts of Interest
Abbreviations
| BIC | Bayesian Information Criterion |
| CC | Consensus clustering |
| CMS | Consensus Molecular Subtypes |
| CR | Complete response |
| DFS | Disease-free survival |
| DIA | Data-independent acquisition |
| FFPE | Formalin-fixed paraffin-embedded |
| GSEA | Gene Set Enrichment Analysis |
| NACT | Neoadjuvant chemotherapy |
| MIBC | Muscle-invasive bladder carcinoma |
| OS | Overall survival |
| PGM | Probabilistic Graphical Model |
| TCGA | The Cancer Genome Atlas |
| TURBT | Transurethral resection of bladder tumor |
| WES | Whole-exome sequencing |
References
- Bray, F.; Laversanne, M.; Sung, H.; Ferlay, J.; Siegel, R.L.; Soerjomataram, I.; Jemal, A. Global cancer statistics 2022: GLOBOCAN estimates of incidence and mortality worldwide for 36 cancers in 185 countries. CA Cancer J. Clin. 2024, 74, 229–263. [Google Scholar] [CrossRef]
- Alfred Witjes, J.; Max Bruins, H.; Carrión, A.; Cathomas, R.; Compérat, E.; Efstathiou, J.A.; Fietkau, R.; Gakis, G.; Lorch, A.; Martini, A.; et al. European Association of Urology Guidelines on Muscle-invasive and Metastatic Bladder Cancer: Summary of the 2023 Guidelines. Eur. Urol. 2024, 85, 17–31, Erratum in Eur. Urol. 2024, 85, e180. [Google Scholar] [CrossRef]
- Bajorin, D.F.; Witjes, J.A.; Gschwend, J.E.; Schenker, M.; Valderrama, B.P.; Tomita, Y.; Bamias, A.; Lebret, T.; Shariat, S.F.; Park, S.H.; et al. Adjuvant Nivolumab versus Placebo in Muscle-Invasive Urothelial Carcinoma. N. Engl. J. Med. 2021, 384, 2102–2114, Erratum in N. Engl. J. Med. 2021, 385, 864. [Google Scholar] [CrossRef]
- Powles, T.; Catto, J.W.F.; Galsky, M.D.; Al-Ahmadie, H.; Meeks, J.J.; Nishiyama, H.; Vu, T.Q.; Antonuzzo, L.; Wiechno, P.; Atduev, V.; et al. Perioperative Durvalumab with Neoadjuvant Chemotherapy in Operable Bladder Cancer. N. Engl. J. Med. 2024, 391, 1773–1786. [Google Scholar] [CrossRef]
- Choi, W.; Porten, S.; Kim, S.; Willis, D.; Plimack, E.R.; Hoffman-Censits, J.; Roth, B.; Cheng, T.; Tran, M.; Lee, I.L.; et al. Identification of distinct basal and luminal subtypes of muscle-invasive bladder cancer with different sensitivities to frontline chemotherapy. Cancer Cell 2014, 25, 152–165. [Google Scholar] [CrossRef]
- Robertson, A.G.; Kim, J.; Al-Ahmadie, H.; Bellmunt, J.; Guo, G.; Cherniack, A.D.; Hinoue, T.; Laird, P.W.; Hoadley, K.A.; Akbani, R.; et al. Comprehensive Molecular Characterization of Muscle-Invasive Bladder Cancer. Cell 2017, 171, 540–556.e25. [Google Scholar] [CrossRef]
- Trilla-Fuertes, L.; Gámez-Pozo, A.; Prado-Vázquez, G.; Zapater-Moros, A.; Díaz-Almirón, M.; Arevalillo, J.M.; Ferrer-Gómez, M.; Navarro, H.; Maín, P.; Espinosa, E.; et al. Biological molecular layer classification of muscle-invasive bladder cancer opens new treatment opportunities. BMC Cancer 2019, 19, 636. [Google Scholar] [CrossRef]
