Kinetic and Potentiometric Characteristics of Ferredoxin: NADP+ Oxidoreductase from Chlorobaculum tepidum
Abstract
1. Introduction
2. Results
2.1. Presteady-State Kinetics Studies of CtFNR Reoxidation
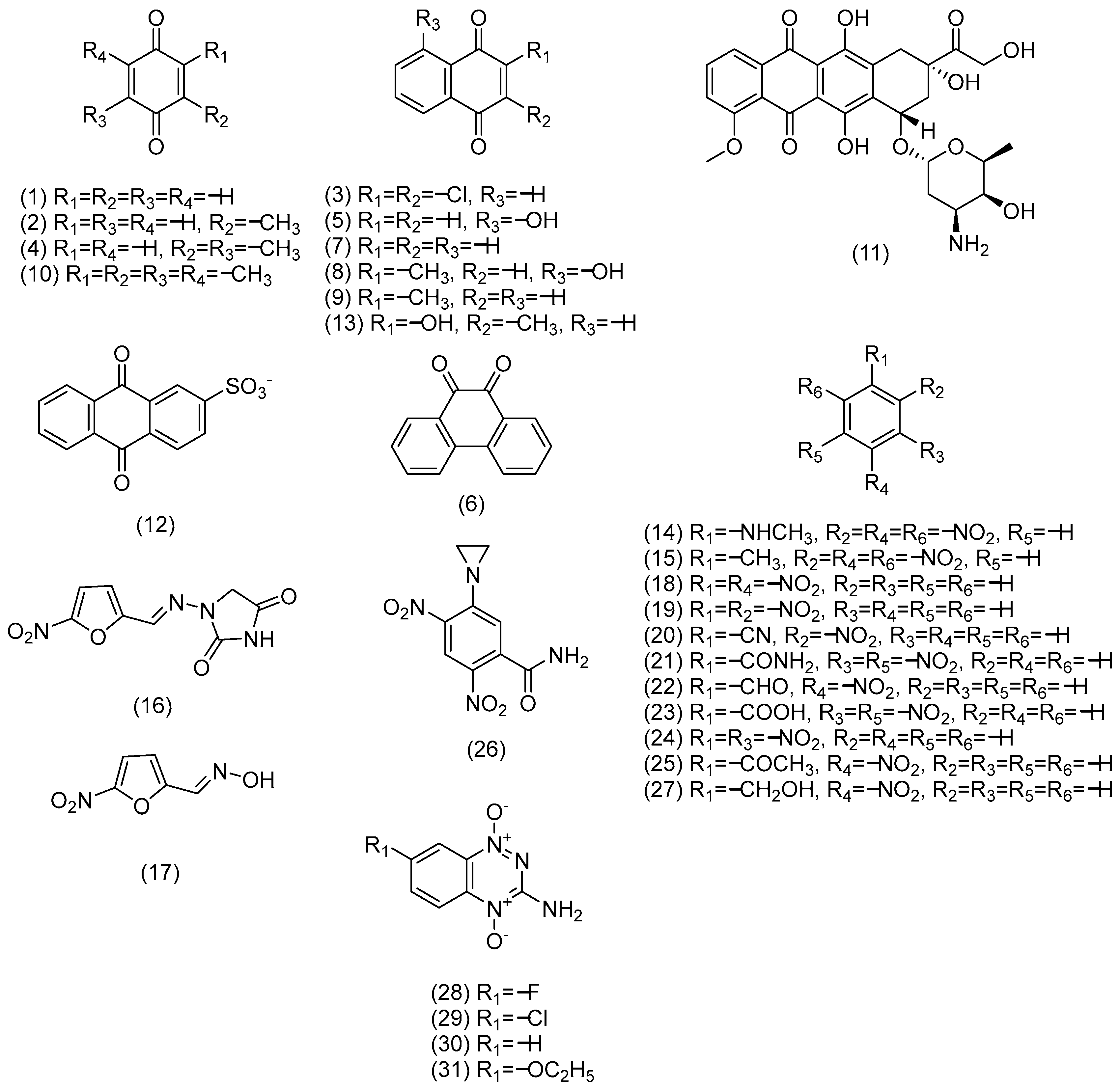
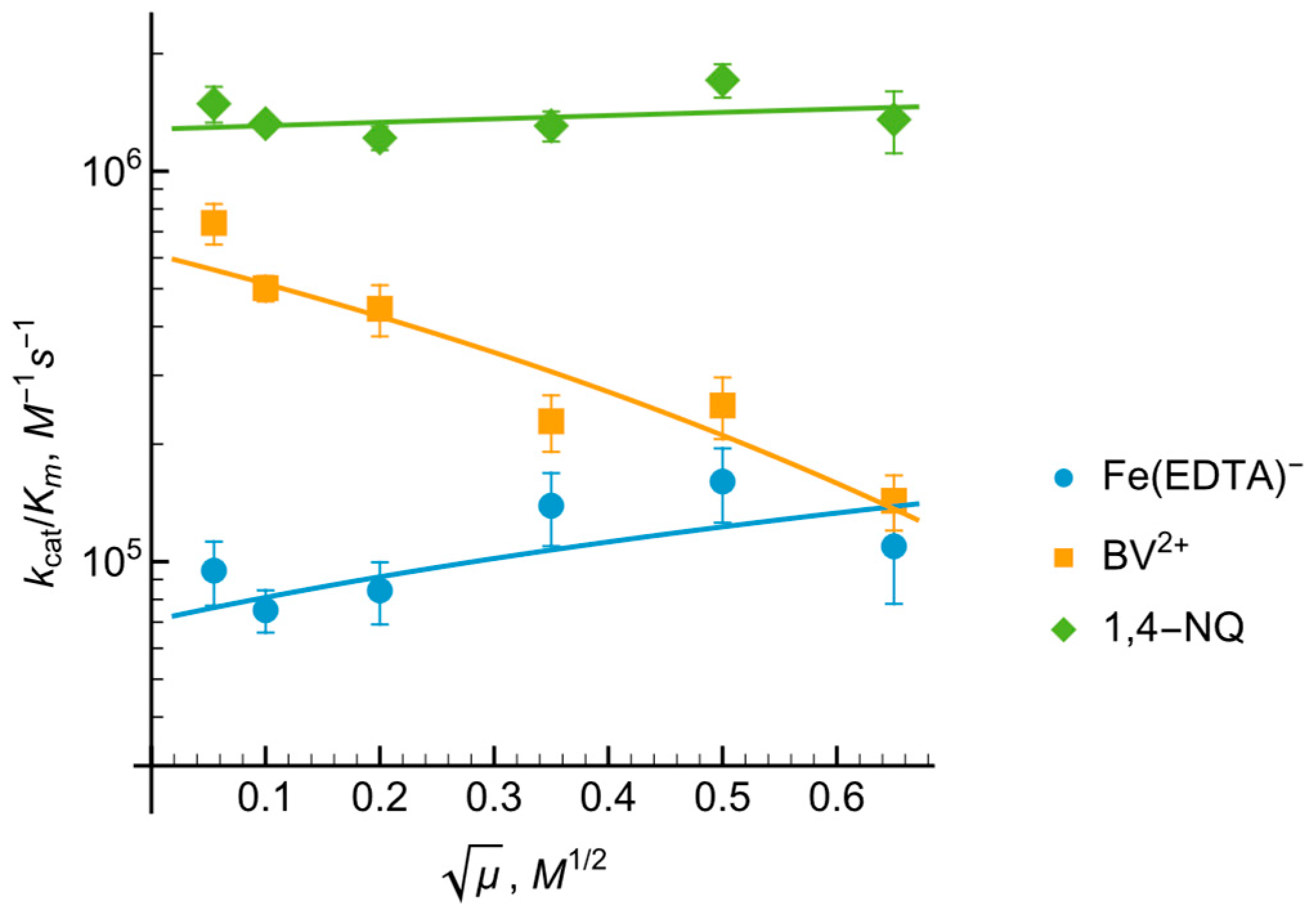
2.2. Steady-State Kinetics and Oxidant Substrate Specificity of CtFNR
2.3. Redox Potential Determination
3. Discussion
4. Materials and Methods
Author Contributions
Funding
Institutional Review Board Statement
Informed Consent Statement
Data Availability Statement
Acknowledgments
Conflicts of Interest
Abbreviations
| Nitroaromatic compound | |
| ArN→O | Aromatic N-oxide |
| BsFNR | Ferredoxin: oxidoreductase from Bacillus subtilis |
| CtFNR | Ferredoxin: oxidoreductase from Chlorobaculum tepidum |
| DQ | Duroquinone (1,4-benzoquinone) |
| Single-electron reduction potential at pH 7.0 | |
| Fd | Ferredoxin |
| Fld | Flavodoxin |
| FNR | Ferredoxin: oxidoreductase |
| NQ | 1,4-naphthoquinone |
| Q | Quinone |
| RpFNR | Ferredoxin: oxidoreductase from Rhodopseudomonas palustris |
| TrxR | Thioredoxin reductase |
References
- Hemmerich, P.; Massey, V. The Role of the Apoprotein in Directing Pathways of Flavin Catalysis. In Proceedings of the Third International Symposium on Oxidases and Related Redox Systems, State University of New York at Albany, Albany, NY, USA, 3–7 July 1979; pp. 379–405. [Google Scholar]
- Massey, V.; Hemmerich, P. Active-site probes of flavoproteins. Biochem. Soc. Trans. 1980, 8, 246–257. [Google Scholar] [CrossRef] [PubMed]
- Shin, M.; Arnon, D.I. Enzymic Mechanisms of Pyridine Nucleotide Reduction in Chloroplasts. J. Biol. Chem. 1965, 240, 1405–1411. [Google Scholar] [CrossRef]
- Ceccarelli, E.A.; Arakaki, A.K.; Cortez, N.; Carrillo, N. Functional plasticity and catalytic efficiency in plant and bacterial ferredoxin-NADP(H) reductases. Biochim. Biophys. Acta Proteins Proteom. 2004, 1698, 155–165. [Google Scholar] [CrossRef]
- Aliverti, A.; Pandini, V.; Pennati, A.; de Rosa, M.; Zanetti, G. Structural and functional diversity of ferredoxin-NADP+ reductases. Arch. Biochem. Biophys. 2008, 474, 283–291. [Google Scholar] [CrossRef]
- Nogués, I.; Tejero, J.; Hurley, J.K.; Paladini, D.; Frago, S.; Tollin, G.; Mayhew, S.G.; Gómez-Moreno, C.; Ceccarelli, E.A.; Carrillo, N.; et al. Role of the C-Terminal Tyrosine of Ferredoxin-Nicotinamide Adenine Dinucleotide Phosphate Reductase in the Electron Transfer Processes with Its Protein Partners Ferredoxin and Flavodoxin. Biochemistry 2004, 43, 6127–6137. [Google Scholar] [CrossRef]
- Röhrich, R.C.; Englert, N.; Troschke, K.; Reichenberg, A.; Hintz, M.; Seeber, F.; Balconi, E.; Aliverti, A.; Zanetti, G.; Köhler, U.; et al. Reconstitution of an apicoplast-localised electron transfer pathway involved in the isoprenoid biosynthesis of Plasmodium falciparum. FEBS Lett. 2005, 579, 6433–6438. [Google Scholar] [CrossRef] [PubMed]
- Goñi, G.; Herguedas, B.; Hervás, M.; Peregrina, J.R.; De la Rosa, M.A.; Gómez-Moreno, C.; Navarro, J.A.; Hermoso, J.A.; Martínez-Júlvez, M.; Medina, M. Flavodoxin: A compromise between efficiency and versatility in the electron transfer from Photosystem I to Ferredoxin-NADP+ reductase. Biochim. Biophys. Acta Bioenerg. 2009, 1787, 144–154. [Google Scholar] [CrossRef]
- Hurley, J.K.; Fillat, M.F.; Gómez-Moreno, C.; Tollin, G. Electrostatic and Hydrophobic Interactions during Complex Formation and Electron Transfer in the Ferredoxin/Ferredoxin: NADP+ Reductase System from Anabaena. J. Am. Chem. Soc. 1996, 118, 5526–5531. [Google Scholar] [CrossRef]
- Wahlund, T.M.; Woese, C.R.; Castenholz, R.W.; Madigan, M.T. A thermophilic green sulfur bacterium from New Zealand hot springs, Chlorobium tepidum sp. nov. Arch. Microbiol. 1991, 156, 81–90. [Google Scholar] [CrossRef]
- Seo, D.; Sakurai, H. Purification and characterization of ferredoxin-NAD(P)+ reductase from the green sulfur bacterium Chlorobium tepidum. Biochim. Biophys. Acta Prot. Struct. Mol. Enzymol. 2002, 1597, 123–132. [Google Scholar] [CrossRef]
- Muraki, N.; Seo, D.; Shiba, T.; Sakurai, T.; Kurisu, G. Asymmetric dimeric structure of ferredoxin-NAD(P)+ oxidoreductase from the green sulfur bacterium Chlorobaculum tepidum: Implications for binding ferredoxin and NADP+. J. Mol. Biol. 2010, 401, 403–414. [Google Scholar] [CrossRef] [PubMed]
- Pettersen, E.F.; Goddard, T.D.; Huang, C.C.; Meng, E.C.; Couch, G.S.; Croll, T.I.; Morris, J.H.; Ferrin, T.E. UCSF ChimeraX: Structure visualization for researchers, educators, and developers. Protein Sci. 2021, 30, 70–82. [Google Scholar] [CrossRef]
- Wahlund, T.M.; Tabita, F.R. The reductive tricarboxylic acid cycle of carbon dioxide assimilation: Initial studies and purification of ATP-citrate lyase from the green sulfur bacterium Chlorobium tepidum. J. Bacteriol. 1997, 179, 4859–4867. [Google Scholar] [CrossRef]
- Feng, X.; Tang, K.H.; Blankenship, R.E.; Tang, Y.J. Metabolic flux analysis of the mixotrophic metabolisms in the green sulfur bacterium Chlorobaculum tepidum. J. Biol. Chem. 2010, 285, 39544–39550. [Google Scholar] [CrossRef] [PubMed]