- Kamoun, A.; de Reyniès, A.; Allory, Y.; Sjödahl, G.; Robertson, A.G.; Seiler, R.; Hoadley, K.A.; Groeneveld, C.S.; Al-Ahmadie, H.; Choi, W.; et al. A Consensus Molecular Classification of Muscle-invasive Bladder Cancer. Eur. Urol. 2020, 77, 420–433. [Google Scholar] [CrossRef]
- Necchi, A.; Raggi, D.; Gallina, A.; Ross, J.S.; Farè, E.; Giannatempo, P.; Marandino, L.; Colecchia, M.; Lucianò, R.; Bianchi, M.; et al. Impact of Molecular Subtyping and Immune Infiltration on Pathological Response and Outcome Following Neoadjuvant Pembrolizumab in Muscle-invasive Bladder Cancer. Eur. Urol. 2020, 77, 701–710. [Google Scholar] [CrossRef]
- Seiler, R.; Ashab, H.A.D.; Erho, N.; van Rhijn, B.W.G.; Winters, B.; Douglas, J.; Van Kessel, K.E.; Fransen van de Putte, E.E.; Sommerlad, M.; Wang, N.Q.; et al. Impact of Molecular Subtypes in Muscle-invasive Bladder Cancer on Predicting Response and Survival after Neoadjuvant Chemotherapy. Eur. Urol. 2017, 72, 544–554. [Google Scholar] [CrossRef]
- de Velasco, G.; Trilla-Fuertes, L.; Gamez-Pozo, A.; Urbanowicz, M.; Ruiz-Ares, G.; Sepúlveda, J.M.; Prado-Vazquez, G.; Arevalillo, J.M.; Zapater-Moros, A.; Navarro, H.; et al. Urothelial cancer proteomics provides both prognostic and functional information. Sci. Rep. 2017, 7, 15819. [Google Scholar] [CrossRef]
- Groeneveld, C.S.; Sanchez-Quiles, V.; Dufour, F.; Shi, M.; Dingli, F.; Nicolle, R.; Chapeaublanc, E.; Poullet, P.; Jeffery, D.; Krucker, C.; et al. Proteogenomic Characterization of Bladder Cancer Reveals Sensitivity to Apoptosis Induced by Tumor Necrosis Factor-related Apoptosis-inducing Ligand in FGFR3-mutated Tumors. Eur. Urol. 2024, 85, 483–494. [Google Scholar] [CrossRef]
- Dressler, F.F.; Diedrichs, F.; Sabtan, D.; Hinrichs, S.; Krisp, C.; Gemoll, T.; Hennig, M.; Mackedanz, P.; Schlotfeldt, M.; Voß, H.; et al. Proteomic analysis of the urothelial cancer landscape. Nat. Commun. 2024, 15, 4513. [Google Scholar] [CrossRef]
- López-Camacho, E.; Prado-Vázquez, G.; Martínez-Pérez, D.; Ferrer-Gómez, M.; Llorente-Armijo, S.; López-Vacas, R.; Díaz-Almirón, M.; Gámez-Pozo, A.; Vara, J.F.; Feliu, J.; et al. A Novel Molecular Analysis Approach in Colorectal Cancer Suggests New Treatment Opportunities. Cancers 2023, 15, 1104. [Google Scholar] [CrossRef]
- Prado-Vázquez, G.; Gámez-Pozo, A.; Trilla-Fuertes, L.; Arevalillo, J.M.; Zapater-Moros, A.; Ferrer-Gómez, M.; Díaz-Almirón, M.; López-Vacas, R.; Navarro, H.; Maín, P.; et al. A novel approach to triple-negative breast cancer molecular classification reveals a luminal immune-positive subgroup with good prognoses. Sci. Rep. 2019, 9, 1538. [Google Scholar] [CrossRef]
- Robertson, J.F.; Lindemann, J.P.; Llombart-Cussac, A.; Rolski, J.; Feltl, D.; Dewar, J.; Emerson, L.; Dean, A.; Ellis, M.J. Fulvestrant 500 mg versus anastrozole 1 mg for the first-line treatment of advanced breast cancer: Follow-up analysis from the randomized ‘FIRST’ study. Breast Cancer Res. Treat. 2012, 136, 503–511. [Google Scholar] [CrossRef]
- Petrella, G.; Ciufolini, G.; Vago, R.; Cicero, D.O. The Interplay between Oxidative Phosphorylation and Glycolysis as a Potential Marker of Bladder Cancer Progression. Int. J. Mol. Sci. 2020, 21, 8107. [Google Scholar] [CrossRef]
- Mosaad, Y.M. Clinical Role of Human Leukocyte Antigen in Health and Disease. Scand. J. Immunol. 2015, 82, 283–306. [Google Scholar] [CrossRef]
- Piao, X.M.; Kang, H.W.; Jeong, P.; Byun, Y.J.; Lee, H.Y.; Kim, K.; Seo, S.P.; Kim, W.T.; Lee, J.Y.; Ha, Y.S.; et al. A prognostic immune predictor, HLA-DRA, plays diverse roles in non-muscle invasive and muscle invasive bladder cancer. Urol. Oncol. 2021, 39, 237.e21–237.e29. [Google Scholar] [CrossRef]
- Kim, Y.; Ju, H.; Yoo, S.Y.; Jeong, J.; Heo, J.; Lee, S.; Park, J.M.; Yoon, S.Y.; Jeong, S.U.; Lee, J.; et al. Glutathione dynamics is a potential predictive and therapeutic trait for neoadjuvant chemotherapy response in bladder cancer. Cell Rep. Med. 2023, 4, 101224. [Google Scholar] [CrossRef]
- Klümper, N.; Brägelmann, J.; Bahlinger, V.; Hartmann, A.; Grünwald, V.; Kuppe, C.; Hölzel, M.; Eckstein, M. Membranous expression of target protein is required for ADC response in urothelial cancer. Eur. Urol. 2025, 87, e34–e36. [Google Scholar] [CrossRef]
- Brave, M.H.; Maguire, W.F.; Weinstock, C.; Zhang, H.; Gao, X.; Li, F.; Yu, J.; Fu, W.; Zhao, H.; Pierce, W.F.; et al. FDA Approval Summary: Enfortumab Vedotin plus Pembrolizumab for Locally Advanced or Metastatic Urothelial Carcinoma. Clin. Cancer Res. 2024, 30, 4815–4821. [Google Scholar] [CrossRef]
- Powles, T.; Valderrama, B.P.; Gupta, S.; Bedke, J.; Kikuchi, E.; Hoffman-Censits, J.; Iyer, G.; Vulsteke, C.; Park, S.H.; Shin, S.J.; et al. Enfortumab Vedotin and Pembrolizumab in Untreated Advanced Urothelial Cancer. N. Engl. J. Med. 2024, 390, 875–888. [Google Scholar] [CrossRef]
- Chu, C.E.; Sjöström, M.; Egusa, E.A.; Gibb, E.A.; Badura, M.L.; Zhu, J.; Koshkin, V.S.; Stohr, B.A.; Meng, M.V.; Pruthi, R.S.; et al. Heterogeneity in NECTIN4 Expression Across Molecular Subtypes of Urothelial Cancer Mediates Sensitivity to Enfortumab Vedotin. Clin. Cancer Res. 2021, 27, 5123–5130. [Google Scholar] [CrossRef]
- Ogitani, Y.; Aida, T.; Hagihara, K.; Yamaguchi, J.; Ishii, C.; Harada, N.; Soma, M.; Okamoto, H.; Oitate, M.; Arakawa, S.; et al. DS-8201a, A Novel HER2-Targeting ADC with a Novel DNA Topoisomerase I Inhibitor, Demonstrates a Promising Antitumor Efficacy with Differentiation from T-DM1. Clin. Cancer Res. 2016, 22, 5097–5108. [Google Scholar] [CrossRef]