- Frigaard, N.U.; Chew, A.G.; Li, H.; Maresca, J.A.; Bryant, D.A. Chlorobium tepidum: Insights into the structure, physiology, and metabolism of a green sulfur bacterium derived from the complete genome sequence. Photosynth. Res. 2003, 78, 93–117. [Google Scholar] [CrossRef] [PubMed]
- Yoon, K.S.; Bobst, C.; Hemann, C.F.; Hille, R.; Tabita, F.R. Spectroscopic and functional properties of novel 2[4Fe-4S] cluster-containing ferredoxins from the green sulfur bacterium Chlorobium tepidum. J. Biol. Chem. 2001, 276, 44027–44036. [Google Scholar] [CrossRef]
- Seo, D.; Kitashima, M.; Sakurai, T.; Inoue, K. Kinetics of NADP+/NADPH reduction–oxidation catalyzed by the ferredoxin-NAD(P)+ reductase from the green sulfur bacterium Chlorobaculum tepidum. Photosynth. Res. 2016, 130, 479–489. [Google Scholar] [CrossRef] [PubMed]
- Seo, D.; Tomioka, A.; Kusumoto, N.; Kamo, M.; Enami, I.; Sakurai, H. Purification of ferredoxins and their reaction with purified reaction center complex from the green sulfur bacterium Chlorobium tepidum. Biochim. Biophys. Acta Bioenerg. 2001, 1503, 377–384. [Google Scholar] [CrossRef]
- Seo, D.; Asano, T. C-terminal residues of ferredoxin-NAD(P)+ reductase from Chlorobaculum tepidum are responsible for reaction dynamics in the hydride transfer and redox equilibria with NADP+/NADPH. Photosynth. Res. 2018, 136, 275–290. [Google Scholar] [CrossRef]
- Lesanavičius, M.; Seo, D.; Čėnas, N. Thioredoxin Reductase-Type Ferredoxin: NADP+ Oxidoreductase of Rhodopseudomonas palustris: Potentiometric Characteristics and Reactions with Nonphysiological Oxidants. Antioxidants 2022, 11, 1000. [Google Scholar] [CrossRef]
- Lesanavičius, M.; Seo, D.; Maurutytė, G.; Čėnas, N. Redox Properties of Bacillus subtilis Ferredoxin:NADP+ Oxidoreductase: Potentiometric Characteristics and Reactions with Pro-Oxidant Xenobiotics. Int. J. Mol. Sci. 2024, 25, 5373. [Google Scholar] [CrossRef]
- Lesanavičius, M.; Aliverti, A.; Šarlauskas, J.; Čėnas, N. Reactions of Plasmodium falciparum Ferredoxin:NADP+ Oxidoreductase with Redox Cycling Xenobiotics: A Mechanistic Study. Int. J. Mol. Sci. 2020, 21, 3234. [Google Scholar] [CrossRef]
- Nemeikaitė-Čėnienė, A.; Šarlauskas, J.; Misevičienė, L.; Marozienė, A.; Jonušienė, V.; Lesanavičius, M.; Čėnas, N. Aerobic Cytotoxicity of Aromatic N-Oxides: The Role of NAD(P)H:Quinone Oxidoreductase (NQO1). Int. J. Mol. Sci. 2020, 21, 8754. [Google Scholar] [CrossRef]