- Meric-Bernstam, F.; Makker, V.; Oaknin, A.; Oh, D.Y.; Banerjee, S.; González-Martín, A.; Jung, K.H.; Ługowska, I.; Manso, L.; Manzano, A.; et al. Efficacy and Safety of Trastuzumab Deruxtecan in Patients With HER2-Expressing Solid Tumors: Primary Results From the DESTINY-PanTumor02 Phase II Trial. J. Clin. Oncol. 2024, 42, 47–58. [Google Scholar] [CrossRef]
- Sonpavde, G.; Goldman, B.H.; Speights, V.O.; Lerner, S.P.; Wood, D.P.; Vogelzang, N.J.; Trump, D.L.; Natale, R.B.; Grossman, H.B.; Crawford, E.D. Quality of pathologic response and surgery correlate with survival for patients with completely resected bladder cancer after neoadjuvant chemotherapy. Cancer 2009, 115, 4104–4109. [Google Scholar] [CrossRef]
- Perera, T.P.S.; Jovcheva, E.; Mevellec, L.; Vialard, J.; De Lange, D.; Verhulst, T.; Paulussen, C.; Van De Ven, K.; King, P.; Freyne, E.; et al. Discovery and Pharmacological Characterization of JNJ-42756493 (Erdafitinib), a Functionally Selective Small-Molecule FGFR Family Inhibitor. Mol. Cancer Ther. 2017, 16, 1010–1020. [Google Scholar] [CrossRef]
- Li, R.; Linscott, J.; Catto, J.W.F.; Daneshmand, S.; Faltas, B.M.; Kamat, A.M.; Meeks, J.J.; Necchi, A.; Pradere, B.; Ross, J.S.; et al. FGFR Inhibition in Urothelial Carcinoma. Eur. Urol. 2025, 87, 110–122. [Google Scholar] [CrossRef]
- Plimack, E.R.; Dunbrack, R.L.; Brennan, T.A.; Andrake, M.D.; Zhou, Y.; Serebriiskii, I.G.; Slifker, M.; Alpaugh, K.; Dulaimi, E.; Palma, N.; et al. Defects in DNA Repair Genes Predict Response to Neoadjuvant Cisplatin-based Chemotherapy in Muscle-invasive Bladder Cancer. Eur. Urol. 2015, 68, 959–967. [Google Scholar] [CrossRef]
- Fan, B.; Zheng, X.; Wang, Y.; Hu, X. Predicting prognosis and clinical efficacy of immune checkpoint blockade therapy. Pathol. Oncol. Res. 2023, 29, 1611117. [Google Scholar] [CrossRef]
- Olkhov-Mitsel, E.; Hodgson, A.; Liu, S.K.; Vesprini, D.; Bayani, J.; Bartlett, J.M.S.; Xu, B.; Downes, M.R. Upregulation of IFNγ-mediated chemokines dominate the immune transcriptome of muscle-invasive urothelial carcinoma. Sci. Rep. 2022, 12, 716. [Google Scholar] [CrossRef]
- Fus, Ł.; Górnicka, B. Role of angiogenesis in urothelial bladder carcinoma. Cent. Eur. J. Urol. 2016, 69, 258–263. [Google Scholar]
- Elayat, G.; Punev, I.; Selim, A. An Overview of Angiogenesis in Bladder Cancer. Curr. Oncol. Rep. 2023, 25, 709–728. [Google Scholar] [CrossRef]
- Narayanan, S.; Srinivas, S. Incorporating VEGF-targeted therapy in advanced urothelial cancer. Ther. Adv. Med. Oncol. 2017, 9, 33–45. [Google Scholar] [CrossRef]
- Gámez-Pozo, A.; Berges-Soria, J.; Arevalillo, J.M.; Nanni, P.; López-Vacas, R.; Navarro, H.; Grossmann, J.; Castaneda, C.; Main, P.; Díaz-Almirón, M.; et al. Combined label-free quantitative proteomics and microRNA expression analysis of breast cancer unravel molecular differences with clinical implications. Cancer Res. 2015, 75, 2243–2253. [Google Scholar] [CrossRef]