- Wardman, P.; Dennis, M.F.; Everett, S.A.; Patel, K.B.; Stratford, M.R.; Tracy, M. Radicals from one-electron reduction of nitro compounds, aromatic N-oxides and quinones: The kinetic basis for hypoxia-selective, bioreductive drugs. Biochem. Soc. Symp. 1995, 61, 171–194. [Google Scholar] [CrossRef] [PubMed][Green Version]
- Roldán, M.D.; Pérez-Reinado, E.; Castillo, F.; Moreno-Vivián, C. Reduction of polynitroaromatic compounds: The bacterial nitroreductases. FEMS Microbiol. Rev. 2008, 32, 474–500. [Google Scholar] [CrossRef] [PubMed]
- Medipally, H.; Mann, M.; Kötting, C.; van Berkel, W.J.H.; Nowaczyk, M.M. A Clickable Photosystem I, Ferredoxin, and Ferredoxin NADP+ Reductase Fusion System for Light-Driven NADPH Regeneration. Chembiochem 2023, 24, e202300025. [Google Scholar] [CrossRef]
- Housseini, W.E.; Lapicque, F.; Walcarius, A.; Lojou, E.; Rouhier, N.; Etienne, M. Ferredoxin NADP(+) reductase for NADPH and NADH regeneration in a flow bioelectrochemical reactor. Bioelectrochemistry 2025, 164, 108919. [Google Scholar] [CrossRef]
- Huang, S.; Saad Imran, S.M.; Lanahan, A.A.; Hammer, S.K.; Lubner, C.E.; Lynd, L.R.; Olson, D.G. A distinct class of ferredoxin:NADP+ oxidoreductase enzymes driving thermophilic ethanol production. J. Biol. Chem. 2025, 301, 110263. [Google Scholar] [CrossRef]
- Treesukkasem, N.; Visitsatthawong, S.; Buttranon, S.; Intasian, P.; Jaroensuk, J.; Maenpuen, S.; Sucharitakul, J.; Poddar, H.; Heyes, D.J.; Scrutton, N.S.; et al. Structural and functional insights into a novel aldehyde deformylating oxygenase with enhanced efficiency for biofuel applications. FEBS J. 2025. Epub ahead of printing. [Google Scholar] [CrossRef] [PubMed]
- Chance, B. A simple relationship for a calculation of the “on” velocity constant in enzyme reactions. Arch. Biochem. Biophys. 1957, 71, 130–136. [Google Scholar] [CrossRef]
- Wardman, P. Reduction Potentials of One-Electron Couples Involving Free Radicals in Aqueous Solution. J. Phys. Chem. Ref. Data 1989, 18, 1637–1755. [Google Scholar] [CrossRef]
- Hay, M.P.; Gamage, S.A.; Kovacs, M.S.; Pruijn, F.B.; Anderson, R.F.; Patterson, A.V.; Wilson, W.R.; Brown, J.M.; Denny, W.A. Structure-activity relationships of 1,2,4-benzotriazine 1,4-dioxides as hypoxia-selective analogues of tirapazamine. J. Med. Chem. 2003, 46, 169–182. [Google Scholar] [CrossRef] [PubMed]
- Iyanagi, T.; Yamazaki, I. One-electron-transfer reactions in biochemical systems V. Difference in the mechanism of quinone reduction by the NADH dehydrogenase and the NAD(P)H dehydrogenase (DT-diaphorase). Biochim. Biophys. Acta Bioenerg. 1970, 216, 282–294. [Google Scholar] [CrossRef]