- Gámez-Pozo, A.; Ferrer, N.I.; Ciruelos, E.; López-Vacas, R.; Martínez, F.G.; Espinosa, E.; Vara, J. Shotgun proteomics of archival triple-negative breast cancer samples. Proteom. Clin. Appl. 2013, 7, 283–291. [Google Scholar] [CrossRef]
- Türker, C.; Akal, F.; Joho, D.; Panse, C.; Barkow-Oesterreicher, S.; Rehrauer, H.; Schlapbach, R. B-Fabric: The Swiss Army Knife for Life Sciences. In Proceedings of the 13th International Conference on Extending Database Technology (EDBT ‘10); Association for Computing Machinery: New York, NY, USA, 2010. [Google Scholar]
- Demichev, V.; Messner, C.B.; Vernardis, S.I.; Lilley, K.S.; Ralser, M. DIA-NN: Neural networks and interference correction enable deep proteome coverage in high throughput. Nat. Methods 2020, 17, 41–44. [Google Scholar] [CrossRef]
- Tyanova, S.; Temu, T.; Sinitcyn, P.; Carlson, A.; Hein, M.Y.; Geiger, T.; Mann, M.; Cox, J. The Perseus computational platform for comprehensive analysis of (prote)omics data. Nat. Methods 2016, 13, 731–740. [Google Scholar] [CrossRef]
- Ritchie, M.; Phipson, B.; Wu, D.; Hu, Y.; Law, C.; Shi, W.; Smyth, G. limma powers differential expression analyses for RNA-sequencing and microarray studies. Nucleic Acid Res. 2015, 43, e47. [Google Scholar] [CrossRef]
- Witten, D.M.; Tibshirani, R. A framework for feature selection in clustering. J. Am. Stat. Assoc. 2010, 105, 713–726. [Google Scholar] [CrossRef]
- Wilkerson, M.D.; Hayes, D.N. ConsensusClusterPlus: A class discovery tool with confidence assessments and item tracking. Bioinformatics 2010, 26, 1572–1573. [Google Scholar] [CrossRef]
- Huang, D.W.; Sherman, B.T.; Lempicki, R.A. Systematic and integrative analysis of large gene lists using DAVID bioinformatics resources. Nat. Protoc. 2009, 4, 44–57. [Google Scholar] [CrossRef]
- Lauritzen, S. Graphical Models; Oxford University Press: Oxford, UK, 1996. [Google Scholar]
- Abreu, G.; Edwards, D.; Labouriau, R. High-Dimensional Graphical Model Search with the gRapHD R Package. J. Stat. Softw. 2010, 37, 1–18. [Google Scholar] [CrossRef]
- Blondel, V.D.; Guillaume, J.-L.; Lambiotte, R.; Lefebvre, E. Fast unfolding of communities in large networks. J. Stat. Mech. Theory Exp. 2008, 10, P10008. [Google Scholar] [CrossRef]
- Subramanian, A.; Tamayo, P.; Mootha, V.K.; Mukherjee, S.; Ebert, B.L.; Gillette, M.A.; Paulovich, A.; Pomeroy, S.L.; Golub, T.R.; Lander, E.S.; et al. Gene set enrichment analysis: A knowledge-based approach for interpreting genome-wide expression profiles. Proc. Natl. Acad. Sci. USA 2005, 102, 15545–15550. [Google Scholar] [CrossRef]






| EPIC-MIBC Patients | n = 58 |
|---|---|
| Gender | |
| Female | 17 (29%) |
| ECOG | |
| 0 | 45 (78%) |
| 1 | 4 (7%) |
| Unknown | 9 (15%) |
| Other histology than urothelial | |
| Papillary | 13 (22%) |
| Squamous | 2 (4%) |
| Papillary + squamous | 3 (5%) |
| Unknown | 40 (69%) |
| ypTNM satge | |
| 0 | 18 (31%) |
| 2 | 10 (17%) |