- Butler, J.; Jayson, G.G.; Swallow, A.J. The reaction between the superoxide anion radical and cytochrome c. Biochim. Biophys. Acta Bioenerg. 1975, 408, 215–222. [Google Scholar] [CrossRef]
- Koppenol, W.H.; van Buuren, K.J.; Butler, J.; Braams, R. The kinetics of the reduction of cytochrome c by the superoxide anion radical. Biochim. Biophys. Acta Bioenerg. 1976, 449, 157–168. [Google Scholar] [CrossRef]
- Kaplan, N.O.; Ciotti, M.M. Chemistry and Properties of the 3-Acetylpyridine Analogue of Diphosphopyridine Nucleotide. J. Biol. Chem. 1956, 221, 823–832. [Google Scholar] [CrossRef]
- Edmondson, D.E.; Tollin, G. Semiquinone formation in flavo- and metalloflavoproteins. Top. Curr. Chem. 1983, 108, 109–138. [Google Scholar] [CrossRef] [PubMed]
- Mayhew, S.G. The effects of pH and semiquinone formation on the oxidation-reduction potentials of flavin mononucleotide. A reappraisal. Eur. J. Biochem. 1999, 265, 698–702. [Google Scholar] [CrossRef]
- Marcus, R.A.; Sutin, N. Electron transfers in chemistry and biology. Biochim. Biophys. Acta Rev. Bioenerg. 1985, 811, 265–322. [Google Scholar] [CrossRef]
- Chou, M.; Creutz, C.; Sutin, N. Rate constants and activation parameters for outer-sphere electron-transfer reactions and comparisons with the predictions of Marcus theory. J. Am. Chem. Soc. 2002, 99, 5615–5623. [Google Scholar] [CrossRef]
- Grampp, G.; Jaenicke, W. ESR-spectroscopic investigation of the parallel electron and proton exchange between quinones and their radicals: Part I. Measurements at 298 K. J. Electroanal. Chem. Interfacial Electrochem. 1987, 229, 297–303. [Google Scholar] [CrossRef]
- Nemeikaitė-Čėnienė, A.; Šarlauskas, J.; Jonušienė, V.; Marozienė, A.; Misevičienė, L.; Yantsevich, A.V.; Čėnas, N. Kinetics of Flavoenzyme-Catalyzed Reduction of Tirapazamine Derivatives: Implications for Their Prooxidant Cytotoxicity. Int. J. Mol. Sci. 2019, 20, 4602. [Google Scholar] [CrossRef]
- Meot-Ner, M.; Neta, P. Kinetics of electron transfer from nitroaromatic radical anions in aqueous solutions. Effects of temperature and steric configuration. J. Phys. Chem. 1986, 90, 4648–4650. [Google Scholar] [CrossRef]
- Seo, D.; Okabe, S.; Yanase, M.; Kataoka, K.; Sakurai, T. Studies of interaction of homo-dimeric ferredoxin-NAD(P)+ oxidoreductases of Bacillus subtilis and Rhodopseudomonas palustris, that are closely related to thioredoxin reductases in amino acid sequence, with ferredoxins and pyridine nucleotide coenzymes. Biochim. Biophys. Acta Proteins Proteom. 2009, 1794, 594–601. [Google Scholar] [CrossRef] [PubMed][Green Version]
- Swenson, R.P.; Krey, G.D. Site-directed mutagenesis of tyrosine-98 in the flavodoxin from Desulfovibrio vulgaris (Hildenborough): Regulation of oxidation-reduction properties of the bound FMN cofactor by aromatic, solvent, and electrostatic interactions. Biochemistry 1994, 33, 8505–8514. [Google Scholar] [CrossRef]
- Panda, S.P.; Gao, Y.T.; Roman, L.J.; Martasek, P.; Salerno, J.C.; Masters, B.S. The role of a conserved serine residue within hydrogen bonding distance of FAD in redox properties and the modulation of catalysis by Ca2+/calmodulin of constitutive nitric-oxide synthases. J. Biol. Chem. 2006, 281, 34246–34257. [Google Scholar] [CrossRef]
- Mauk, A.G.; Scott, R.A.; Gray, H.B. Distances of electron transfer to and from metalloprotein redox sites in reactions with inorganic complexes. J. Am. Chem. Soc. 1980, 102, 4360–4363. [Google Scholar] [CrossRef]
- Zhuang, B.; Aleksandrov, A.; Seo, D.; Vos, M.H. Excited-State Properties of Fully Reduced Flavins in Ferredoxin–NADP+ Oxidoreductase. J. Phys. Chem. Lett. 2023, 14, 1096–1102. [Google Scholar] [CrossRef] [PubMed]
- Gray, H.B.; Winkler, J.R. Electron transfer in proteins. Annu. Rev. Biochem. 1996, 65, 537–561. [Google Scholar] [CrossRef]
- Krishtalik, L.I. Role of the protein’s low dielectric constant in the functioning of the photosynthetic reaction center. Photosynth. Res. 1999, 60, 241–246. [Google Scholar] [CrossRef]
- Gunner, M.R.; Mao, J.; Song, Y.; Kim, J. Factors influencing the energetics of electron and proton transfers in proteins. What can be learned from calculations. Biochim. Biophys. Acta Bioenerg. 2006, 1757, 942–968. [Google Scholar] [CrossRef]
- Xing, D.; Zuo, Y.; Cheng, S.; Regan, J.M.; Logan, B.E. Electricity generation by Rhodopseudomonas palustris DX-1. Environ. Sci. Technol. 2008, 42, 4146–4151. [Google Scholar] [CrossRef]
- George, D.M.; Vincent, A.S.; Mackey, H.R. An overview of anoxygenic phototrophic bacteria and their applications in environmental biotechnology for sustainable resource recovery. Biotechnol. Rep. 2020, 28, e00563. [Google Scholar] [CrossRef]
- Li, Y.; Zhang, H.-M.; Tian, Y. Sulfur-driven microbial fuel cells denitrification system for targeted treatment of nitrate-containing groundwater: Performance and mechanism. Chem. Eng. J. 2024, 496, 154328. [Google Scholar] [CrossRef]
- Gemünde, A.; Lai, B.; Pause, L.; Krömer, J.; Holtmann, D. Redox Mediators in Microbial Electrochemical Systems. Chemelectrochem 2022, 9, e202200216. [Google Scholar] [CrossRef]
- Khan, A.H.; Ross, W.C. Tumour-growth inhibitory nitrophenylaziridines and related compounds: Structure-activity relationships. Chem.-Biol. Interact. 1969, 1, 27–47. [Google Scholar] [CrossRef]