| 3 | 13 (23%) |
| 4 | 4 (7%) |
| Tis | 10 (17%) |
| Unknown | 3 (5%) |
| Prior treatment with BCG | |
| No | 55 (95%) |
| Yes | 3 (5%) |
| Chemotherapy scheme | |
| ddMVAC | 25 (43%) |
| Cisplatin-gemcitabine | 32 (55%) |
| Other | 1 (2%) |
| Response to NACT | |
| Yes | 24 (41%) |
| No | 32 (55%) |
Disclaimer/Publisher’s Note: The statements, opinions and data contained in all publications are solely those of the individual author(s) and contributor(s) and not of MDPI and/or the editor(s). MDPI and/or the editor(s) disclaim responsibility for any injury to people or property resulting from any ideas, methods, instructions or products referred to in the content. |
© 2026 by the authors. Licensee MDPI, Basel, Switzerland. This article is an open access article distributed under the terms and conditions of the Creative Commons Attribution (CC BY) license.
Share and Cite
Trilla-Fuertes, L.; Pedregosa-Barbas, J.; García-Fernández, E.; Zambrana, F.; Martínez-Salas, I.; Gajate, P.; Becerril-Gómez, F.; Lalanda-Delgado, P.; Dittmann, A.; López-Vacas, R.; et al. Identification of a Muscle-Invasive Bladder Carcinoma Molecular Subtype of Poor Responders to Neoadjuvant Chemotherapy and High Expression of Targetable Biomarkers. Int. J. Mol. Sci. 2026, 27, 476. https://doi.org/10.3390/ijms27010476
Trilla-Fuertes L, Pedregosa-Barbas J, García-Fernández E, Zambrana F, Martínez-Salas I, Gajate P, Becerril-Gómez F, Lalanda-Delgado P, Dittmann A, López-Vacas R, et al. Identification of a Muscle-Invasive Bladder Carcinoma Molecular Subtype of Poor Responders to Neoadjuvant Chemotherapy and High Expression of Targetable Biomarkers. International Journal of Molecular Sciences. 2026; 27(1):476. https://doi.org/10.3390/ijms27010476
Chicago/Turabian StyleTrilla-Fuertes, Lucía, Jorge Pedregosa-Barbas, Eugenia García-Fernández, Francisco Zambrana, Imanol Martínez-Salas, Pablo Gajate, Fernando Becerril-Gómez, Pedro Lalanda-Delgado, Antje Dittmann, Rocío López-Vacas, and et al. 2026. "Identification of a Muscle-Invasive Bladder Carcinoma Molecular Subtype of Poor Responders to Neoadjuvant Chemotherapy and High Expression of Targetable Biomarkers" International Journal of Molecular Sciences 27, no. 1: 476. https://doi.org/10.3390/ijms27010476
APA StyleTrilla-Fuertes, L., Pedregosa-Barbas, J., García-Fernández, E., Zambrana, F., Martínez-Salas, I., Gajate, P., Becerril-Gómez, F., Lalanda-Delgado, P., Dittmann, A., López-Vacas, R., Kunz, L., Rubio, G., Nieto-Torrero, S., Pertejo, A., González-Peramato, P., Fresno Vara, J. Á., Gámez-Pozo, A., & Pinto-Marín, Á. (2026). Identification of a Muscle-Invasive Bladder Carcinoma Molecular Subtype of Poor Responders to Neoadjuvant Chemotherapy and High Expression of Targetable Biomarkers. International Journal of Molecular Sciences, 27(1), 476. https://doi.org/10.3390/ijms27010476