- De Beule, P. Les substitués nitrés obtenus par nitration directe du toluéne dans la préparation du T. N. T. Bull. Soc. Chim. Belg 1933, 42, 27–79. [Google Scholar] [CrossRef]
- Clarkson, C.E.; Holden, I.G.; Malkin, T. The nitration of dimethylaniline to tetryl, 2: 4: 6: N-tetranitro-methylaniline. The course of the reaction. J. Chem. Soc. (Resumed) 1950, 1556–1562. [Google Scholar] [CrossRef]
- Shinde, S.S.; Maroz, A.; Hay, M.P.; Patterson, A.V.; Denny, W.A.; Anderson, R.F. Characterization of radicals formed following enzymatic reduction of 3-substituted analogues of the hypoxia-selective cytotoxin 3-amino-1,2,4-benzotriazine 1,4-dioxide (tirapazamine). J. Am. Chem. Soc. 2010, 132, 2591–2599. [Google Scholar] [CrossRef] [PubMed]
- Anderson, R.F.; Shinde, S.S.; Hay, M.P.; Denny, W.A. Potentiation of the cytotoxicity of the anticancer agent tirapazamine by benzotriazine N-oxides: The role of redox equilibria. J. Am. Chem. Soc. 2006, 128, 245–249. [Google Scholar] [CrossRef] [PubMed]
- Vicente, E.; Lima, L.M.; Bongard, E.; Charnaud, S.; Villar, R.; Solano, B.; Burguete, A.; Perez-Silanes, S.; Aldana, I.; Vivas, L.; et al. Synthesis and structure-activity relationship of 3-phenylquinoxaline 1,4-di-N-oxide derivatives as antimalarial agents. Eur. J. Med. Chem. 2008, 43, 1903–1910. [Google Scholar] [CrossRef] [PubMed]









| No. | Compound | (V) | ) | ) |
|---|---|---|---|---|
| Quinones | ||||
| 1 | 1,4-Benzoquinone | 0.090 | 40.0 ± 2.5 | |
| 2 | 2-Methyl-1,4-benzoquinone | 0.010 | 34.6 ± 0.6 | |
| 3 | 2,3-Dichloro-1,4-naphthoquinone | −0.036 | 42.6 ± 3.5 | |
| 4 | 2,3-Dimethyl-1,4-benzoquinone | −0.074 | 61.8 ± 1.2 | |
| 5 | 5-Hydroxy-1,4-naphthoquinone | −0.090 | 27.7 ± 0.9 | |
| 6 | 9,10-Phenanthrene quinone | −0.120 | 36.4 ± 6.9 | |
| 7 | 1,4-Naphthoquinone | −0.150 | 39.1 ± 1.4 | |
| 8 | 5-Hydroxy-2-methyl-1,4-naphthoquinone | −0.156 | 29.4 ± 1.5 | |
| 9 | 2-Methyl-1,4-naphthoquinone | −0.200 | 29.4 ± 1.3 | |
| 10 | Tetramethyl-1,4-benzoquinone | −0.260 | 63.6 ± 4.3 | |
| 11 | Doxorubicin | −0.330 | 25.6 ± 2.9 | |
| 12 | 9,10-Anthraquinone-2-sulphonate | −0.380 | 23.5 ± 0.9 | |
| 13 | 2-Hydroxy-3-methyl-1,4-naphthoquinone | −0.410 | 21.8 ± 1.8 | |
| Nitroaromatics | ||||
| 14 | N-methylpicramide | −0.225 | 32.5 ± 1.0 | |
| 15 | 2,4,6-Trinitrotoluene | −0.253 | 41.0 ± 2.0 | |
| 16 | Nitrofurantoin | −0.255 | 45.3 ± 2.4 | |
| 17 | Nifuroxime | −0.255 | 68.2 ± 5.2 | |
| 18 | p-Dinitrobenzene | −0.257 | 11.2 ± 1.3 | |
| 19 | o-Dinitrobenzene | −0.287 | 11.0 ± 0.5 | |
| 20 | 2-Nitrobenzonitrile | −0.308 | 57.4 ± 2.9 | |
| 21 | 3,5-Dinitrobenzamide | −0.311 | 40.1 ± 1.3 | |
| 22 | 4-Nitrobenzaldehyde | −0.325 | 31.2 ± 2.1 | |
| 23 | 3,5-Dinitrobenzoic acid | −0.344 | 29.7 ± 0.5 | |
| 24 | m-Dinitrobenzene | −0.348 | 13.6 ± 2.0 | |
| 25 | 4-Nitroacetophenone | −0.355 | 16.3 ± 0.7 | |
| 26 | 5-(Aziridin-1-yl)-2,4-dinitrobenzamide | −0.385 | 8.8 ± 0.6 | |
| 27 | 4-Nitrobenzyl alcohol | −0.475 | 12.9 ± 0.7 | |
| Aromatic N-oxides | ||||
| 28 | 7-Fluorotirapazamine | −0.400 | 17.4 ± 1.0 | |
| 29 | 7-Chlorotirapazamine | −0.400 | 14.0 ± 1.2 | |
| 30 | Tirapazamine | −0.456 | 6.3 ± 0.4 | |
| 31 | 7-Ethoxytirapazamine | −0.494 | 16.5 ± 0.6 | |
| Single electron acceptors | ||||
| 32 | Ferricyanide a | 0.410 | 13.6 ± 0.9 | |
| 33 | 0.120 | 14.9 ± 1.2 | ||
| 34 | Benzyl viologen | −0.354 | 31.5 ± 0.8 | |
Disclaimer/Publisher’s Note: The statements, opinions and data contained in all publications are solely those of the individual author(s) and contributor(s) and not of MDPI and/or the editor(s). MDPI and/or the editor(s) disclaim responsibility for any injury to people or property resulting from any ideas, methods, instructions or products referred to in the content. |
© 2026 by the authors. Licensee MDPI, Basel, Switzerland. This article is an open access article distributed under the terms and conditions of the Creative Commons Attribution (CC BY) license.
Share and Cite
Laibakojis, D.; Seo, D.; Čėnas, N.; Lesanavičius, M. Kinetic and Potentiometric Characteristics of Ferredoxin: NADP+ Oxidoreductase from Chlorobaculum tepidum. Int. J. Mol. Sci. 2026, 27, 481. https://doi.org/10.3390/ijms27010481
Laibakojis D, Seo D, Čėnas N, Lesanavičius M. Kinetic and Potentiometric Characteristics of Ferredoxin: NADP+ Oxidoreductase from Chlorobaculum tepidum. International Journal of Molecular Sciences. 2026; 27(1):481. https://doi.org/10.3390/ijms27010481
Chicago/Turabian StyleLaibakojis, Dominykas, Daisuke Seo, Narimantas Čėnas, and Mindaugas Lesanavičius. 2026. "Kinetic and Potentiometric Characteristics of Ferredoxin: NADP+ Oxidoreductase from Chlorobaculum tepidum" International Journal of Molecular Sciences 27, no. 1: 481. https://doi.org/10.3390/ijms27010481
APA StyleLaibakojis, D., Seo, D., Čėnas, N., & Lesanavičius, M. (2026). Kinetic and Potentiometric Characteristics of Ferredoxin: NADP+ Oxidoreductase from Chlorobaculum tepidum. International Journal of Molecular Sciences, 27(1), 481. https://doi.org/10.3390/ijms27010481

